¡UPS! Para ver vídeos en la web debes estar registrado, es totalmente gratuito.

Recuerda además que sólo por ser unicoo, GRATIS, podrás dejar tus dudas en los foros de beUnicoos, acumularás energy y help points y ganarás decenas de medallas. Registrarte solo te llevará unos segundos. Nosotros somos unicoos ¿y tú? #nosvemosenclase

Límite 0/0 con Ruffini

Esta vez haremos limites de la indeterminación cero entre cero. Para ello, deberemos factorizar numerador y denominador por Ruffini, o racionalizar las fracciones.

Los dos limites que no resolví en este vídeo, los resuelvo en este otro https://www.youtube.com/watch?v=0M6wB158APQ #nosvemosenclase

Agregar a mi mochila
0/ 962

* Para utilizar tu mochila o guardar tu progreso y acumular energy points debes ser usuario registrado. Regístrate o inicia sesión

Foro de preguntas y respuestas

logo beUnicoos
Los foros de unicoos se han unificado en nuestra nueva plataforma beUnicoos. Para dejar nuevas preguntas deberás hacerlo allí, donde además podrás encontrar nuevas asignaturas y herramientas para ayudarte más con tus estudios.
  • icon

    Clow
    el 12/6/19
    flag

    ¿Cómo podría resolver esta indeterminación?

    replythumb_up0 voto/sflag
    icon

    Breaking Vlad
    el 23/6/19

    Se trata de que DESPUES DE IR A CLASE (ver los vídeos relacionados con vuestras dudas) enviéis dudas concretas, muy concretas. Y que nos enviéis siempre también todo aquello que hayais conseguido hacer por vosotros mismos. Paso a paso, esté bien o mal. No solo el enunciado. De esa manera podremos saber vuestro nivel, en que podemos ayudaros, cuales son vuestros fallos.... Y el trabajo duro será el vuestro.

    thumb_up1 voto/sflag
  • icon

    David Maria Arribas
    el 28/2/19

    En el segundo ejercicio, dividiendo los polinomios se obtiene lim(x->1)(x+1)=2, ¿es correcta la forma de solucionarlo?

    replythumb_up1 voto/sflag
    icon

    David
    el 5/3/19

    Si la division es entera (el resto es 0), no hay problema en hacerlo así

    thumb_up1 voto/sflag
  • icon

    Alex
    el 18/2/19

    Hola, mira a ver si podrías ayudarme en este ejercicio.


    f(x)= (2ax²+(56a)x-15) ÷ (x³-3x²+x-3)

    tenga límite finito en x=3.

    replythumb_up0 voto/sflag
    icon

    Antonius Benedictus
    el 18/2/19


    thumb_up0 voto/sflag
  • icon

    Stephan Pérez
    el 25/9/18

    Holaa,como podría resolverse esto?

    replythumb_up0 voto/sflag
    icon

    Antonius Benedictus
    el 25/9/18


    thumb_up1 voto/sflag
  • icon

    Raúl Ulivarri Rodi
    el 2/9/18

    Hola. Si tengo un límite donde  x→a,  y hago cambio de variable t=x-a , por qué el límite pasa a ser:  t→0 ?

    replythumb_up0 voto/sflag
    icon

    Antonius Benedictus
    el 3/9/18

    Porque, si x→a, entonces t=x-a→a-a=0.

    thumb_up3 voto/sflag
  • icon

    Sergio
    el 31/5/18
    flag

    En el segundo ejemplo (-1)^2 debería dar 1 en vez de -1, no? Porque (-1)x(-1) es 1

    replythumb_up0 voto/sflag
    icon

    Antonius Benedictus
    el 31/5/18

    Pero es -(1^2). ¡Ojo!

    thumb_up1 voto/sflag
  • icon

    Lorena Ruiz
    el 24/5/18
    flagflag

    Buenas tengo dudas con este ejercicio:

    Dada la f(x)=ax^2+b/a-x    con a≠0 

    Calcula los valores de a y b para que la función pase por el punto (2,3) con una pendiente m= -4
     

    replythumb_up0 voto/sflag
    icon

    Antonius Benedictus
    el 25/5/18

    Súbelo al foro de Matemáticas y te ayudamos.

    thumb_up0 voto/sflag
  • icon

    Ines Hernández
    el 17/3/18
    flagflag

    1. Hola me podrían ayudar con ese límite?? Lim x->1(1+1/(x+2/x-1)1/x-1 Gracias

    replythumb_up1 voto/sflag
  • icon

    braian cornejo
    el 11/3/18
    flagflag

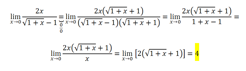
    • Hola me podrian explicar cómo resuelvo este límite 

    Lim x->0   (2x)/(√(1+x)-1)

    replythumb_up0 voto/sflag
    icon

    Antonius Benedictus
    el 11/3/18


    thumb_up3 voto/sflag
  • icon

    Sebastian Torro Castellanos
    el 10/1/18
    flagflag

    Hola, podrias resolver este limite?   

    me dicen que es divergente y su resultado es ∞ y no consigo verlo, muchas gracias


    replythumb_up0 voto/sflag
    icon

    Antonius Benedictus
    el 11/1/18

    Lo tienes resuelto e el foro.

    thumb_up2 voto/sflag
  • icon

    patricio parra
    el 11/11/17
    flagflag

    Hola espero se encuentren bien.. estoy trabajando en una guia de limite y encontre 2 ejercicios que no supe como resolverlos y espera que ustedes me pudiesen ayudae porfavor.

    El 1 es asi : lim x->0 , (x/sen(x)) se que es 1 aplicando L'Hospital pero no me dejan ocupar esa regla por eso no se como llegar a ese resultado.

    El 2 es : (sec(2x) × tan(3x))/5x

    Espero porfavor puedan ayudarme ya que estoy proximo a un certamen y es probable de que entre alguno similar.

    De antemano muchas gracias

    replythumb_up0 voto/sflag
  • icon

    Celia Nieto Garcia
    el 21/10/17
    flagflag

    • Hola podrías resolver este límite? 

    Limx->2  (2-√x+2) / (-2x² +4x)

    Gracias.

    replythumb_up0 voto/sflag
    icon

    Antonius Benedictus
    el 21/10/17


    thumb_up2 voto/sflag
  • icon

    Andrea H. Formentí
    el 28/9/17
    flagflag

    Buenas, podrías realizar uno que sea tipo, límitex->2 cuando f(x) = {

    • 3  si  x=2
    •  x^2 -4x+4 /  x-2   si     x≠2 

    No sé si me he explicado, espero que sí, Gracias ;)

    replythumb_up0 voto/sflag
    icon

    Antonius Benedictus
    el 28/9/17

    Sube al foro foto del enunciado original.

    thumb_up0 voto/sflag
  • icon

    Alejandro Álvarez
    el 27/8/17

    Buenas tardes, 

    en el segundo ejemplo,

    ¿porque cuando sustituye 1 en -X2 da -1?

    replythumb_up1 voto/sflag
    icon

    Antonius Benedictus
    el 27/8/17

    Porque -1^2 =-1

    No confundas con -X^2 con (-X)^2

    thumb_up2 voto/sflag
  • icon

    Inés
    el 5/6/17

    Hola, porque se tacha (x-1)/(x-1)? No se deberia de tachar (x-1)/(x+1)?

    replythumb_up0 voto/sflag
    icon

    Antonius Benedictus
    el 5/6/17

    Se simplifica siempre un FACTOR con un DIVISOR, cuando COINCIDEN.

    thumb_up1 voto/sflag
  • icon

    Ana Gutierrez Cobo
    el 28/2/17

    Hola, no entiendo el paso de factorizar el denominador en el primer límite y porque se multiplica por el número que este alado de la X ? (En vez de así no se puede resolver como si fuera una identidad notable?)

    replythumb_up0 voto/sflag
    icon

    Antonius Benedictus
    el 28/2/17

    Se puede utilizar la igualdad notable (es una diferencia de cuadrados), ¡por supuesto!

    Pero aquí David quiere mostrar cómo se factoriza un polinomio de 2º grado.

    Te mandamos un apunte teórico:


    thumb_up1 voto/sflag
  • icon

    Marco Molinari Pérez
    el 27/2/17

    Buenas profe en el video en el minuto 11 aprox. cuando haces rufuni y te quedan 3 numeros abajo no se podría seguir haciendo otra vez ruffini y así evitariamos tener que hacerlo de nuevo en el caso de que nos diese 0/0 ? es como me lo han enseñado a mi pero no se si estara bien. gracias

    replythumb_up0 voto/sflag
    icon

    Antonius Benedictus
    el 27/2/17

    Sí, claro. Pero es un trabajo innecesario, pues, en muchos casos no es preciso simplificar más. Si lo fuere, volverías a aplicarlo, y punto.

    thumb_up1 voto/sflag
  • icon

    ana belen duque
    el 6/11/16
    flag

    Hola, tengo examen mañana y me acaba de surgir una duda, y es que si el limite tiende a cero, por mucho que factorizo me sigue quedando cero entre cero,

    x^3-3x^2/x^2-x, cuando lim--0

    si me podeis ayudar, gracias

    replythumb_up0 voto/sflag
    icon

    David
    el 7/11/16

    Si sacas factor comun... (x³-3x²)/(x²-x)= x².(x-3)/(x.(x-1))=x.(x-3)/(x-1).. Cuando x tiende a 0, te dará 0... 

    Para dudas que no tienen que ver explicitamente con lo que hago en un vídeo, lo ideal es que uséis el FORO GENERAL de matemáticas, física o química

    thumb_up3 voto/sflag
  • icon

    Alemberg Bejar Ccama
    el 8/10/16
    flagflag

    Como se resuelve esta indeterminacion de 0/0 Limite de la siguiente funcion cuando tiende a 3  (x^2-9)/(√x - √3)

    replythumb_up0 voto/sflag
  • icon

    jesus
    el 21/8/16

    profe una pregunta siempre que la indeterminación es 0 / 0 es porque es limite tiende a un numero, no? Es decir, que en un ejercicio donde la x tienda a infinito nunca va a ser la indeterminación 0/0, no? Gracias de antemano profe

    replythumb_up0 voto/sflag
    icon

    David
    el 24/8/16

    Puede ser que te quede 0/0 aunque x tienda a infinito...
    Por ejemplo e^(-∞)= 1/e∞^=1/∞=0...
    Intenta no aprenderte nada de memoria...
    Simplemente sustituye....

    thumb_up1 voto/sflag
  • icon

    Javier Marquez
    el 21/7/16

    profe en el segundo ejercicio, yo factorice el x^4-1 en (x^2+1)*(x+1)*(x-1) y simplificando me quedo
    Lim x+1
    x->1
    está bien?

    replythumb_up0 voto/sflag
    icon

    David
    el 26/7/16

    Sí, estaría perfecto!

    thumb_up1 voto/sflag
  • icon

    nelvin
    el 15/7/16
    flagflag

    sorry profe me comi el radicando.... era asi mil disculpas profe.....



    lim √x-8 ⁄ raiz cubica de x -4

    x→64



    no se como se hace raiz cubica... pero yo se que ud. me entiende profe... profe sale 0⁄0... yo intente racionalizar de mil maneras pero nada siempre me da 0/0.... mil disculpas profe

    ahora si profe solo algunas ideas para resolver .... profe mi examen es el domingo ayuda ps profe , gracias

    replythumb_up0 voto/sflag
  • icon

    nelvin
    el 11/7/16

    la pregunta era asi: calcular:
    lim √x-8 ⁄ √x-4
    x→64

    por favor profe DAME UNA MANO CON ESTE PROBLEMA....PARECE FÁCIL PERO NO ES VINO EN UN EXAMEN DE ADMISIÓN, GRACIAS

    replythumb_up0 voto/sflag
    icon

    David
    el 13/7/16

    Te da 0/4=0... "Solo" tienes que sustituir x por 64...

    thumb_up0 voto/sflag
  • icon

    irene
    el 17/2/16
    flag

    hola profe , y si diese infinito partido de infinito?

    replythumb_up0 voto/sflag
    icon

    José Miguel
    el 18/2/16

    Hola Irene! Para ese caso hay vídeos: Limite infinito entre infinito 01 , Limite infinito entre infinito 02
    Espero que te sean de ayuda.
    Saludos!

    thumb_up0 voto/sflag
  • icon

    Pablo
    el 16/2/16
    flag

    Buenas David, ¿podrías hacer una lista de reproducción de las matemáticas aplicadas a las ciencias sociales de 2º Bchillerato? Gracias por enseñarme límites y derivadas tengo mañana examen a ver que tal...

    replythumb_up0 voto/sflag
    icon

    David
    el 17/2/16

    Me lo apunto, pero en el fondo solo tienes que mirar los vídeos de las lecciones de matematicas de ese curso (por ejemplo, puedes ahorrarte ver los de integrales)...

    thumb_up0 voto/sflag
  • icon

    Sebastian
    el 11/11/15

    También podías sustituir X^4 por T² y tratarla como una ecuación de 2º grado, no?

    replythumb_up0 voto/sflag
    icon

    David
    el 12/11/15

    Sí, pero será más dificil ¿no?...

    thumb_up2 voto/sflag
  • icon

    Gaston
    el 18/7/15
    flagflag

    Hola profe, intente hacer el segundo limite que realizaste por L´hopital pero no llegue a lo mismo. Me podrias corregir?

    Llegaba a que: Lim 3x³ / 3x² -2x+1 = 3/2. Desde ya, gracias. Nos vemos en clase

    replythumb_up1 voto/sflag
    icon

    David
    el 20/7/15

    La derivada de x^4-1 es 4x³.. Ese es tu "pequeño" error... Abrazos!

    thumb_up3 voto/sflag
  • icon

    rane
    el 24/3/15
    flagflag

    Hola, tengo el límite lim x-->0 (x^2 - x) / x Y no me sale

    replythumb_up0 voto/sflag
  • icon

    Yadara
    el 5/3/15

    Hola David. Cuando factorizas el x^4-1, no entiendo a donde se llega haciendo lo de (x^2+1)(x^2-1) y luego volviendo a factorizas el x^2-1. Es decir, cuando haces eso, luego para ponerlo arriba siguiendo el limite ¿qué se debería poner?

    replythumb_up1 voto/sflag
  • icon

    María
    el 22/2/15
    flagflag

    Hola, haciendo este ejercicio, mi resultado ha sido de 1/6 mi profesor dijo que el resultado es 1/18 podrían decirme donde está el error?

    replythumb_up0 voto/sflag
  • icon

    Jordy Juan
    el 30/1/15

    de otra manera tambien es solo factorizando... seria mas rapido.

    replythumb_up0 voto/sflag
  • icon

    antonio
    el 28/12/14

    Hola ; tengo una duda.
    En el segundo ejercicio, ¿se podría seguir factorizando con Ruffini hasta factorizarlo al maximo?

    replythumb_up0 voto/sflag
  • icon

    RANGERZERO
    el 21/12/14
    flag

    si usara completacion de cuadrados tambien tengo que multiplicar por el termino que acompaña a la variable de mayor grado no

    replythumb_up0 voto/sflag