¡UPS! Para ver vídeos en la web debes estar registrado, es totalmente gratuito.

Recuerda además que sólo por ser unicoo, GRATIS, podrás dejar tus dudas en los foros de beUnicoos, acumularás energy y help points y ganarás decenas de medallas. Registrarte solo te llevará unos segundos. Nosotros somos unicoos ¿y tú? #nosvemosenclase

Programación lineal - Transporte 02

Resolveremos el sistema de inecuaciones planteado en uno de los videos de PROGRAMACION LINEAL de modo que podamos determinar los automoviles que tendrán que partir de cada fabrica a cada ciudad de destino para que el coste de TRANSPORTE sea minimo.

Agregar a mi mochila
0/ 1044

* Para utilizar tu mochila o guardar tu progreso y acumular energy points debes ser usuario registrado. Regístrate o inicia sesión

Material adicional

* Los materiales marcados con el símbolo de la estrella () sólo serán accesibles para usuarios PRO. Conviértete en PRO

Foro de preguntas y respuestas

logo beUnicoos
Los foros de unicoos se han unificado en nuestra nueva plataforma beUnicoos. Para dejar nuevas preguntas deberás hacerlo allí, donde además podrás encontrar nuevas asignaturas y herramientas para ayudarte más con tus estudios.
  • icon

    Ny Marmolejo
    el 11/4/17

    Hola!!!

    Antes de nada GRACIAS!!!

    Soy una chica de letras, así que imaginaros lo que me está costando esto de las matemáticas;).


    Me podéis ayudar con estos ejercicios?


    Un turista ha visitado Zaragoza, Pamplona y San Sebastián. Sus gastos por hospedaje en cada una de estas ciudades han sido 40, 50 y 60€ diarios respectivamente. En comida sus gastos respectivos fueron 30, 21, y 36€ por día. Además en concepto de varios gastó 50€ diarios en cada ciudad. Sabiendo que en total el turista gastó 760€ en hospedaje, 450€ en  comida y 750€ en varios ¿cuántos días pasó en cada ciudad?



    Segundo ejercicio y muy interesante.


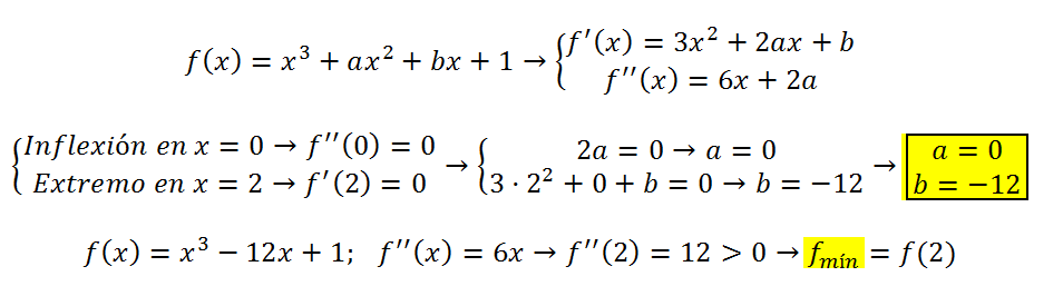
    ¿Qué valores debe de tomar a y b para que la función f(x)= x3+ax2+bx+1 tenga un punto de inflexión en x=0 y un punto extremo en x=2? El extremo en x=2, ¿es un máximo o un mínimo? .


    Un saludo y muchas gracias!!!!



      



    replythumb_up0 voto/sflag