¡UPS! Para ver vídeos en la web debes estar registrado, es totalmente gratuito.

Recuerda además que sólo por ser unicoo, GRATIS, podrás dejar tus dudas en los foros de beUnicoos, acumularás energy y help points y ganarás decenas de medallas. Registrarte solo te llevará unos segundos. Nosotros somos unicoos ¿y tú? #nosvemosenclase

Multiplicación y división de potencias 01

Correspondiente a 1º de ESO explicaremos los conceptos básicos sobre su multiplicación y división cuando tienen la misma base.

Agregar a mi mochila
0/ 872

* Para utilizar tu mochila o guardar tu progreso y acumular energy points debes ser usuario registrado. Regístrate o inicia sesión

Material adicional

* Los materiales marcados con el símbolo de la estrella () sólo serán accesibles para usuarios PRO. Conviértete en PRO

Foro de preguntas y respuestas

logo beUnicoos
Los foros de unicoos se han unificado en nuestra nueva plataforma beUnicoos. Para dejar nuevas preguntas deberás hacerlo allí, donde además podrás encontrar nuevas asignaturas y herramientas para ayudarte más con tus estudios.
  • icon

    RAQUEL
    el 24/12/19
    flag

    Hola David, necesito que me resuelvas una duda que me plantea un alumno y no se como hacerlo.

    12 elevado a 4 x 4 elevado a 4 x 19 elevado a 8 todo ello partido por 2 elevado a tres x 3 elevado a 2.

    Lo he factorizado en potencias de 2 y de 3 pero el 19, como es primo no se ....

    a lo máximo que he llegado es a (2x2x19) elevado a 8 x 3 elevado a 4 partido 2 elevado a 3 x3 elevado a 2.

    Gracias. 

    P.D. Después de dar un millón de vueltas, y no encontrar la solución, he pensado que ese 19 está mal copiado ... ????


    FELIZ NAVIDAD !!!!!!



    replythumb_up0 voto/sflag
    icon

    David
    el 29/1/20

    Para dudas que no tienen que ver explicitamente con lo que hago en un vídeo, lo ideal es que uséis el FORO GENERAL de matemáticas, física o química.
    Un fuerte abrazo!

    thumb_up2 voto/sflag
  • icon

    alvaroluciaperez7@gmail.com
    el 7/12/19

    Hola.

    Vais ha hacer un video de potencias pero haciendo otro tipo de calculo como la suma, resta, raices, etc...

    Me serviría de ayuda.

    Gracias

    replythumb_up0 voto/sflag
    icon

    Breaking Vlad
    el 13/12/19

    En este tema puedes encontrar varios vídeos con operaciones sobre potencias.

    Potencias y radicales

    Un saludo,

    Vlad

    thumb_up0 voto/sflag
  • icon

    Paco Martin
    el 17/10/19

    Buenas donde hay ejercicios de números enteros de suma,resta.multiplicacion y divicion , saludos.

    replythumb_up0 voto/sflag
    icon

    Breaking Vlad
    el 24/10/19

    En la parte inferior del vídeo, donde pone "Mateiral Adicional"

    thumb_up0 voto/sflag
  • icon

    Verenis Narvy Hinojosa Palomino
    el 23/8/19
    flagflag

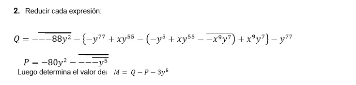
    Buenos días profesor, ante todo gracias por sus videos  me ayudan bastante, pero  me dejaron esto, que significa  las lineas verticales que hay sobre las expresiones por que dos por que hay solo 1 y en otro 3 

    normalmente resuelvo con ayuda de sus vídeos incluso temas mas avanzados, esto que es básico  aparentemente sencillo  me confunde las lineas , como se lee.

    replythumb_up0 voto/sflag
    icon

    David
    el 14/10/19

    Lo siento pero no puedo ayudarte con este tipo de dudas... Que además, poco tienen que ver con el vídeo en cuestión. Un abrazo!

    thumb_up0 voto/sflag
  • icon

    José María
    el 10/8/19

    Donde hay ejercicios de potencias?


    gracias

    replythumb_up0 voto/sflag
    icon

    Antonius Benedictus
    el 10/8/19

    Debajo del vídeo, en "material adicional".

    thumb_up1 voto/sflag