¡UPS! Para ver vídeos en la web debes estar registrado, es totalmente gratuito.

Recuerda además que sólo por ser unicoo, GRATIS, podrás dejar tus dudas en los foros de beUnicoos, acumularás energy y help points y ganarás decenas de medallas. Registrarte solo te llevará unos segundos. Nosotros somos unicoos ¿y tú? #nosvemosenclase

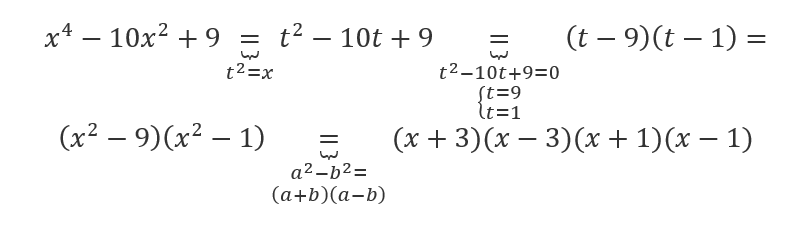
Ecuación bicuadrada

Correspondiente a 3º y 4º ESO, resolveremos una ECUACION BICUADRADA, utilizando el cambio de variable z=x².

Agregar a mi mochila
0/ 334

* Para utilizar tu mochila o guardar tu progreso y acumular energy points debes ser usuario registrado. Regístrate o inicia sesión

Material adicional

* Los materiales marcados con el símbolo de la estrella () sólo serán accesibles para usuarios PRO. Conviértete en PRO

Foro de preguntas y respuestas

logo beUnicoos
Los foros de unicoos se han unificado en nuestra nueva plataforma beUnicoos. Para dejar nuevas preguntas deberás hacerlo allí, donde además podrás encontrar nuevas asignaturas y herramientas para ayudarte más con tus estudios.
  • icon

    Lucas R
    el 22/9/19

    Hola, alguien me puede ayudar con una ecuación bicuadrada?


    replythumb_up0 voto/sflag
    icon

    Antonius Benedictus
    el 22/9/19

    Súbela al foro de Matemáticas y la vemos.

    thumb_up0 voto/sflag
  • icon

    Jorge
    el 1/6/19
    flag

    Hola,dais clases online particulares?

    replythumb_up0 voto/sflag
    icon

    Breaking Vlad
    el 19/6/19

    Hola, desde unicoos de momento no ofrecemos ese servicio.

    Sin embargo, si buscases de química, puedes ponerte en contacto directamente conmigo.

    thumb_up1 voto/sflag
  • icon

    Nataly
    el 30/1/19
    flag

    2.x-1<11 tengo que resolverlo y representarlo en la recta y no me acuerdo cómo se hace, me podrían ayudar 

    replythumb_up0 voto/sflag
    icon

    Antonius Benedictus
    el 30/1/19

    icon

    Antonio Benito García
    el 16/9/18

    Sube al foro de Mates foto del enunciado del ejercicio en cuestión y te lo explicamos.

    thumb_up1 voto/sflag
  • icon

    eduardo
    el 16/9/18

    ¿Por qué el ejercicio 9 de las funciones bicuadráticas da como resultado 0?

    replythumb_up1 voto/sflag
    icon

    Antonius Benedictus
    el 16/9/18

    Sube al foro de Mates el ejercicio en cuestión y te lo explicamos.

    thumb_up1 voto/sflag
  • icon

    Eloy
    el 31/8/18

    Hola,

    Si he entendido bien las cuatro soluciones son las siguientes:

    x=+3  → 3⁴-10·3²+9=0

    x=-3  → -3⁴-10·(-3)²+9=0

    x=+1 → 1⁴-10·1²+9=0

    x=-1 → -1⁴-10·(-1)²+9=0

    Pero no he entendido de donde sale el polinomio factorizado.

    x⁴-10x²+9=0 → (x-3)·(x+3)·(x-1)·(x+1)

    No entiendo la relación entre (x⁴-10x²+9=0) y (x-3)·(x+3)·(x-1)·(x+1).

    Muchas gracias.


    replythumb_up2 voto/sflag
  • icon

    Pedro Ponce Florido
    el 11/4/18
    flag

    perdona pero cuando estas en las primeras soluciones siempre se pone x al cuadrado en cualquier ecuacion bicuadrada. graciass

    indica que z1-9-x2

    y que z2-1-x2


    replythumb_up0 voto/sflag
    icon

    Antonius Benedictus
    el 11/4/18

    Redacta bien la pregunta, que no se te entiende, Pedro.

    thumb_up2 voto/sflag
  • icon

    majda
    el 25/3/18

    cambio

    cambio

     esta bien esta ecuacion??


    replythumb_up0 voto/sflag
    icon

    Antonius Benedictus
    el 26/3/18

    Lo está.

    thumb_up0 voto/sflag
  • icon

    majda
    el 24/3/18

    Hola,la ecuacion bicuadrada tiene que tener siempre cuatro resultados??

    y porque es z y no x?


    replythumb_up0 voto/sflag
    icon

    Antonius Benedictus
    el 24/3/18

    No. Puede tener desde 0 a 4 resultados.

    Ningún resultado:  x^4+2x^2+1=0

    Un resultado: x^4+4x^2=0

    Dos resultados: X^4+3x^2-4=0

    Tres resultados: x^4-9x^2=0

    Cuatro resultados: x^4 -13x^2 +36=0


    thumb_up0 voto/sflag
  • Usuario eliminado
    el 22/2/18

    Los apuntes de teoría no se pueden leer ya que las palabras están cortadas en la parte superior, lo necesito, ¿podríais ponerlo bien por favor?. Muchas gracias.


    replythumb_up1 voto/sflag
    icon

    David
    el 26/2/18

    A mí me salen correctamente...  Si nos puedes adjuntar un pantallazo.. Abrazos!

    thumb_up1 voto/sflag
  • icon

    Raquel
    el 7/2/18
    flag

    Hola, Es un problema del teorema de Thales. A ver si me podesis ayudar. Gracias

    replythumb_up0 voto/sflag
    icon

    Antonius Benedictus
    el 7/2/18

    Súbelo al foro de Matemáticas.

    thumb_up1 voto/sflag
  • icon

    Raquel
    el 24/1/18

    Hola soy Raquel y ayudo a mi hijo con mates. A ver si me podeis ayudar con un problema de ecuaciones.

    La hija tiene 18 años la madre 38, hace cuantos años la madre tenia el triple de la edad q la hija. Hay q formularlo por medio de ecuacion.

    Muchas gracias

    replythumb_up0 voto/sflag
    icon

    Antonius Benedictus
    el 24/1/18

    Hace  x años

    38-x=3(18-x)

    38-x=54-3x

    -x+3x=54-38

    2x=16

    x=8  años

    thumb_up0 voto/sflag
  • icon

    jairo
    el 3/1/18

    Hola, me salió esta pregunta en el examen de ecuaciones bicuadradas. y mi duda es:  Entre las respuestas (B) y (D) la única diferencia son los signos (+ - ). yo  se que la respuesta correcta es la (D) por que he repetido el examen pero la primera vez que lo hice yo puse como respuesta correcta la (B) . y estaba seguro de que esa era la correcta por el resultado que me dio y por lo que le dio a David en el video. mi pregunta es: ¿ por que no es correcta la de los signos? si al pasarla de Z a X por narices tengo que poner (+ -) muchas gracias de ante mano. espero haberme explicado bien.

    replythumb_up0 voto/sflag
    icon

    Antonius Benedictus
    el 3/1/18

    La raíz cúbica es única. la raíz cúbica de -8 es -2 y la raíz cúbica de 8 es 2.

    thumb_up0 voto/sflag
  • icon

    Lucía
    el 2/12/17
    flag

    Hola ¿podrías ayudarme con el siguiente problema por favor?

    Dos obreros hacen un trabajo en 3 horas. Uno de ellos lo haría solo en 4 horas. Halla el tiempo que tardaría el otro obrero solo.

    Gracias.

    replythumb_up1 voto/sflag
  • icon

    rafael blanco guillen
    el 30/5/17

    'despues de ver otros videos  de unicoos, se me ocurre una solucion que espero me digas si es correcta, es elevar todo el termino 2 +, -, raiz de 12/2 al cuadrado , la raiz con el cuadrado se irian y queda 4 + ,-, 12/4= z1=4 z2=(-2) es correcto, gracias

    replythumb_up0 voto/sflag
    icon

    Antonius Benedictus
    el 30/5/17

    Sube una foto al foro de enunciado original y te lo explicamos, Rafael. No consigo seguir lo que pones.

    thumb_up2 voto/sflag
  • icon

    rafael blanco guillen
    el 30/5/17

    x a la cuarta, menos 2x al cuadrado, menos 3 = 0  a ver si alguien me puede ayudar con esta bicuadrada, , cuando llego a+,-, la raiz  ya no se seguir, porque me sale raiz de 12/2, gracias

    replythumb_up0 voto/sflag
  • icon

    Maja Janeczek
    el 4/4/17
    flag

    Pueden haber ecuaciones bicuadradas con parentesis y fracciones y si es así como se harían 

    replythumb_up0 voto/sflag
    icon

    David
    el 12/4/17

    Para dudas que no tienen que ver explicitamente con lo que hago en un vídeo, lo ideal es que uséis el FORO GENERAL de matemáticas, física o química

    thumb_up0 voto/sflag
  • icon

    Leila
    el 1/4/17

    Hola, David.

    Me llamo Leila y soy una estudiante de 3º de la Eso. He visto varios vídeos tuyos y entiendo muchísimo mejor las matemáticas explicadas por ti que por mi propio profesor, por eso me preguntaba si podrías hacer un vídeo explicando cómo representar gráficamente ecuaciones de segundo grado. El viernes 7 de Abril tengo examen y no entiendo como hacerlo. Te lo agradecería muchísimo.

    replythumb_up1 voto/sflag
    icon

    David
    el 12/4/17

  • icon

    Celia
    el 21/3/17

    Hola, David. He visto que no hay muchos videos de 3ºESO todavía y me preguntaba si en algún otro curso hay videos de progresiones o sucesiones, porque he probado a buscarlos, pero no me aparecen. Gracias. 

    replythumb_up2 voto/sflag
  • icon

    Adiaratou Camara
    el 12/3/17

    Hola David 

    Me llamo Adi, acabo de descubrir tu cuenta por las noticias hace poco y la verdad me esta ayudando mucho viendo tus videos. No es que me encanten las Mates pero a este paso me va gustando tu forma de explicar gracias por ser tan genero con las personas que tenemos dificultades con esta materia. Aver so me va gustando mas.



    replythumb_up1 voto/sflag
    icon

    David
    el 12/4/17

    :D SALUDOS!

    thumb_up0 voto/sflag
  • icon

    Leslie Luana Villalva Salas
    el 15/2/17
    flagflag

    Ecuaciones de 2° y 3° grado porfavor. Detallado y con sus fórmulas.


    replythumb_up3 voto/sflag
    icon

    David
    el 19/2/17

    Tienes decenas de videos... Te sugiero busques Ruffini, ecuaciones de segundo grado, factorizacion de polinomios...

    thumb_up1 voto/sflag
  • icon

    Carla
    el 15/2/17
    flagflag

    Ecuaciones lineales por favor 🙏🏿🙏🏿

    replythumb_up0 voto/sflag
    icon

    David
    el 19/2/17

    ¿¿?? De primer grado? Si buscas "ecuacion primer grado"...

    thumb_up2 voto/sflag
  • icon

    Teresa
    el 13/2/17
    flagflag

    ¿Tienes algún vídeo explicando las ecuaciones de tercer y cuarto grado?

    Gracias


    replythumb_up2 voto/sflag
    icon

    David
    el 19/2/17

    Tienes decenas de videos... Te sugiero busques Ruffini, ecuaciones de segundo grado, factorizacion de polinomios...

    thumb_up0 voto/sflag
  • icon

    Cristian Méndez Roldán
    el 14/7/16
    flagflag

    He estado intentando hacer este problema pero no lo he acabado de entender.Alguien me sabría decir la respuesta?

    Gracias

    replythumb_up1 voto/sflag
    icon

    David
    el 19/7/16

    Para dudas que no tienen que ver explicitamente con el vídeo, lo ideal es que uséis los foros generales de matemáticas, física y química
    Se trata de que DESPUES DE IR A CLASE (ver los vídeos relacionados con vuestras dudas) enviéis dudas concretas, muy concretas. Y que nos enviéis también todo aquello que hayais conseguido hacer por vosotros mismos. Paso a paso, esté bien o mal. No solo el enunciado. De esa manera podremos saber vuestro nivel, en que podemos ayudaros, cuales son vuestros fallos.... Y el trabajo duro será el vuestro. #nosvemosenclase Nos cuentas ¿ok?

    P.D. Si lo traduces al castellano podremos ayudarte todos... Abrazos!

    thumb_up1 voto/sflag
  • icon

    Nayra Dominguez Abellan
    el 11/7/16

    como se hace una raiz cuadrada. es que en mi cole no las aprendemos hasta 4ºESO

    replythumb_up0 voto/sflag
    icon

    David
    el 13/7/16

    Echale un vistazo Como hacer una raiz cuadrada 01 #nosvemosenclase

    thumb_up0 voto/sflag
  • icon

    Ana Ramos
    el 15/2/16
    flagflag

    Y si por ejemplo es x^6-7x^3+6=0 , una vez hecha sale que x^3=6 y x^3=1, con lo cual sale que x= a la raiz cubica de 6, como se pone esto ultimo de forma factorizada?

    replythumb_up1 voto/sflag
    icon

    David
    el 17/2/16

    Si t=x³, entonces t²=x^6... y te quedaría t²-7t+6=0... Te tocará resolver la ecuacion de segundo grado para obtener x³.... ¿mejor?

    P.D. Para dudas que no tienen que ver explicitamente con el vídeo, lo ideal es que uséis los foros generales de matemáticas, física y química

    thumb_up3 voto/sflag
  • icon

    Sara
    el 9/9/15

    Pero y si la ecuación es x^4-6x^2-7x-6=0

    qué debería hacer? ya que cambiar la variable no me dejaría y son 4 terminos no sé qué hacer ya!

    replythumb_up1 voto/sflag
    icon

    David
    el 14/9/15

    No sería una ecuacion bicuadrada... Te tocará hacer RUFFINI o incluso aplicar la formula de CARDANO (se da en la universidad).... si sigues con dudas despues de ver los vídeos de RUFFICI, te sugiero las dejes en el foro general de matematicas... Un abrazo!

    thumb_up2 voto/sflag