¡UPS! Para ver vídeos en la web debes estar registrado, es totalmente gratuito.

Recuerda además que sólo por ser unicoo, GRATIS, podrás dejar tus dudas en los foros de beUnicoos, acumularás energy y help points y ganarás decenas de medallas. Registrarte solo te llevará unos segundos. Nosotros somos unicoos ¿y tú? #nosvemosenclase

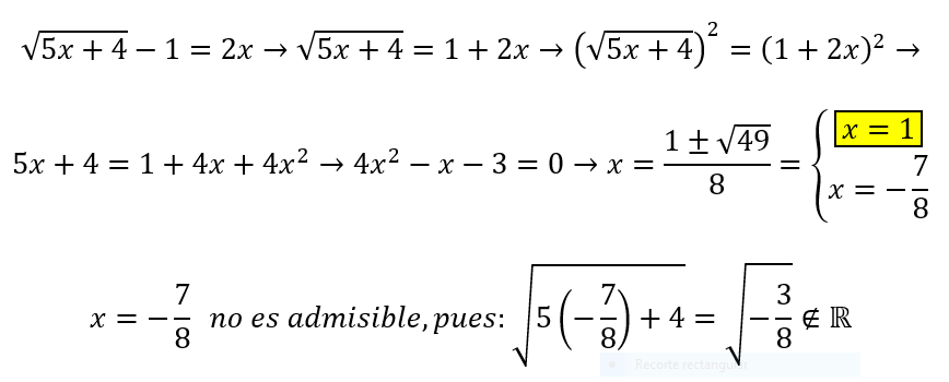
Ecuación irracional (con radicales)

Resolveremos dos ECUACIONES IRRACIONALES, o lo que es lo mismo, ecuaciones con radicales (raices cuadradas)

Agregar a mi mochila
0/ 499

* Para utilizar tu mochila o guardar tu progreso y acumular energy points debes ser usuario registrado. Regístrate o inicia sesión

Foro de preguntas y respuestas

logo beUnicoos
Los foros de unicoos se han unificado en nuestra nueva plataforma beUnicoos. Para dejar nuevas preguntas deberás hacerlo allí, donde además podrás encontrar nuevas asignaturas y herramientas para ayudarte más con tus estudios.
  • icon

    Manuel Botella Martin
    el 31/7/19

    Haciendo yo la ecuación primera antes de ver el video, me ha dado cuenta que al llegar a hacer la de 2ª grado mis cantidades eran al contrario que las tuyas, las mias eran    X² -13x +36=0 y la que haces tu están al contrario en lo que se refiere a los signos  -X² +13X -36 =0 , cuando comence a ver el vido pense que me había equivocado pero despues resulta que el resultado me da igual que a ti, ¿eso ha sido por casualidad por que haya coincidido así? ¿o por que verdaderamente da igual el orden de los signos siempre que esten todos cambiados?

    Gracias por contestar y sobre todo gracias por tus videos.


    replythumb_up0 voto/sflag
    icon

    Antonius Benedictus
    el 31/7/19

    Ambas ecuaciones son equivalentes, pues una se obtiene a partir de la otra multiplicando ambos miembros por (-1).

    thumb_up0 voto/sflag
  • icon

    sapa
    el 6/2/19

    Realizando el examen de 4 eso de ecuaciones con radicales me encuentro con que la solución dada es errónea. SI sustituyo x por 2 tengo √(5x2+4), ráiz cuadrada de 14-1= 2*2, resultado erróneo. Sustituyedo por 1 tengo raìz cuadrada de 9-1= 3-1= 2 que es igual a 2+1=2

    Resuelve la siguiente ecuación:x = 1x = 0x = -1x = 2Respuesta incorrecta :(Anterior

    replythumb_up0 voto/sflag
    icon

    Antonius Benedictus
    el 7/2/19




    thumb_up0 voto/sflag
  • icon

    Pablo Montero Reguilon
    el 31/1/19

    Alguien me puede decir como resolver esta ecuación: x+1/x-1 -3=2-x/x


    replythumb_up0 voto/sflag
    icon

    Antonius Benedictus
    el 1/2/19

    Sube al foro de Matemáticas una foto del enunciado original.

    thumb_up0 voto/sflag
  • icon

    Laura
    el 6/12/18

    Hola, he visto el vídeo de ecuaciones irracionales, pero no las racionales, necesito ayuda, no sé como hacerlas.

    replythumb_up0 voto/sflag
    icon

    Antonius Benedictus
    el 6/12/18

  • icon

    Rubén Carbo
    el 26/11/18

    Tengo esta ecuación que no se como resolver :

    √2x2+1=2x+√x+3

    replythumb_up0 voto/sflag
    icon

    Antonius Benedictus
    el 26/11/18

    Sube al foro de Mates una foto del enunciado original.

    thumb_up0 voto/sflag
  • icon

    Nuhazet correa torres
    el 2/9/18

    ¿no habría que comprobar las 2 soluciones? porque en el caso del 9 no cumple al sustituir en la ecuación de partida :/

    replythumb_up0 voto/sflag
    icon

    Antonius Benedictus
    el 3/9/18

    En Fe de erratas (el icono (!) debajo del vídeo), se indica esto mismo. Gracias por tu indicación.

    thumb_up0 voto/sflag
  • icon

    MDY01
    el 12/7/18

    √x+1 - √x-3 =5 me callo en el examen pero no me acuerdo muy bien si era restando o sumando?

    replythumb_up1 voto/sflag
    icon

    Antonius Benedictus
    el 12/7/18

    Te van ambas.


    thumb_up2 voto/sflag
  • icon

    MDY01
    el 11/7/18

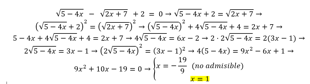
    √5-4x  -  √2x+7  +2 = 0  no me sale 

    replythumb_up0 voto/sflag
    icon

    Antonius Benedictus
    el 11/7/18


    thumb_up0 voto/sflag
  • Usuario eliminado
    el 21/2/18
    flag

    divicion de fraccion con x sobre z

    replythumb_up0 voto/sflag
    icon

    David
    el 26/2/18

    Lo siento, no entiendo...

    thumb_up1 voto/sflag
  • icon

    Roman
    el 4/2/18

    ¿Puede quedar una ecuación con dos resultados de los que uno de ellos, cuando lo sustituyes en la ecuación, no concuerde pero el otro sí?

    replythumb_up0 voto/sflag
  • icon

    Jesus Oliver
    el 21/1/18

    ¿podrias hacer este mismo ejercicio pero con la segunda operacion sumando y no restando?


    replythumb_up0 voto/sflag
    icon

    David
    el 1/2/18

    No tendría solucion...

    thumb_up0 voto/sflag
  • icon

    Salma Sebbane
    el 4/12/17
    flag

    no entiendo lo de comprobar 

    replythumb_up0 voto/sflag
    icon

    Antonius Benedictus
    el 4/12/17


    thumb_up2 voto/sflag
  • icon

    DAVID GARCÏA
    el 23/8/17

    Una pregunta sí fuera 2√x+5 =0

     Como se resolvería:

    Pos data: x+5 esta dentro del paréntesis

    Contesta lo mas rápido que te sea posible


    replythumb_up0 voto/sflag
  • icon

    Juanita
    el 17/8/17

    Hola, no entiendo por que en la corrección de tu error dices 9+9=3+9. De donde sale el 9+9 ? 

    Gracias 

    replythumb_up0 voto/sflag
  • icon

    Pablo Brell
    el 1/8/17

    Una cosita, ¿en las ecuaciones con radicales se debe comprobar siempre las soluciones, no? Porque en el vídeo la segunda solución de la 1ª ecuación (x=9) no verifica la igualdad.

    replythumb_up0 voto/sflag
    icon

    Antonius Benedictus
    el 1/8/17

    Excelente observación, Pedro.

    El error está detectado en la “fe de erratas”, que es el botón  ( ! ) que está debajo del vídeo.

    thumb_up0 voto/sflag
  • icon

    SilverEdd
    el 25/6/17

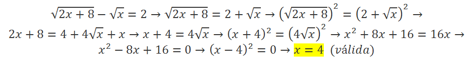
    Hola como podria solucionar esta equación? √2x+8-√x=2

    replythumb_up0 voto/sflag
    icon

    Antonius Benedictus
    el 25/6/17


    thumb_up1 voto/sflag
  • icon

    Luis de Parellada
    el 18/12/16
    flagflag

    hola , buenas en caso de tener : 7+3√5x  -2 = 9

    gracias


     


    replythumb_up0 voto/sflag
    icon

    David
    el 20/12/16

    Se trata de que DESPUES DE IR A CLASE (ver los vídeos relacionados con vuestras dudas) enviéis dudas concretas, muy concretas. Y que nos enviéis también todo aquello que hayais conseguido hacer por vosotros mismos. Paso a paso, esté bien o mal. No solo el enunciado. De esa manera podremos saber vuestro nivel, en que podemos ayudaros, cuales son vuestros fallos.... Y el trabajo duro será el vuestro. Nos cuentas ¿ok? #nosvemosenclase ;-)

    P.D. Para dudas que no tienen que ver explicitamente con lo que hago en un vídeo, lo ideal es que uséis el FORO GENERAL de matemáticas, física o química

    thumb_up5 voto/sflag
  • icon

    marta
    el 29/11/16
    flagflag

    y cuando es por ejemplo: x+√2x=4.. como se haría?

    replythumb_up0 voto/sflag
    icon

    David
    el 29/11/16

    ¿¿?? Pasa x al otro miembro... √2x=4-x.. Como en el video...
    Animo!

    thumb_up2 voto/sflag
  • icon

    rossy
    el 12/7/16
    flagflag

    HOLA DAVID Y SI TENGO RAIZ CUBICA, EL EJERCICIO ES 7+3√5x-2=9. GRACIAS EXCELENTES VIDEOS ; )

    replythumb_up1 voto/sflag
    icon

    David
    el 13/7/16

    3 ³√(5x-2)=9-7=2... 3 ³√(5x-2)=2... Eleva al cubo ambos miembros... 27(5x-2)=8... Y resuelves...

    thumb_up4 voto/sflag
  • icon

    David
    el 1/6/16

    Como es operar como identidad para verificar igualdades

    replythumb_up0 voto/sflag
    icon

    David
    el 1/6/16

    Que simplifiques cada miembro por separado para ver si los miembros de la "ecuación" te dan lo mismo...

    thumb_up1 voto/sflag
  • icon

    arnold
    el 26/4/16

    Tengo una pregunta y no se como formularla del todo a ver, en la primera ecuación si al otro lado del = el 6 está en negativo, al hacer el doble del primero por el doble del segundo, ¿se coje tambien el símbolo negativo del -6? quedaría 2*-6*x? ¿o no hace falta? gracias!

    replythumb_up0 voto/sflag
    icon

    David
    el 26/4/16

    Te sugiero estos vídeos... Identidades notables
    (a-b)²=a²+b²-2.a.b....

    thumb_up2 voto/sflag
  • Usuario eliminado
    el 7/3/16

    Si en la ecuación de dos raíces en vez de tener 4 = 2 raíz de x, tuviésemos 4 = 2 raíz de x + 3, ¿cómo sería?, muchísimas gracias!

    replythumb_up0 voto/sflag
    icon

    David
    el 8/3/16

    Igual... 4=2.√(x+3)..... 2=√(x+3).... 4=x+3...x=1....

    thumb_up1 voto/sflag
  • icon

    maria helena
    el 24/1/16
    flagflag

    David tengo una duda . si la ecuación se queda asi: como se podria desarrollar?
    √4x+5-√3x+1=1

    replythumb_up0 voto/sflag
  • icon

    diego debra
    el 11/9/15
    flagflag

    Hola David. Necesito ayuda para una ecuación irracional en concreto ya que las similares como esta me impiden desarrollarlas.
    Te dejo el link del profesor que plantea la ecuación en youtube.
    https://www.youtube.com/watch?v=OC4ldIT_xhg
    Es la segunda ecuación irracional, muchas gracias.

    replythumb_up0 voto/sflag
  • icon

    Nina
    el 28/8/15
    flag

    David podrias hacer otro video con ecuaciones irracionales pero con mas dificultad y ecuaciones exponenciales? Estos son algunos que no me salen


    √(3x + 10 - √(8x - 4 = x - 6
    3^ x-1 + 3^x + 3^x+1 = 117

    replythumb_up1 voto/sflag