¡UPS! Para ver vídeos en la web debes estar registrado, es totalmente gratuito.

Recuerda además que sólo por ser unicoo, GRATIS, podrás dejar tus dudas en los foros de beUnicoos, acumularás energy y help points y ganarás decenas de medallas. Registrarte solo te llevará unos segundos. Nosotros somos unicoos ¿y tú? #nosvemosenclase

Logaritmos 01 Interpretado en lengua de signos

Este video incluye subtítulos y ha sido interpretado en lengua de signos para ayudar a personas con discapacidad auditiva GRACIAS a la Plataforma Educativa Peecas y a ASPANPAL, Asociación de Padres de Niños con Problemas de Audición y Lenguaje. #Accesibilidad​ #EducaciónAccesible.
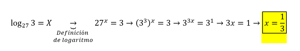
Resolveremos varios logaritmos, utilizando su definicion o convirtiendolos en ecuación exponencial. Utilizaremos también algunas propiedades de los logaritmos .

Agregar a mi mochila
0/ 698

* Para utilizar tu mochila o guardar tu progreso y acumular energy points debes ser usuario registrado. Regístrate o inicia sesión

Foro de preguntas y respuestas

logo beUnicoos
Los foros de unicoos se han unificado en nuestra nueva plataforma beUnicoos. Para dejar nuevas preguntas deberás hacerlo allí, donde además podrás encontrar nuevas asignaturas y herramientas para ayudarte más con tus estudios.
  • icon

    Pablo Tudela
    el 4/1/20

    En el minuto 8:37 porqué se pone 1/10000? No sería 1/100000 = 0.00001? De hecho, si pones que es 10^-5, la fracción debería ser 1/10^5. Por cierto, me encantó tu libro de <<¿Cuánto pesan las nubes?>>


    replythumb_up0 voto/sflag
    icon

    David
    el 29/1/20

    0.00001 = 10-5

    Simplemente. Un abrazo gigante, me alegro mucho que te gustara mi libro :)

    thumb_up1 voto/sflag
  • icon

    Manuel Pozas
    el 28/12/19

    Sabiendo el logaritmo de 2, como puedo calcular el logaritmo de 5?

    replythumb_up0 voto/sflag
    icon

    Antonius Benedictus
    el 28/12/19

    log(5)=log(10/2)=log(10)-log(2)=1- log(2)

    thumb_up0 voto/sflag
  • icon

    paula
    el 28/1/19

    Como se hace el cambio de base a 4 del logaritmo en base 7 de 4?

    replythumb_up0 voto/sflag
    icon

    Antonius Benedictus
    el 28/1/19


    thumb_up1 voto/sflag
  • icon

    Ana Paula
    el 25/1/19

    hola chicos, tengo dudas de como

    como realizar este lagoritmo. 

    Ayuuda :) 

    replythumb_up0 voto/sflag
    icon

    Antonius Benedictus
    el 25/1/19


    thumb_up1 voto/sflag
  • icon

    paula
    el 24/1/19

    Es log 1/125 x = 5

    replythumb_up0 voto/sflag
  • icon

    paula
    el 23/1/19

    Como se resuelve log 1/125= 5?

    replythumb_up0 voto/sflag
    icon

    Antonius Benedictus
    el 23/1/19

    Sube al foro de Matemáticas una foto del enunciado original.

    thumb_up1 voto/sflag
  • icon

    paula
    el 22/1/19

    Como se resuelve log 3 de 1/ 27 raiz cubica de 9

    replythumb_up0 voto/sflag
    icon

    Antonius Benedictus
    el 22/1/19


    thumb_up1 voto/sflag
  • icon

    paula
    el 22/1/19

    como se resuelve el log en base 4 de 64 + el log en base 8 de 64??

    replythumb_up0 voto/sflag
    icon

    Antonius Benedictus
    el 22/1/19


    thumb_up1 voto/sflag
  • icon

    paula
    el 20/1/19

    Como se resuelve el log 3 con base 27?

    replythumb_up0 voto/sflag
    icon

    Antonius Benedictus
    el 20/1/19


    thumb_up1 voto/sflag
  • icon

    Mario y Alex
    el 15/11/18

    Hola, me podrías decir como resolver log 2 con base 4. Si puede ser esta tarde por favor, que tengo el examen mañana.

    replythumb_up0 voto/sflag
    icon

    Antonius Benedictus
    el 15/11/18


    thumb_up1 voto/sflag
  • icon

    lucia ricart corcoles
    el 29/10/18

    no lo entiendo... porque se puede sacar la "n" fuera del logaritmo?

    replythumb_up0 voto/sflag
    icon

    David
    el 31/10/18

    ¿en qué caso? ¿¿??

    thumb_up2 voto/sflag
  • icon

    Lusi
    el 27/10/18
    flag

    Hola, podrías explicarme como se hacen los logaritmos con número que empezase con 0,.....

    gracias!

    replythumb_up0 voto/sflag
    icon

    David
    el 31/10/18

    No entiendo... ¿algun ejemplo concreto? ¿lo dejas en el foro general de matemáticas?

    thumb_up1 voto/sflag
  • icon

    Carmen Noelia Pérez Collantes
    el 21/10/18

    En la página 18 de los ejercicios resueltos de radicales, ejercicio 7 apartado b pone como resultado X elevado a 7, y a mi me sale x elevado  a 12.

    replythumb_up0 voto/sflag
    icon

    David
    el 31/10/18

    Le echaré un vistazo..

    thumb_up1 voto/sflag
  • icon

    Juan
    el 17/8/18

    Si en la calculadora solo está log base 10 y log base e ¿No se pueden hacer otros log como los de este vídeo?

    replythumb_up0 voto/sflag
  • icon

    Alvarobc@Gmail.com Benito Correas
    el 13/4/18
    flag

    Me podriais ayudar a resolver estos ejercicios por favor. 

    replythumb_up0 voto/sflag
    icon

    Antonius Benedictus
    el 13/4/18

    Sube tus dudas CONCRETAS al foro de Matemáticas.

    thumb_up1 voto/sflag
  • icon

    Alekos Escu
    el 12/4/18

    Gracias a María me entero que tengo acceso a la teoría. Excelente!!! Gracias María. Y ustedes eligieron muy bien el nombre: son Unicooooooooooos!!! Más que gracias!!

    replythumb_up0 voto/sflag
    icon

    Antonius Benedictus
    el 12/4/18

    Nos congratulamos, Alekos.

    thumb_up1 voto/sflag
  • icon

    Maria
    el 17/2/18

    Tengo una duda y no es sobre el video. No se muy bien a quien preguntar. Me acabo de crear el perfil y me he hecho Pro por que ponía que de ese modo puedo tener acceso a la teoría pero todo son vídeos. ¿Donde esta? :(((((

    replythumb_up2 voto/sflag
    icon

    Antonius Benedictus
    el 17/2/18

    Debajo de cada vídeo, en "material adicional"

    thumb_up2 voto/sflag
  • icon

    Ricard Montfort Romero
    el 23/1/18

    Gran explicación David! Solo un minuuuuuuuuusculo detalle! =)

    En el minuto 8:30 en el momento que nos explicas que 10-5   = 1/ 100.000 y borraste un ultimo 0 cambiando el resultado final:

    * 1/10.000 = 0,0001 

    No creo que tengas que ponerlo como errores ya que es fácil de detectar! Gracias a ti estoy aprendiendo  un millón de cosas que no hubiera imaginado a prender nunca, muchas gracias por tu dedicación y tus ganas en los vídeos, se nota que lo pones mucha pasión y cariño.

    Nos vemos en clase! ;)


    replythumb_up2 voto/sflag
    icon

    David
    el 1/2/18

    :D UN ABRAZO!!!!! Gracias por la apreciación. #nosvemosenclase 

    thumb_up3 voto/sflag
  • icon

    Lucía G
    el 3/12/17

    No tengo el enunciado original del logaritmo porque era de  un examen. Lo copié cuando nos lo dejo ver el examen. Me podrias ayudar. GracIas 

    replythumb_up0 voto/sflag
    icon

    Antonius Benedictus
    el 3/12/17

    Me temo que la has copiado mal.

    thumb_up0 voto/sflag
  • icon

    Lucía G
    el 2/12/17

    Hola, me podrías ayudar con este logaritmo de 4 de ESO.  Ese logaritmo con base X  me esta volviendo loca y no sé resolverlo 

    LOG (22-X) =  -1 + LOGx 5  

    Gracias 

                                     


    replythumb_up0 voto/sflag
    icon

    Antonius Benedictus
    el 2/12/17

    Lucía, sube al foro de Mates una foto del enunciado original.

    thumb_up0 voto/sflag
  • icon

    Petri
    el 21/11/17

    Hola, podrías ayudarme con estos ejercicios, son de 4ºESO. Gracias

    log4-log2+log3

    log16+log4-(log3-log7)

    replythumb_up0 voto/sflag
    icon

    Antonius Benedictus
    el 22/11/17


    thumb_up0 voto/sflag
  • icon

    Sanndra
    el 2/10/17

    ¿Como se haría el logaritmo de ∛800, sabiendo que el logaritmo de 8 = 0.903?

    replythumb_up0 voto/sflag
    icon

    Antonius Benedictus
    el 2/10/17


    thumb_up3 voto/sflag
  • icon

    SwordHunter
    el 6/6/17

    como se le hace esto?:

    Hallar "8x" en siguiente expresion:

    logx+ log(x-3)=1

    replythumb_up0 voto/sflag
    icon

    Antonius Benedictus
    el 6/6/17

    logx+log(x-3)=1

    log(x(x-3))=1

    x^2-3x=10

    x^2 -3x-10=0

    x=-2 (no vale, pues daría log(-2))

    x=5 (vale)

    Ahora:  8x=40


    thumb_up1 voto/sflag
  • icon

    Alee
    el 10/5/17

    log base 0.1 - log base 0.01 

    replythumb_up0 voto/sflag
    icon

    Antonius Benedictus
    el 10/5/17

    Alee, sube al foro de Mates la foto del enunciado original.

    thumb_up1 voto/sflag
  • icon

    Gema
    el 20/3/17

    log(x2-15x)=2

    replythumb_up0 voto/sflag
    icon

    Antonius Benedictus
    el 20/3/17

    Como la base es 10:

    log(x2 -15x)=2

    x2-15x=102


    x2 -15x-100=0

    RESOLVIENDO:  x=-5   (vale)

    x=20  (vale)



    thumb_up2 voto/sflag
  • icon

    Michael Buenaventura
    el 2/3/17

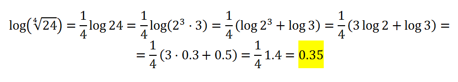
    Buenas profesor David Calle me podrias ayudar con este ejercicio: Sabiendo que log 2= 0.3 y log 3=0.5 ¿cual es la solución de log (4√24)


    replythumb_up0 voto/sflag
  • icon

    Iván
    el 22/1/17
    flag

    David, ¿Podrías hacer un vídeo sobre las ecuaciones bicuadradas? y una última cosa: te lo trabajas mucho !Eres el mejor! :)

    replythumb_up0 voto/sflag
    icon

    David
    el 22/1/17

    Si buscas bicuadrada usando el boton de busqueda del banner superior....
    Abrazos!

    thumb_up1 voto/sflag
  • icon

    Joan Casco Escobar
    el 18/12/16
    flagflag

    NExpresa en funcion de log base 2 y log base 3la expresio es: log (12×36 partido de 27 elevado a 3 por 9000

    replythumb_up0 voto/sflag
    icon

    David
    el 20/12/16

    Lo siento pero no entiendo lo que quieres expresar ni lo que necesitas. Te sugiero una foto en el foro general de matematicas..

    thumb_up0 voto/sflag
  • icon

    Paula Jiménez
    el 12/12/16

    Hola, una pregunta....

    El primer paso se hacerlo bien, pero no comprendo mucho lo del cambio de base. Podrías hacer otro video profundizandolo?

     Gracias!!

    replythumb_up0 voto/sflag
    icon

    David
    el 20/12/16

    Simplemente logbasea b = log b/ log a.....
    No tiene mayor secreto, lo siento... 

    thumb_up2 voto/sflag
  • icon

    pablo rodriguez
    el 4/12/16
    flagflag

    hola, alguien me podria ayudar?


    replythumb_up0 voto/sflag
    icon

    David
    el 5/12/16

    Si nos dejas alguna duda concreta en el foro general de matematicas, lo intentamos...

    thumb_up1 voto/sflag
  • icon

    Raul Agreda Mori
    el 18/11/16
    flag

     Me ayudan con esta porfa?

    replythumb_up0 voto/sflag
    icon

    David
    el 21/11/16

    Para dudas que no tienen que ver explicitamente con lo que hago en un vídeo, lo ideal es que uséis el FORO GENERAL de matemáticas, física o química

    thumb_up1 voto/sflag
  • icon

    Still Anonymous
    el 8/10/16
    flagflag

    Log  3^x=2         es de base 10 por cierto

    replythumb_up0 voto/sflag
    icon

    David
    el 10/10/16

    x.log3 = 2... x=2/ log3

    thumb_up0 voto/sflag
  • icon

    Lucía
    el 21/2/16
    flag

    Hola, me podria decir alguien como hacer los examenes? Gracias!

    replythumb_up1 voto/sflag
  • icon

    noelia
    el 14/2/16
    flagflag

    Me gustaría saber como puedo calcular este logaritmo: logx=-3

    replythumb_up1 voto/sflag
    icon

    David
    el 17/2/16

    x=10^(-3) Te sugiero repases detenidamente los videos de esta lección

    thumb_up2 voto/sflag
  • icon

    Jose Manuel Sánchez Núñez
    el 13/12/15
    flagflag

    ¿Qué haría yo sin Unicoos?
    Gracias David por ayudarme a sacar 4º

    replythumb_up0 voto/sflag
    icon

    David
    el 14/12/15

    :D

    thumb_up5 voto/sflag
  • icon

    noelia
    el 29/11/15

    Muchas gracias David , me saqué la ESO gracias a ti prácticamente, y espero sacarme el bachillerato! :)

    replythumb_up1 voto/sflag
    icon

    David
    el 30/11/15

    :-)

    thumb_up2 voto/sflag
  • icon

    Daniel
    el 5/11/15

    Muy buen vídeo profe solo una observación
    0.00001 = 10^-5
    pero 1/10000 no es 10^-5 en realidad es 10^-4
    lo comprobé con WolframAlpha
    y con un vídeo de notación científica claro de Unicoos ;)

    replythumb_up3 voto/sflag
  • icon

    Iván
    el 18/10/15

    Eres muy bueno David, que sepas que eres el recurso de mi profe de mates jajajaj, porque si no lo entendemos nos dice que nos metamos en tu página para entenderlo "más mejor" y lo peor es que tiene razón!
    Muchas Gracias por tu ayuda! ;)

    replythumb_up1 voto/sflag
    icon

    David
    el 20/10/15

    :D Eso dice mucho a favor de tu "profe".
    Un abrazo para tí, y por favor, tambien otro a tu profe de mi parte...

    thumb_up3 voto/sflag
  • icon

    Laia
    el 11/10/15

    Muchísimas gracias por todos tus vídeos!!! Estoy estudiando 1º de Bachillerato Científico-Tecnológico y tus explicaciones me ayudan a repasar y a acabar de entender las cosas!!!! Eres genial :)

    replythumb_up1 voto/sflag
    icon

    David
    el 12/10/15

    :-) GRACIAS A TI! BESOS!

    thumb_up2 voto/sflag
  • icon

    Alberto Barba
    el 15/9/15

    Gracias por tu trabajo, realmente da gusto aprender de forma clara y transparente, acabo de empezar Ingeniería Multimedia tras finalizar un superior de FP y no tengo base científica ( por llamarlo de alguna manera), te encontré de casualidad buscando información por la red y nada más ver el primer vídeo me encantó tu método de dar las clases, se hacen muy comprensibles y claras.
    Aquí tienes un nuevo alumno y gracias de nuevo por tu trabajo, se agradece de verdad :)

    replythumb_up5 voto/sflag
  • icon

    manuelfr99
    el 3/5/15
    flag

    Hola David. Lo primero decirte que me encantan tus vídeos y tu metodología, sobre todo por tus explicaciones. Gracias, de verdad, por ayudarnos. Estoy practicando logaritmos para un examen y la verdad que no entiendo muy bien como se realiza el cambio de base. Si eres tan amable, ¿podrías grabar un vídeo de cambio de base de logaritmos? Saludos y gracias.

    replythumb_up5 voto/sflag
  • icon

    cesar adolfo
    el 28/2/15
    flag

    una pregunta David si la vace fuera una raíz que se puede hacer

    replythumb_up1 voto/sflag
  • icon

    yeray
    el 24/2/15

    Hola david, que tal? verás no veo el apartado de "material adicional" que dices que tiene que estar en la parte inferior izquierda del video. igual estoy mirando donde no es, ¿podrías decirme donde esta?

    replythumb_up1 voto/sflag
    icon

    David
    el 25/2/15

    Lo siento..... Este video no cuenta con material adicional.. Buscaré material sin derechos de copyright. Te lo prometo...

    thumb_up5 voto/sflag
  • icon

    aye
    el 11/2/15
    flag

    hola, hay algun video o algun me puede ayudar a entender esto, se me complica mucho a la hora leer, entender y plantear esto!!! ej: 0 < a < 1

    replythumb_up1 voto/sflag
    icon

    David
    el 11/2/15

    "a" está comprendida entre 0 y 1, pues "a" es mayor que 0 (a>0) y menor que 1 (a<1)...

    thumb_up2 voto/sflag
  • icon

    MªTeresa Guillen Barroso
    el 15/1/15
    flag

    hola muy buenas tardes :) soy una alumna nueva en clase nos están dando los logaritmos y tengo un par de dudas :( podrían ayúdame mis dudas son sobre todo en la forma de expresar los resultados muchísimas gracias un cordial saludo

    replythumb_up1 voto/sflag
  • icon

    jose
    el 6/1/15

    una pregunta... en unicoos hay material escrito, o sea que no este en videos ?

    replythumb_up3 voto/sflag

Logaritmos