¡UPS! Para ver vídeos en la web debes estar registrado, es totalmente gratuito.

Recuerda además que sólo por ser unicoo, GRATIS, podrás dejar tus dudas en los foros de beUnicoos, acumularás energy y help points y ganarás decenas de medallas. Registrarte solo te llevará unos segundos. Nosotros somos unicoos ¿y tú? #nosvemosenclase

Progresión aritmética 01

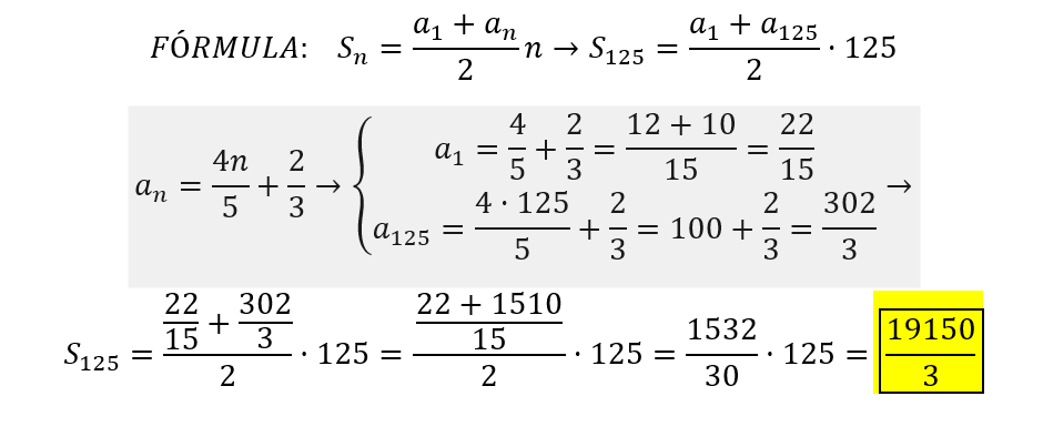
Haremos un ejercicio de progresiones (sucesiones) aritmeticas (aquellas en las que siempre hay que sumar o restar el mismo numero para hallar el siguiente termino. En primer lugar averiguaremos el primer termino (a1) y la diferencia (d). Despues obtendremos el termino general (an), el termino que ocupa la posicion 20ª, la suma de sus infinitos terminos (Sn) y la suma de los veinte primeros terminos (S20).

Os recomiendo veáis otros videos de sucesiones en esta seccion de la web...

Agregar a mi mochila
0/ 422

* Para utilizar tu mochila o guardar tu progreso y acumular energy points debes ser usuario registrado. Regístrate o inicia sesión

Material adicional

* Los materiales marcados con el símbolo de la estrella () sólo serán accesibles para usuarios PRO. Conviértete en PRO

Foro de preguntas y respuestas

logo beUnicoos
Los foros de unicoos se han unificado en nuestra nueva plataforma beUnicoos. Para dejar nuevas preguntas deberás hacerlo allí, donde además podrás encontrar nuevas asignaturas y herramientas para ayudarte más con tus estudios.
  • icon

    Marta Cámara
    el 9/1/19
    Flag pendienteflagflag

    Hola soy de tercero pero he visto que en los vídeos de tercero la eso no tenías las progresiones quería comentaros que el lunes tengo examen y Esto lo llevo un poco mal me podéis explicar con algunos ejemplos más 

    replythumb_up2 voto/sflag
    icon

    David
    el 27/1/19

    Se trata de que DESPUES DE IR A CLASE (ver los vídeos relacionados con vuestras dudas) enviéis dudas concretas, muy concretas. Y que nos enviéis también todo aquello que hayais conseguido hacer por vosotros mismos. Paso a paso, esté bien o mal. No solo el enunciado. De esa manera podremos saber vuestro nivel, en que podemos ayudaros, cuales son vuestros fallos.... Y el trabajo duro será el vuestro. Nos cuentas ¿ok? #nosvemosenclase ;-)

    P.D. Para dudas que no tienen que ver explicitamente con lo que hago en un vídeo, lo ideal es que uséis el FORO GENERAL de matemáticas, física o química

    thumb_up0 voto/sflag
  • icon

    VICTOR
    el 4/12/18

    Me podeis ayudar no lo entiendo 

    replythumb_up0 voto/sflag
    icon

    Antonius Benedictus
    el 4/12/18


    thumb_up1 voto/sflag
  • icon

    Antonella Doria
    el 14/9/18

    Hola el vídeo está muy bueno pero me dieron un ejercicio que dice así:

    Dar los primeros 5 términos y clasificar cada sucesión aritmética: an =3.n+6 no se como hacerlo ayuda 


    replythumb_up1 voto/sflag
    icon

    David
    el 14/9/18

    Para dudas que no tienen que ver explicitamente con lo que hago en un vídeo, lo ideal es que uséis el FORO GENERAL de matemáticas, física o química. Besos

    thumb_up1 voto/sflag
  • icon

    Lucia
    el 7/4/18

    Hola, entonces siempre para calcular la sn primero tienes que hacer la an?

    replythumb_up1 voto/sflag
    icon

    Antonius Benedictus
    el 7/4/18

    Puedes utilizar dos fórmulas (que son equivalentes):


    thumb_up0 voto/sflag
  • icon

    _lorena_06_
    el 4/2/18

    Hola! No suelo pasarme mucho por aquí para preguntar dudas porque los vídeos ya me las resuelven, pero me han mandado un ejercicio de deberes que no se hacer. Me piden que continúe la lista de números: 1, 4, 9, 16 y en otro apartado me piden que continúe también los siguientes números: 1, 8, ,27, 64

    Muchas gracias!

    replythumb_up0 voto/sflag
    icon

    Antonius Benedictus
    el 4/2/18

    La primera lista la forman lo cuadrados de los números naturales. Por tanto sigue:  25, 36, 49, 64,....El término general es n^2

    Y la otra los cubos. Sigue: 125, 216,... El término general es n^3.

    thumb_up0 voto/sflag
  • icon

    Munir Faris
    el 31/1/18
    flagflag

    Cómo podría hallar el cuarto y el séptimo término de una progresión aritmética sabiendo que estos dos términos se diferencian en 18 unidades y que el primer término vale 4?

    replythumb_up0 voto/sflag
    icon

    David
    el 1/2/18

    Consulta el tercer vídeo de esta lección y nos cuentas ¿ok?.

    P.D. Para dudas que no tienen que ver explicitamente con lo que hago en un vídeo, lo ideal es que uséis el FORO GENERAL de matemáticas, física o química

    thumb_up0 voto/sflag
  • icon

    Alejandro Peña Sanchez
    el 5/12/17

    Me podrían explicar el siguiente problema...



    replythumb_up0 voto/sflag
    icon

    Antonius Benedictus
    el 5/12/17


    thumb_up0 voto/sflag
  • icon

    Alejandro Peña Sanchez
    el 4/12/17

    Hola tengo dos problemas que no se resolver:


    Este es el primer problema


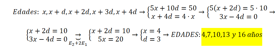
    1. Las edades de cinco hermanos están en progresión aritmética, su suma es 50 años, y la edad del mayor es cuatro veces la del menor. Halla las edades de los 5 hermanos. 


    Lo necesitaría para antes de mañana,


    replythumb_up0 voto/sflag
    icon

    Antonius Benedictus
    el 4/12/17


    thumb_up0 voto/sflag
  • icon

    Sofi
    el 23/5/17

    Hola! ¿Cómo puedo saber si   an= 5n-2      es una progresión  aritmética?

    Gracias

    replythumb_up0 voto/sflag
    icon

    Antonius Benedictus
    el 23/5/17


    thumb_up0 voto/sflag
  • icon

    Victor
    el 26/2/17

    hola queria saber como puedo calcular el termino general de una progresion aritmetica sin tener la diferencia y el a1 solo teniendo a2=17 a5=50 gracias.



    replythumb_up0 voto/sflag
    icon

    Antonius Benedictus
    el 26/2/17


    thumb_up2 voto/sflag
  • icon

    Eduardo Sánchez Vega
    el 28/1/17

    hola me llamo edu y mi pregunta es, si los términos estuvieran en forma de fracción, cómo se haría, gracias

    replythumb_up0 voto/sflag
    icon

    Antonius Benedictus
    el 29/1/17

    Exactamente igual, Edu. Pero trabajando con fracciones, que es más engorroso.

    thumb_up0 voto/sflag
  • icon

    Dherran
    el 17/1/17

    Disculpa me llamo Diego y mi duda es como sumar:

    A1=3

    A2=10

    A3=17 

    A4=24

    Hay que calcular los primeros 30 términos

    An=7n-4

    El caso es que la diferencia es 7 pero luego me he liado, por cierto estoy en tercero de secundaria


    replythumb_up1 voto/sflag
  • icon

    Fanny
    el 5/6/16
    flagflag

    Buenos días, no sé si me podrían ayudar, no encontré en q tema podría poner la pregunta disculpe si no es el lugar correcto .
    Muchas gracias.

    replythumb_up0 voto/sflag
  • icon

    marco
    el 17/5/16

    que significa la a de a sub 1??

    replythumb_up0 voto/sflag
    icon

    David
    el 20/5/16

    a1 es el primer termino...

    thumb_up1 voto/sflag
  • icon

    Hernán Rossi
    el 25/2/16
    flag

    David, no pude encontrar videos de series. Has realizado alguno?
    Saludos!

    replythumb_up1 voto/sflag
    icon

    David
    el 26/2/16

    No.... sorry..

    thumb_up0 voto/sflag
  • icon

    Rodrigo Contreras
    el 4/1/16
    flag

    Profe, tiene videos de sumas telescópicas? :c

    replythumb_up0 voto/sflag
    icon

    David
    el 4/1/16

    No, lo siento...

    thumb_up1 voto/sflag
  • icon

    juan pablo
    el 18/3/15

    hola, tengo una duda. Porque puso (n-1)?

    replythumb_up0 voto/sflag
    icon

    David
    el 18/3/15

    Porque la formula de toda progresion aritmetica es an=a1+(n-1).d....

    thumb_up6 voto/sflag