¡UPS! Para ver vídeos en la web debes estar registrado, es totalmente gratuito.

Recuerda además que sólo por ser unicoo, GRATIS, podrás dejar tus dudas en los foros de beUnicoos, acumularás energy y help points y ganarás decenas de medallas. Registrarte solo te llevará unos segundos. Nosotros somos unicoos ¿y tú? #nosvemosenclase

Progresión geométrica

Haremos dos ejercicios de progresiones (sucesiones) geométricas (aquellas en las que siempre hay que multiplicar o dividir por el mismo numero para hallar el siguiente termino). En primer lugar averiguaremos el primer termino (a1) y la razon (r). Despues obtendremos el termino general (an), el termino que ocupa la posicion 20ª, la suma de sus infinitos terminos (Sn) y la suma de los veinte primeros terminos (S20).
El segundo ejemplo es similar al primero con una unica diferencia: la razón es un valor comprendido entre 0 y 1. Por esa razón, hallaremos también la suma de los infinitos terminos de la progresión.

Os recomiendo visiteis otros videos de sucesiones en esta sección de la web...

Agregar a mi mochila
0/ 785

* Para utilizar tu mochila o guardar tu progreso y acumular energy points debes ser usuario registrado. Regístrate o inicia sesión

Material adicional

* Los materiales marcados con el símbolo de la estrella () sólo serán accesibles para usuarios PRO. Conviértete en PRO

Foro de preguntas y respuestas

logo beUnicoos
Los foros de unicoos se han unificado en nuestra nueva plataforma beUnicoos. Para dejar nuevas preguntas deberás hacerlo allí, donde además podrás encontrar nuevas asignaturas y herramientas para ayudarte más con tus estudios.
  • icon

    Manuel Botella Martin
    el 23/9/19

    Hay una cosa que no veo, en el minuto 6:30, cuando dice que puede sacar factor común de 2•3^n-2 y todo esto partido entre 2, por que el 2 multiplica a ambos términos, eso es lo que no veo, lo que yo veo es que el 2 multiplica a 3^n y de ese resultado se le resta 2, no se si me he perdido algo, si alguien puede ayudarme lo agradecería.


    Un saludo

    replythumb_up0 voto/sflag
    icon

    David
    el 14/10/19

    He sacado factor comun... Del mismo modo que 2x-2 = 2(x-1)... ¿mejor?

    thumb_up0 voto/sflag
  • Usuario eliminado
    el 14/4/18
    Flag pendiente

    y si el primer número es 0 


    replythumb_up1 voto/sflag

    Usuario eliminado
    el 14/4/18

    no se puede hacer piensalo un número multiplicado por 0 es 0 así que no vale 0 de primer termino en una progresión geometrica


    thumb_up3 voto/sflag
  • icon

    Óscar
    el 17/2/18

    ¡Hola!

    ¿Me podríais ayudar? En la pizarra pone que la suma de los n primeros términos es a_n·r-a_1/r-1 y mi profe nos hizo copiar esa fórmula, lo que pasa es que nos la dió así s_n=a_1-a_n·r/1-r

    Me puedo haber equibocado yo al copiarla pero es para que me resolvais esta duda que tanto me confunde.

    ¡Gracias!



    replythumb_up0 voto/sflag
    icon

    Antonius Benedictus
    el 17/2/18


    thumb_up0 voto/sflag
  • icon

    _lorena_06_
    el 16/2/18

    Hola!

    ¿Me podríais explicar por qué se pone en Sn: 3^n-1= 5n?

    Es que no entiendo muy bien porqué se pone ese 5n.

    Muchas gracias!

    replythumb_up0 voto/sflag
    icon

    David
    el 26/2/18

    No es un 5 sino una S....

    thumb_up1 voto/sflag
  • icon

    Alejandro Peña Sanchez
    el 2/12/17

    Y este es el 64


    replythumb_up0 voto/sflag
    icon

    Antonius Benedictus
    el 2/12/17


    thumb_up0 voto/sflag
  • icon

    Alejandro Peña Sanchez
    el 2/12/17

    Este es el ejercicio 63.


    replythumb_up0 voto/sflag
  • icon

    Alejandro Peña Sanchez
    el 2/12/17

    Los enunciados son los siguientes. 

    Son los ejercicios 62, 63, 64.

    Este es el ejercicio 62, el primero de todos.





    replythumb_up0 voto/sflag
  • icon

    Alejandro Peña Sanchez
    el 1/12/17

    Bueno, a ver, tengo bastante dudas sobre unos ejercicios que acabo de hacer, y me gustaría ir poninedo los ejercicos, según como los he heco, para después que ayudaraís a saber si estan bien o mal. 

    A ver, el primer ejercico nos hablaba de lo siguiente. Tenemos que averiguar el termino general de las siguientes P.G. sabiendo que la razón es mayor que uno

    Caso A 


    Caso B 


    Caso C


    En el siguiente ejercio te porponen que calcules la suma de los primeros 7 números

    Caso A




    Caso B


    Caso C


    Y bueno, el último ejercicio, la verdad es que no lo entieno, y me gustaría que me lo pudieraís explicar.

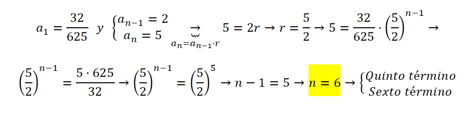
    Nos dice que a1= 32 / 625, luego nos dice que hay dos terminos que son 2 y 5 y que debemos calcular que posición acupa cada termino, ¿que hay que haacer exactamente?

    Y bueno, ya esta, esto era todo, espero que me puedan ayuadar y siento mucho las molestias.


    replythumb_up0 voto/sflag
    icon

    Antonius Benedictus
    el 1/12/17

    Sube al foro, de forma paulatina, fotos de los enunciados originales.

    thumb_up0 voto/sflag
  • icon

    Alejandro Peña Sanchez
    el 29/11/17

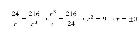
    Hola, buenas tardes. Quisiera saber si 24 / r = 216 / r^3, se podría resolver como... r^3 / r = 216 / 24...


    Es como resolver sistemas por igualación, ¿verdad?

    replythumb_up0 voto/sflag
    icon

    Antonius Benedictus
    el 30/11/17


    thumb_up1 voto/sflag
  • icon

    Pablo Hernandez
    el 28/11/17

    espero me puedas ayudar

    replythumb_up0 voto/sflag
    icon

    Antonius Benedictus
    el 28/11/17


    thumb_up1 voto/sflag
  • icon

    Dayanna Ullauri
    el 4/4/17

    Ola David ! me podrias ayudar con una progresion con fracciones 
    4/5, 6/5, 8/10, 26/17, 44/90....
    espero me puedas ayudar 

    gracias


    replythumb_up0 voto/sflag
    icon

    Antonius Benedictus
    el 4/4/17

    Esto no es una progresión  (ni aritmétcia ni geométrica): Sube al foro una foto del enunciado original.

    thumb_up1 voto/sflag
  • icon

    Karen Arichavala Espinoza
    el 15/3/17

    1. Una pregunta,cuando del segundo ejemplo estas dividiendo un termino por el anterior para sacar la razon,hay un momento en el que me he sentido confusa porque decías que 4/6 eran 1/2,pero luego me fije y fue un error tuyo,porque tenias que haber puesto 4/8 no un 4/6,todo esto a que en la progresion el primer término es 8 y no 6.Entiendo que habra sido un error tuyo,pero luego lote entendi asique todo bien,gracias.

    replythumb_up0 voto/sflag
    icon

    Antonius Benedictus
    el 15/3/17

    Bien, Karen.

    thumb_up0 voto/sflag
  • icon

    Júlia
    el 4/1/17
    flag

    Hola! Puedo encontrar algún vídeo que explique como encontrar el término general de una sucesión pero con fracciones como por ejemplo: (1/2 2/3 3/4...)

    Gracias

    replythumb_up0 voto/sflag
    icon

    David
    el 10/1/17

    En tu caso debes tratar de forma independiente a numerador y denominador y centrarte en las sucesiones
    1,2,3.... o 2,3,4.... Y te quedaría n/(n+1)

    thumb_up0 voto/sflag
  • icon

    Paula
    el 13/6/16
    flag

    Buenas tardes,

    Calcula los trece primeros números que acaban en trece.

    No entiendo.

    Gracias.

    replythumb_up0 voto/sflag
    icon

    David
    el 14/6/16

    13, 113, 213, 313, 413...

    thumb_up1 voto/sflag
  • icon

    ainara
    el 14/2/16

    Es lo mismo a1(r^n-1) / r-1 y an*r-a1 / r-1?

    replythumb_up0 voto/sflag
    icon

    David
    el 17/2/16

    thumb_up0 voto/sflag
  • icon

    Maria
    el 17/10/15
    flagflag

    Hola, tengo una duda de un ejercicio.
    Ejercicio: En una progresion geometrica de razón 3 conocemos S6= 1456. Calcula a1 y a4.
    Se que tengo que aislar pero no se como empezar porque necesito más informació y no se me ocurre nada para sacarla.

    replythumb_up0 voto/sflag
    icon

    David
    el 19/10/15

    "Solo" tienes que aplicar la formula....
    s6= (a6.r - a1) / (r-1)... como a6=a1.r^5.... 1456= (a1.r^6 - a1) / (r-1)...
    1456= (a1.3^6 - a1) / (3-1)... 1456= (a1.3^6 - a1) / (3-1)... 1456 =(729.a1-a1)/2...
    2912 =728.a1... a1=4.....
    Hallar a4, con a1 y r, te lo dejo a tí...
    P.D. Para dudas que no tiene que ver explicitamente con el video, por favor, usad los foros generales...

    thumb_up2 voto/sflag
  • icon

    Moha
    el 17/8/15

    Hola! :) Tengo una duda sobre esto ...
    Si 1/2 es 2^-1 no? Entonces por ejemplo 3/2 cuanto es?
    Y gracias profe por todo! Eres el mejor!

    replythumb_up0 voto/sflag
  • icon

    Yeisson
    el 15/5/15

    profe, tengo una duda.
    resulta que en la Sn del minuto 7 del video, aproximadamente.
    Si intento hacer la comprobación de la formula con la suma de los primeros 2 números de la PG
    me queda: Sn= ((3²)-1)/(2) = 4
    y si sumo 2+6 me da 10.
    :/
    entonces, no se que puede ser que me esté fallando o si estoy haciendo algo mal

    replythumb_up0 voto/sflag
  • icon

    Cris
    el 16/3/15

    Cuando estamos haciendo la formula de SN, ¿se podría multiplicar 2 por 3?

    replythumb_up0 voto/sflag
    icon

    David
    el 16/3/15

    Solo pueden multiplicarse potencias de la misma base (sumando los exponentes)...

    thumb_up0 voto/sflag
  • icon

    Darwin Renzo
    el 29/12/14

    la razon de 8,4,2,1 tambien prodia ser 2

    o siempre va a ser la multiplicacion de 1/2
    solamente puede ser la multiplicacion o tambien se puede poner en la razon la division

    replythumb_up0 voto/sflag

    Usuario eliminado
    el 29/12/14

    Hola Darwin
    La razón sólo puede ser una por cada progresión geométrica.
    La razón de 1,2,4,8,... es 2 porque cada término dividido entre el anterior da 2
    La razón de 8,4,2,1,... es 1/2 porque cada término dividido entre el anterior da 1/2

    thumb_up0 voto/sflag