Una dudilla de optimización;¿ es necesario hacer la segunda derivada para comprobar?, es aue me suena que se podía hacer de otra forma pero no me acuerdo, un saludo y muchas gracias.

La otra forma, para funciones continuas y derivables en un entorno que contenga a todos los puntos a evaluar:
evalúas la función en un valor x levemente menor, en el valor x crítico (candidato a máximo o mínimo), y en un valor x levemente mayor al valor crítico, y pueden ocurrir tres casos:
1) si el valor de la función en el valor x crítico es el menor de los tres valores de la función, tienes un mínimo;
2) si el valor de la función en el valor x crítico es el mayor de los tres valores de la función, tienes un máximo,
3) si el valor de la función en el valor x crítico es intermedio entre los otros dos valores de la función, tienes una inflexion.
Espero haberte ayudado.
Buenas como podria resolver estos ejercicios gracias de antemano

Vamos con orientaciones:
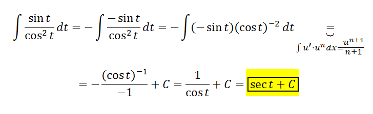
31) Plantea la sustitución: w = cost, de donde tienes: dw = - sent*dt, y luego tienes: - dw = sent*dt, suego sustituyes y te queda una integral directa:
∫ (- dw)/w2 = - ∫ w-2* dw = y puedes continuar la tarea.
32) Observa la expresión de la función a integrar:
1/(1 - senβ) = multiplicas al numerador y al denominador por la expresión "conjugada" del denominador, y queda:
= 1*(1 + senβ) / (1 - senβ)*(1 + senβ) = distribuyes en el numerador y en el denominador y queda
= (1 + senβ) / (1 - sen2β) =
sustituyes el denominador según la identidad del coseno al cuadrado en función del seno al cuadrado, y queda:
= (1 + senβ) / cos2β = distribuyes el denominador y queda:
= 1/cos2β + senβ/cos2β;
luego integras, y tienes una integral directa en el primer término, y la integral del ejercicio 31 en el segundo término.
Espero haberte ayudado.
No sé dónde buscar en las ecuaciones de las rectas la resolución de triángulos: ecuación de sus lados, ecuación de las medianas, ecuación de las mediatrices y ecuación de las alturas.
A ver si me puedes decir en qué video está. Muchísimas gracias.

Vamos con una orientación.
Tienes a tu disposición los vídeos de ecuaciones de la recta que pasa por dos puntos conocidos, y los vídeos de las rectas perpendiculares a una recta dada, que pasan por un punto exterior a ella.
Luego, debes tener en cuenta las definiciones:
Lado: le corresponde la ecuación de la recta que pasa por los dos puntos que son vértices y extremos del lado en cuestión;
Mediana: le corresponde la ecuación de la recta que pasa por el punto medio del lado correspondiente, y por el vértice opuesto al lado;
Altura: es la recta perpendicular a un Lado, y que también pasa por su vértice opuesto;
Mediatriz: es la recta que pasa por el punto medio de un Lado, y es perpendicular al mismo.
Observa que debes tener en cuenta las ecuaciones de las rectas que pasan por dos puntos, y en cada caso aplicarlas con los puntos correspondientes.
Espero haberte ayudado.
Probar que cada función f continua en R se puede escribir como f = E + O, donde E es pareja y continua y O es impar y continua (Análisis real)
Se me ha pedido que pruebe lo siguiente en mi clase de Análisis Real:
Probar que cada función f continua en R se puede escribir como f = E + O, donde E es par y continua y O es impar y continua.
No estoy muy seguro de por dónde empezar.
¡Gracias!
Demuestra que α ≤ β (Demostraciones)
Sea E un subconjunto no vacío de un espacio ordenado. Supongamos que a es un límite inferior de E y β es un límite superior de E. Demuestra que α ≤ β.
Demostración:
(1) Si α es un límite inferior de E entonces ∀x ∈ E x ≥ α.
(2) Si β es un límite superior de E entonces ∀x ∈ E x ≤ β.
A partir de (1), (2) y puesto que E está ordenado entonces
α ≤ x β → α ≤ β
Estoy empezando ahora con un análisis real y todavía estoy aprendiendo el arte de demostrar. ¿Es esto correcto? ¿Eso es suficiente?