Foro de preguntas y respuestas de Matemáticas

logo beUnicoos
Los foros de unicoos se han unificado en nuestra nueva plataforma beUnicoos. Para dejar nuevas preguntas deberás hacerlo allí, donde además podrás encontrar nuevas asignaturas y herramientas para ayudarte más con tus estudios.

  • icon

    Gaby Ram
    el 3/4/17

    hola, quisiera saber como puedo sacar los parametros de una funcion trigonometrica seno una vez que ya me dieron la gráfica,  por favor ayuda!!


    replythumb_up0 voto/sflag
    icon

    Ángel
    el 3/4/17

    ¿Te refieres a amplitud, frecuencia, fase, etc ? 

    Si es así, es un ejercicio de la asignatura de Física

    thumb_up1 voto/sflag
  • icon

    Cristofer Alejandro Quiroz Orellana
    el 3/4/17

    Hola chicos, llevo un par de días pensando en como sacar la inversa de esta función y no se me ocurre nada. Pude sacar el recorrido de la función, pero haciendo la grafica (Rec= [-1,1]). Por favor ayudaaa!!!!!

    replythumb_up0 voto/sflag
    icon

    Antonius Benedictus
    el 3/4/17


    thumb_up1 voto/sflag
  • icon

    Claudia
    el 3/4/17

    Hola necesito ayuda con estos dos ejercicios de problemas de valor inicial (determinación de curvas), gracias

    replythumb_up1 voto/sflag
    icon

    Ángel
    el 3/4/17

    Datos:

    P(9,4)= P(x1,y1)

    m= 3√x

    Ecuación de la recta de la forma "punto-pendiente": y-y1= m(x-x1)


    En 1er lugar sustituimos los datos en la forma pto pendiente:

    y-4 = 3√x(x-9)

    A continuación planteamos como fórmula de función f(x) o "y", pasando el 4 al otro lado:

    y=3√x(x-9)+4

    y= 3x3/2-27√x

    f(x)= 3x3/2-27√x





    thumb_up0 voto/sflag
    icon

    Antonius Benedictus
    el 3/4/17


    thumb_up0 voto/sflag
  • icon

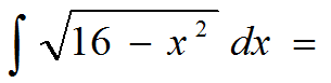
    Karen Mendez
    el 3/4/17

    Me podrían ayudar? Por sustitución trigonométrica cual es el resultado?

    replythumb_up0 voto/sflag
  • icon

    Jose luis Padilla
    el 3/4/17

    Me ayudan con este ejercicio por favor.

    replythumb_up0 voto/sflag
    icon

    Antonius Benedictus
    el 3/4/17


    thumb_up0 voto/sflag
  • icon

    Gabriela
    el 3/4/17

    Hola necesito ayuda con la siguiente demostracion: probar que el producto de dos involuciones es una involución si y sólo si conmutan

    replythumb_up0 voto/sflag
    icon

    Antonius Benedictus
    el 3/4/17


    thumb_up1 voto/sflag
  • icon

    Hugo
    el 3/4/17

    Hola! Quisiera por favor si podrían ayudarme con este ejercicio. Resulta que debo graficar la siguiente función pero no logro hacer para que me quede como a mis compañeros.

    Sea f función R, definida por la fórmula f(x) = 3|x - 5| - 2|x + 4|+ 6|x - 7| y Dom(f) = [-10, 10]

    La idea que tengo es representarla por tramo.

    Caso 1: [-10, 4)

    Caso 2: [4, 5)

    Caso 3: [5, 7)

    Caso 4: [7, 10]

    Luego ver como se comporta la función para cada x en cada tramo y graficarla. Pero creo que aún así estoy mal.

    Muchas gracias.

    replythumb_up0 voto/sflag
    icon

    Ángel
    el 3/4/17


    Observa que lo que llamas Caso 1: [-10, 4) es incorrecto, pues son en realidad dos "casos" : [-10,-4) y [4,4)

    thumb_up1 voto/sflag
    icon

    Hugo
    el 3/4/17

    Muchísimas gracias!

    Veo que me equivoqué en el signo del 4, pero podrías darme algún indicio de como lograste que el gráfico te quedara así?

    thumb_up0 voto/sflag
    icon

    Ángel
    el 3/4/17

    icon

    Hugo
    el 4/4/17

    Wow! Asombroso, te pasaste! Muchísimas gracias!!!

    thumb_up0 voto/sflag
  • icon

    Juandez
    el 2/4/17
    flagflag

    Alguien me puede corregir esto es de Teorema de Gauss


    replythumb_up0 voto/sflag
    icon

    Ángel
    el 3/4/17

    Este mensaje ya está respondido en el foro de física.


    thumb_up0 voto/sflag
  • icon

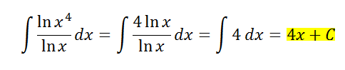
    Julio Rojas
    el 2/4/17

     buenas se que debo aplicar propiedes de lo los logaritmos y me quedaria una resta pero no tengo idea de cual es la integral del LN 

    replythumb_up0 voto/sflag
    icon

    Antonius Benedictus
    el 2/4/17


    thumb_up1 voto/sflag
  • icon

    Javier Marquez
    el 2/4/17

    hola, no se me ocurre como desarrollar estos ejercicios, me ayudan cn alguno porfa?

    replythumb_up0 voto/sflag
    icon

    Antonius Benedictus
    el 2/4/17

    Con calma,Javier, que esto lleva su tiempo. Ve mirando el primero:


    thumb_up2 voto/sflag
    icon

    Javier Marquez
    el 3/4/17

    Muchas gracias, intentare hacer los otros por mi cuenta


    thumb_up1 voto/sflag