Buenas, tengo un problema con un proyecto que estoy haciendo, soy estudiante de Ing. Electrónica y estoy en la materia de simulación y modelos. Lo que pasa es que tengo que hacer la modelacion matemática del llenado de un tanque de gas, con ecuaciones diferenciales, para saber el tiempo en el que este se llena y saber si hay diferencia entre gases. Busque esta información en Internet y solo e pillado ejercicios referentes a fluidos, pero no e pillado algo referente a un gas, espero me puedan ayudar. Mi correo es: sergiofernan36@gmail.com

Me encantaría ayudarte, pero no respondo dudas universitarias que no tengan que ver específicamente con los videos que ya he grabado como excepcion. O de otras asignaturas que no sean matemáticas, física y química. Lo siento de corazón… Espero lo entiendas
Ojalá algun unicoo universitario se anime a ayudarte (de hecho lo ideal es que todos los universitarios intentarais ayudaros los unos a los otros)
hola buenas tardes, tengo mañana examen de mates de 1º bachillerato y tengo duda con un problema, a ver si alguien me puede ayudar. Ahí va: Sabiendo que el módulo del vector a es =2 y el módulo del vector b es =√3 y el ángulo que forman ambos es igual a 30º. Calcula, utilizando las propiedades del producto escalar, el valor de l3a-4bl
Gracias Antonio,
La fórmula que utilicé es para la suma de vectores, la de la resta es:

como lal = 2 => l3al = 6
como lbl = √3 => l4bl = 4√3
l3a-4bl2 = l3al2 + l-4bl2-2·l3al·l4bl·cos30º
l3a-4bl2 = 62 + (4√3)2-2·6·4√3·cos30º
l3a-4bl2 = 36 + 48-48√3·√3/2
l3a-4bl2 = 36 + 48-48·3/2
l3a-4bl2 = 12
l3a-4bl = √12 = 3.46

Es un ejercicio de economía sobre préstamos el cual decía : construir el cuadro de amortización de un préstamo de 2500000 € , el cuál se cancelará con 5 anualidades iguales ( método francés). Tipo de interés 6%anual. Tenía que calcular la anualidad del año 1 que se calcula con esta fórmula ya dada en la imagen adjunta donde c1 sería los 250.000 , i el interés que es el 6% y n los años que son 5
La cuestión es que tenía que hacer esa fórmula pero a muchos compañeros con esos datos no les daba eso.
Gracias Antonio
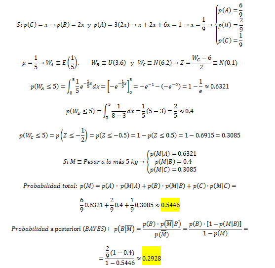
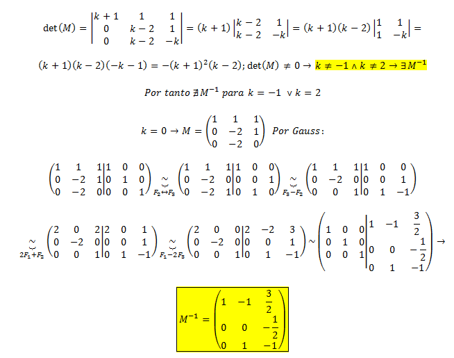
(2011-septiembre-2) 1. Dada la matriz:
:
a) Calcular los valores del parámetro k para los que la matriz M no es invertible.
b) Para k = 0, calcular M-1.
El primer apartado me da que k puede ser -1 y 2, pero el apartado b al calcular la M-1 en la comprobacion no me sale, Calcule el adjunto de la matriz transferida y lo dividi por el determinante , lo hice varias veces pero no se en que me equivoco... Alguien me podria ayudar con el apartado b?

Aquí:
https://matrixcalc.org/es/#%7B%7B1,1,1%7D,%7B0,-2,1%7D,%7B0,-2,0%7D%7D%5E%28-1%29
Marca la opción de "Usando la matriz de adjuntos".
El método de Gauss es más bonito, diga lo que diga tu profe.
a)
- Hay que hallar la superficie del tejado:
Son dos rectángulos idénticos
con base 30 m y ancho √(82+32) = √73 m
S = 30 · √73 m2
- Multiplicamos la superficie del tejado por el precio de reparación de cada metro cuadrado:
Precio = (30 · √73) · 25 = 70√73 = 6408.00 €
b)
- Calcularemos el volumen de la casa:
Para ello calculamos el área de la fachada y la multiplicamos por la profundidad de la casa
V =[15·4 + 1/2 · 15 ·3] · 30 = 2475 m3
lo dividimos entre 165 m3 por aparato
2475/165 = 15 aparatos
alguien me podria ayudar con Dominio de definion...
El dominio de una función son los valores de x en la que existe imagen.
a) Si la función tiene denominador hay que eliminar los valores de x que anule al denominador
b) Si la función tiene raíces de índice par hay que eliminar los valores de x que haga al radicando negativo
c) Si la función tiene logaritmos hay que eliminar los valores de x que haga el argumento nulo o negativo
aquí tienes varios ejercicios resueltos para practicar