Sean los siguientes conjuntos de vectores de R3: A = {(2,2,1), (0,1,1), (-2,0,1)} B = {(2,3,2), (2,1,0)} C = {(2,3,2), (1,0,0)} a) Encuentra la dimensión del espacio vectorial que generan A, B y C y una base de cada uno de ellos. b) Demuestra que A y B generan el mismo subespacio vectorial de R3. c) Demuestra que C no genera este subespacio.
Hola!! En esta integral: ∫ e3x / e2x+ 3ex + 2 dx , el resultado no debería ser ex+ In ( ex+1 / (ex+2)4) , es decir, el logaritmo neperiano positivo y no negativo ya que tiene un signo delante menos y colocados al reves . Gracias !!
Hola! Estoy buscando algún ejemplo de ejercicio sobre potencia de un punto con respecto a una circunferencia y no he dado con ningún video. Sí he visto sobre la ecuación de la circunferencia, pero no he visto ninguno donde salga PotC(P) = d^2 - r^2 o PotC(P) = PA.PB. Si lo hubiera, ¿podrían decirme cuál es? Gracias.
¡Hola Unicoos! ¿Podéis decirme si está bien este Gauss? Aquí da números diferentes https://matrixcalc.org/es/#diagonalize%28%7B%7B0,-1,1%7D,%7B-1,1,0%7D,%7B1,0,1%7D%7D%29
pero creo que eso puede ser posible y que ambos estén bien ¿es así?
Por otra parte, a partir de aquí, soy incapaz de sacar resolver el sistema de ecuaciones (autovector asociado a delta=1![]()

Te ayudo con el sistema de ecuaciones.
Tienes la matriz ampliada del sistema:
0 -1 1 0
-1 1 0 0
1 0 1 0
Permutas la primera fila con la tercera fila, y queda:
1 0 1 0
-1 1 0 0
0 -1 1 0
A la segunda fila le sumas la primera fila, y queda:
1 0 1 0
0 1 1 0
0 -1 1 0
A la tercera fila le sumas la segunda fila, y queda:
1 0 1 0
0 1 1 0
0 0 2 0
A la tercera fila la multiplicas por 1/2, y queda:
1 0 1 0
0 1 1 0
0 0 1 0
A la primera fila le restas la tercera fila, a la segunda fila le restas la tercera fila, y queda:
1 0 0 0
0 1 0 0
0 0 1 0
Luego, tienes el sistema equivalente resuelto:
x = 0,
y = 0,
z = 0,
por lo que tienes que la solución es única y es la solución trivial.
Espero haberte ayudado.

Puedes denominar P y Q a las matrices que tienes en los segundos miembros de las ecuaciones que tienes en tu enunciado.
Luego, tienes el sistema de dos ecuaciones matriciales con dos incógnitas:
2*A + B = P
A - B = Q, aquí sumas B en ambos miembros, y queda: A = Q + B (1);
luego, sustituyes la expresión señalada (1) en la primera ecuación, y queda:
2*(Q + B) + B = P, distribuyes en el primer término, y queda:
2*Q + 2*B + B = P, reduces términos semejantes, y queda:
2*Q +3*B = P, restas 2*Q en ambos miembros, y queda:
3*B = P - 2*Q, multiplicas por 1/3 en todos los términos de la ecuación, y queda:
B = (1/3)*P - (2/3)*Q;
luego, sustituyes la expresión remarcada en la ecuación señalada (1), y queda:
A = Q + (1/3)*P - (2/3)*Q, reduces términos semejantes, y queda:
A = (1/3)*P + (1/3)*Q.
Luego, solo queda que reemplaces las expresiones de las matrices P y Q que tienes en tu enunciado y hagas los cálculos.
Espero haberte ayudado.
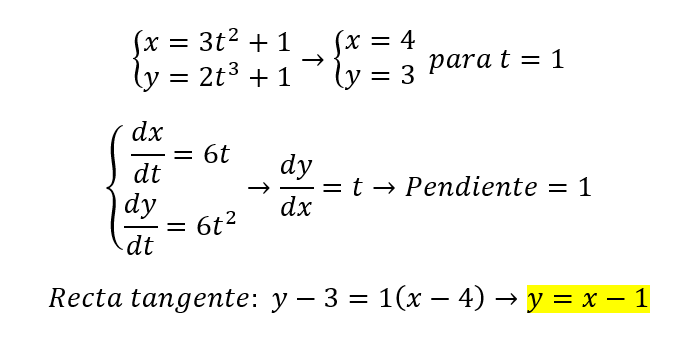
Holaa, una pregunta, en este ejercicio, para llegar al paso marcado, porque el signo menos a cambiado solo para 1-t ?? Solo puede cambiar uno, es decir, o bien para el numerador o bien para el denominador? Gracias !!!

Considera un sistema de referencia con eje de posiciones OX con origen en la casa de María, con instante inicial (ti = 0) correspondiente al momento que María sale de su casa.
Recuerda la ecuación de posición de Movimiento Rectilíneo Uniforme:
x = xi + v*(t - ti) (*),
donde xi es la posición inicial del móvil, y ti es el instante inicial.
Luego, considera el problema en etapas:
1°)
María se desplaza desde su casa hasta la parada del autobús, por lo que tienes los datos iniciales:
ti = 0, t = 5 min = 5*60 = 300 s,
xi = 0, x = 200 m,
v1 = a determinar;
luego, remplazas datos en la ecuación señalada (*), cancelas términos nulos, y queda:
200 = v1*300, divides por 300 en ambos miembros, y queda: 2/3 m/s = v1;
luego, reemplazas el valor remarcado y los datos iniciales en la ecuación señalada (*), cancelas términos nulos, y queda:
x = (2/3)*t (en metros), con 0 ≤ t ≤ 300 (en segundos) (1);
2°)
María espera la llegada del autobús:
ti = 300 s, t = 300 s + 10 min = 300 + 10*60 = 900 s,
x = 200 m (constante),
v2 = 0;
por lo que la expresión de la función posición queda:
x = 200 (en metros), con 300 ≤ t ≤ 900 (en segundos) (2);
3°)
María se desplaza a pie en camino a su trabajo:
ti = 900 s, t = 900 s + 1/4 h = 900 + (1/4)*60 = 900 s + 15 min = 900 15*60 = 900 + 900 = 1800 s,
xi = 200 m, x = 1 Km - 300 m = 1000 - 300= 700 m,
v3 = a determinar;
luego, remplazas datos en la ecuación señalada (*), y queda:
700 = 200 + v3*(1800 - 900), resuelves el coeficiente en el último término, y queda:
700 = 200 + 900*v3, restas 700 y restas 900*v3 en ambos miembros, y queda:
-900*v3 = -500, divides por -900 en ambos miembros, y queda: v3 = 5/9 m/s;
luego, reemplazas el valor remarcado y los datos iniciales en la ecuación señalada (*), cancelas términos nulos, y queda:
x = 200 + (5/9)*(t - 900) (en metros), con 900 ≤ t ≤ 1800 (en segundos) (3);
4°)
María regresa a su casa:
ti = 1800 s, t = 1800 s + 10 min = 1800 + 10*60 = 1800 + 600 = 2400 s,
xi = 700 m, x = 0,
v4 = a determinar;
luego, remplazas datos en la ecuación señalada (*), y queda:
0 = 700 + v4*(2400 - 1800), resuelves el coeficiente en el último término, y queda:
0 = 700 + 600*v4, restas 600*v4 en ambos miembros, y queda:
-600*v4 = 700, divides por -600 en ambos miembros, y queda: v4 = -7/6 m/s;
luego, reemplazas el valor remarcado y los datos iniciales en la ecuación señalada (*), cancelas términos nulos, y queda:
x = 700 - (7/6)*(t - 1800) (en metros), con 1800 ≤ t ≤ 2400 (en segundos) (4).
Luego, con las expresiones e intervalos remarcados y señalados (1) (2) (3) (4) puedes plantear la expresión de la posición de María (expresada en metros) en función del tiempo (expresado en segundos):
x(t) =
(2/3)*t con 0 ≤ t ≤ 300
200 con 300 ≤ t ≤ 900
200 + (5/9)*(t - 900) con 900 ≤ t ≤ 1800
700 - (7/6)*(t - 1800) , con 1800 ≤ t ≤ 2400
Luego, puedes reemplazar valores, y verás que los puntos extremos de tu gráfico, y los puntos de corte entre trozos son:
(0,0), (300,200), (900,200), (900,700) y (0,0);
luego, solo queda que hagas el gráfico cartesiano tiempo-posición.
Espero haberte ayudado.

Debes corregir:
Tienes la expresión de la función:
f(x) = 2(x-1)(x+5), distribuyes el producto de agrupamientos, y queda:
f(x) = 2(x2+5x-1x-5), reduces términos semejantes en el agrupamiento, y queda:
f(x) = 2(x2+4x-5), distribuyes, y queda:
f(x) = 2x2 + 8x - 10.
a)
Plantea la condición que cumplen los elementos del conjunto:
f(x) = 7, sustituyes la expresión desarrollada de la función que hemos remarcado, y queda:
2x2 + 8x - 10 = 7, restas 7 en ambos miembros, y queda:
2x2 + 8x - 17 = 0 (1), que es una ecuación polinómica cuadrática, la resuelves, y queda:
x1 = ( -8+√(200) )/4 = ( -8+10√(2) )/4 = ( -4+5√(2) )/2 ≅ 1,5355,
x2 = ( -8-√(200) )/4 = ( -8-10√(2) )/4 = ( -4-5√(2) )/2 ≅ -5,5355.
Luego, puedes continuar con la tarea.
Espero haberte ayudado.