Podría por favor alguien darme una luz sobre este problema? Estoy muy confundida. Me pide que calcule la transformada de Laplace y después resuelva por medio de fracciones parciales. Más o menos sé que como debo comenzar pero después se me hace un embrollo y empiezan a salirme valores raros que no sé como manejar. Yo sé que para calcular la transformada de Laplace se aplica a ambos lados de la ecuación y se usan las propiedades:
y''= S^2Q(s) - q(0) - q'(0)
y'= SQ(s) - q(0)
y= Q(s)
Los valores iniciales q(0)=0 ; q'(0)
Les voy a agradecer que me ayuden, llevo varios días intentando resolverlo. Gracias de antemano

¡Hola! Nos encantaría ayudarte, pero no solemos responder dudas universitarias que no tengan que ver específicamente con los vídeos que David Calle ha grabado como excepción. O de otras asignaturas que no sean Matemáticas, Física y Química. Lo sentimos de corazón… Esperamos que lo entiendas.
Ojalá algún unicoo universitario se anime a ayudarte (de hecho, lo ideal es que todos los universitarios intentarais ayudaros los unos a los otros).
Hola, alguien que me corrija por favor. Si tengo un conjunto A. Puedo decir que si realizo A x A entonces el complemento de A es ∅ ?
Para llegar a esa conclusión he probado con A = {a, b, c} siendo por lo tanto A x A = { (a, a), (a, b), (a, c), (b, a), (b, b), (b, c), (c, a), (c, b), (c, c) } eso para mi implicaría que el complemento de A es ∅
Aunque ahora que lo pienso también A x A podría ser U de universo.
Saludos y muchas gracias!
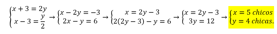
hola alguien me puede decir el planteamiento de este ejercicio, ya sé que es muy fácil pero no lo acabo de entender. Muchas gracias!
x=chicos
y=chicas
Si hay 3 chicos más entonces hay el doble de chicos que de chicas -------> x+3=2y
Si hay 3 chicos menos entonces hay la mitad de chicos que de chicas -------> x-3=y/2
Solo te queda aplicar cualquiera de los métodos (redución, sustitución o igualación) para terminar hallando que hay 5 chicos y 4 chicas (Valentina y otras 3)
Tengo una duda, en el determinante de A por qué omites la última fila???
Después, la regla de Sarrus para hacer determinantes solo se puede aplicar a matrices 2x2 o 3x3, nunca 4x4.
Si quieres conocer el rango del sistema para saber si es compatible determinado, compatible indeterminado, incompatible..... Haz GAUSS.
hola! alguien podria resolver este problema? SE TRATA DE ECUACIONES
En una ferreteria se venden tornillos en cajas de tres tamaños:pequeña, mediana y grande. La caja grande contiene el doble que la mediana, y la mediana contiene25 tornillos mas que la pequeña . He comprado una caja de cada tamaño y en total hay 375 tornillos . ¿Cuantos tornillos hay en cada caja?
Gracias de antemano,
Hola, buenas tardes, me podéis ayudar a hacer este ejercicio de optimización con restricciones de igualdad por método directo, no por método de Lagrange? Gracias.

¡Hola! Nos encantaría ayudarte, pero no solemos responder dudas universitarias que no tengan que ver específicamente con los vídeos que David Calle ha grabado como excepción. O de otras asignaturas que no sean Matemáticas, Física y Química. Lo sentimos de corazón… Esperamos que lo entiendas.
Ojalá algún unicoo universitario se anime a ayudarte (de hecho, lo ideal es que todos los universitarios intentarais ayudaros los unos a los otros).
Para hacer una pieza A se utilizan los componentes A1 y A2. Para que A no tenga fallo A1 y A2 no deben tener fallo. Para que dichos aparatos tengan fallo su probabilidad es de 0.2 (A1) y 0.05 (A2). A la vez que la pieza A se hace una pieza B que el 90% de las veces no va a tener fallo. (1.) En un conjunto de piezas de A y B con la misma cantidad de ambas, si se cogiera al azar una pieza, cual es la probabilidad para que no tenga fallo? (2.) Si la pieza que se ha cogido tiene fallo, cual es la probabilidad para que sea de tipo A?