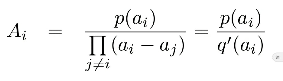
Hola, mediante el uso de la siguiente fórmula:

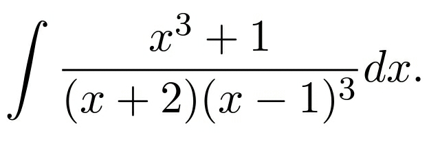
Como se hallarían los coeficientes de la integral:


¡Hola! Nos encantaría ayudarte, pero no solemos responder dudas universitarias que no tengan que ver específicamente con los vídeos que David Calle ha grabado como excepción. O de otras asignaturas que no sean Matemáticas, Física y Química. Lo sentimos de corazón… Esperamos que lo entiendas.
Ojalá algún unicoo universitario se anime a ayudarte (de hecho, lo ideal es que todos los universitarios intentarais ayudaros los unos a los otros).
4º ESO. Necesito ayuda
1.- Efectúa las siguientes operaciones con fracciones algebraicas, dando el resultado en forma de fracción irreducible:
a) (7x / x − 3) − (5 / x + 3) + (6x / x2 − 9) b) (x2 − 6x + 5 / x2 + 5x + 6) • (2x2 − 8 / x2 − x)
c) ( x + 1 − x2 / x − 1) ÷ ( 1 − x/ x − 1) d) ( 1 / 1+x + 2x / 1 − x2 ) • (1/x − 1)
Muchas gracias
Hola buenas, ¿me podrían ayudar a resolver este ejercicio de probabilidad de circuitos?
Me da como resultado 1.78 y creo que no puede dar mas de 1, lo he repetido varias veces y de distintas maneras y no encuentro el fallo, si pudieseis resolvermelo me ayudariais bastante.
No entiendo muy bien lo que has hecho, pero se comprueba al final en tu resultado que no es correcto.
Tienes que saberte dos relaciones trigonométricas para este ejercicio:
* cos(2α) = cos2α - sen2α
** sen2α +cos2α = 1 ----------fácilmente despejas--------> cos2α = 1-sen2α
El proceso para concluir que se trata de una identidad trigonométrica sería este:
sen2α = 1/2*(1-cos(2α))
sen2α = 1/2*(1- ( cos2α - sen2α)) *
sen2α = 1/2*(1- (1-sen2α - sen2α)) **
sen2α = 1/2*(1-(1-2sen2α))
sen2α = 1/2*(1-1+2sen2α)
sen2α = 1/2*(2sen2α)
sen2α = sen2α
Sea una muestra aleatoria de 284 personas donde a 94 personas le gustan el color rojo, 102 no y el resto no contesta. ¿Proporción para mantener el color?
¿Sería p = 94/196?