Hola buenos días,
Me ayudarían a decir cual es el resultado de este ejercicio de probabilidad ya que no tengo los resultados: Un candado de combinación básico para malteas consta de tres discos en cada uno de los cuales figuran los diez dígitos del 0 al 9. Un empleado de una empresa de handling de cierto aeropuerto pretende abrir una maleta cerrada con uno de estos candados sin causarle destrozos. Calcula que dispone de cinco minutos para la operación y que puede obtener una combinación del candado cada cuatro segundos. ¿Cuál es la probabilidad de que abra la maleta?
Muchas gracias.
Laplace dice que P(abrir_la_maleta)= casosfavorables÷casosposibles
Como en 4 segundos puede intentarlo una vez, entonces en 5 minutos puede intentarlo 75 veces --------> casosfavorables=75
Para los casos posibles, se trata de variaciones con repetición de 10 elementos tomados de 3 en 3 -----> casosposibles=V10,3=103=1000
Entonces P(abrir_la_maleta)=75/1000= 0.075
Necesito ayuda con estos dos ejercicios:
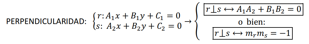
-Dada la recta x-4y+5=0,obtén su vector director,un punto de la recta y un vector perpendicular; el vector director me da (-4,-1) y el perpendicular (1,4)pero no consigo calcular el punto de la recta.
-Calcula la pendiente de una recta perpendicular a la recta y= 2x+3. No consigo saber cual es su vector director.
hola, buenas noches o días a todos, quisiera saber si me podrían ayudar con este problema, se los agradecería muchisimo, el problema está en la imágen proporcionada, pero el detalle es que me piden resolverlo por el método de MÍNIMOS CUADRADOS...
SALUDOS

¡Hola! Nos encantaría ayudarte, pero no solemos responder dudas universitarias que no tengan que ver específicamente con los vídeos que David Calle ha grabado como excepción. O de otras asignaturas que no sean Matemáticas, Física y Química. Lo sentimos de corazón… Esperamos que lo entiendas.
Ojalá algún unicoo universitario se anime a ayudarte (de hecho, lo ideal es que todos los universitarios intentarais ayudaros los unos a los otros).
Buenas Noches me pueden ayudar con estos ejercicios de antemano muchas gracias
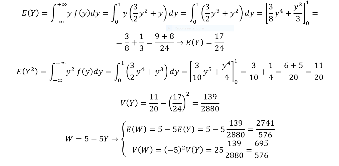
1. Para ciertas muestras de minerales, la proporción Y de impurezas por muestra es una variable aleatoria con función de densidad dada en el ejercicio anterior. El valor en dólares de cada muestra es W = 5 – .5Y. a) Encuentre la media y la varianza de W
2. El pH de muestras de agua para un lago específico es una variable aleatoria Y con función
de densidad de probabilidad dada por
𝑓(𝑦) = {
(3/8)(7 − 𝑦)
2 , 5 ≤ 𝑦 ≤ 7,
0, 𝑒𝑛 𝑐𝑢𝑎𝑙𝑞𝑢𝑖𝑒𝑟 𝑜𝑡𝑟𝑜 𝑐𝑎𝑠𝑜
a) Encuentre E(Y) y V(Y).
b)Encuentre un intervalo más corto que (5, 7) en el que deban estar al menos tres
cuartos de las mediciones de pH.
c) ¿Esperaría ver con frecuencia una medición de pH debajo de 5?5? ¿Por qué?
Hola, quiero demostrar que f(x) = x - π + cos(x) es inyectiva, pero utilizando la definición: una función es inyectiva si f(a) = f(b) → a = b, no logro conseguir que a = b. Lo otro que se me da por intentar es derivar f(x) para demostrar que es estrictamente creciente y de esta manera deducir que es inyectiva, pero no estoy seguro si es correcto esa deducción.
Muchas gracias y saludos!
Si derivamos f(x)...
f'(x) = 1 - sin(x)
Vemos que la derivada es siempre positiva, por lo tanto no existirán ni máximos ni mínimos. Aún así lo comprovamos:
Ahora igualamos a 0 para ver si tiene algun máximo, mínimo o punto de inflexión. SI x = λ * π/2, la función vale 0, donde λ = {2n+1} y n ∈ ℤ. (n = todos los enteros).
f'(π/2) = 1 - 1 = 0
Ahora volvemos a derivar para comprovar si se trata de un mínimo, máximo o punto de inflexión:
f''(x) = -cos(x)
Evaluamos la segunda derivada en π/2
f''(π/2) = -cos(π/2) = 0
Como el resultado es 0 esta función tiene un punto de inflexión en x = λ * π/2. Donde λ = {2n+1} y n ∈ ℤ. (n = todos los enteros).
Para verlo gráficamente ve a https://www.geogebra.org/graphing e introduce la función f(x)=x-π+cos(x).