Hola, buenas. Alguien podría decirme como es correcto resolver el siguiente ejercicio de probabilidad por favor:
Gracias de antemano, saludos !!
Buenas Antonio,
el espacio mostral son todas las combinaciones de los dos dados: { 1-1, 1-2, 1-3, ...., 2-1, 2-2, 2-3, ...., 6-4, 6-5, 6-6}. Estas son las combinaciones posibles, sumadas dan 6*6=36.
Sin embargo, solo nos interesan aquellas donde el primer número sea mayor que es segundo. Por lo tanto, cuando el primer dado es 1, no es posible, cuando el primer dado es 2, tan solo la combinación 2-1 nos interesa, cuando el primer dado es 3 nos interesa las combinaciones 3-2 y 3-1. Si nos fijamos, esto da la siguiente suma:
0+1+2+3+4+5 = 15
Por lo tanto, por el teorema de Laplace, la Pr(X>Y) = 15/36 = 5/12
Pd: Si nos dieran un dado de n caras, entonces Pr(X>Y) = ∑ {0, 1, 2, ... , n-1}.
Otro problema que no sé hacer
Hace 3 años la edad de Miquel era el doble que la de su hermana Ana de aqui a 7 años será 4/3 de los que tenga Ana. Que edad tienen actualmente los dos hermanos?
Como se haría paso a paso este problema?
Mari ha comprado un abrigo que estaba rebajado un 15%. Jorge ha comprado otro abrigo de 25 e más caro pero consigue una rebaja del 20% y solo paga 8 e. mas que Mari. Cual era el precio original de cada abrigo?
Cómo es un triángulo equilátero la distancia:AB=BC=AC
Entonces sacas la distancia (AB)=6. Y después planteas el sistema:
√(x²+y²)=6------>x²+y²=36
√{(x-6)²+y²}=6---->(x-6)²+y²=36
Resuelves el sistema y te dan las soluciones:
P1(3,3*√3) y Q(3,-3*√3)
Entonces tienes que C=P o C=Q. Teniendo dos posibles vertices.
Espero haberte ayudado
¿Alguien podría ayudarme con econometría e investigación operativa relacionado con la universidad? :D
El gerente de una compañía ha calculado que los costes de producción (en euros) de un determinado producto vienen dados por lasiguiente expresión C(x)=x2+20x+40000 donde x representa el número de unidades producidas. Por otra parte, cada unidad sevende al público a un precio de 520 €.
a) Expresar, en función del número de artículos producidos x, el beneficio y representarlo gráficamente.
b) ¿Cuántas unidades hay que producir para que el beneficio sea máximo? ¿Cuál es ese beneficio?
ALGUIEN ME PUEDE AYUDAR A RESOLVER ESTE PROBLEMA POR FAVOR, ES QUE ME CUESTA MUCHO REALIZAR LOS PROBLEMA Y SOBRE TODO HABLANDO DE FUNCIONES, GRACIAS A QUIEN ME AYUDE. AYUDADME POR FAVOR

Observa que la variable independiente x es la cantidad de unidades vendidas, y observa que tienes al euro como unidad monetaria.
Luego, tienes la expresión de la función costo:
C(x) = x2 + 20x + 40000.
Luego, puedes plantear la expresión de la recaudación (observa que tienes el precio de venta de cada unidad):
R(x) = 520*x.
Luego, puedes plantear la expresión de la función beneficio como la resta entre la expresión de la función recaudación y la expresión de la función costo:
B(x) = R(x) - C(x), sustituyes expresiones, y queda:
B(x) = 520*x - (x2 + 20x + 40000), distribuyes en el segundo término, y queda:
B(x) = 520*x - x2 - 20x - 40000, reduces términos semejantes, y queda:
B(x) = -x2 + 500*x - 40000, que es la expresión de la función beneficio.
Luego, planteas la expresión de la función derivada del beneficio, y queda:
B ' (x) = -2x + 500.
Luego, planteas la condición de valor crítico (posible máximo o posible mínimo):
B ' (x) = 0, sustituyes la expresión de la función derivada en el primer miembro, y queda:
-2x + 500 = 0, divides en todos los términos de la ecuación por -2, y queda:
x - 250 = 0, sumas 250 en ambos miembros, y queda:
x = 250, que es el valor crítico para la cantidad de unidades vendidas.
Luego, evalúas para este valor, para otro valor menor que él y para otro valor mayor que él, y queda:
B(249) = -2492 + 500*249 - 40000 = -62001 + 124500 - 40000 = 22499 euros,
B(250) = -2502 + 500*250 - 40000 = -62500 + 125000 - 40000 = 22500 euros,
B(251) = -2512 + 500*251 - 40000 = -63001 + 125500 - 40000 = 22499 euros;
y puedes concluir que el beneficio máximo se obtiene al vender 250 unidades, y es 22500 euros.
Espero haberte ayudado.
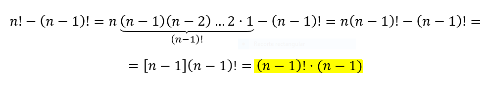
Buenos días, alguien que me eche una mano... no recuerdo como se saca factor común de permutaciones... tal como estas -> 6! + 8! o bien 12! + 9!.
Me lia mucho las que tienen n como este -> n! - (n -1)!
Muchísimas gracias!!
Buenas tardes,
a ver si me podéis ayudar con este problema
La concentración de unfármaco en sangre viene dado por C(t) = a. (0,94)t
donde C(t) es la concentración del fármaco en sangre (en miligramos/litro) que tiene el paciente pasadas t horas de su administración, a es la dosis inicial administrada (en miligramos/litro) y t es el tiempo transcurrido desdsde la administración. Se pide,
a) Si al paciente le han administrado 100 miligramos/litro de un fármaco, ¿qué cantidad de este fármaco tiene el paciente en sangre pasadas dos horas?
b) Si para que este fármaco tenga efecto, su concentración en sangre no puede bajar de 60 mg/l ¿al cabo de cuánto tiempo tendremos que volver a administrarlo de nuevo? (Nota: Para resolver utilizar logaritmos decimales y los valores de log10 (6) = (0,77815) y log10 (94) = 1,97313).
Lo estoy intentando pero la verdad es que toda ayuda es de agradecer porque la b no sé cómo enfocarla.
Gracias!!
a) C(t) = a* (0.94)t
Para a=100 y t=2 tenemos que:
C(2) = 100* (0.94)2
C(2)= 88.36 mg/L tendrá en la sangre el paciente pasadas las dos horas si la dosis inicial es de 100 mg/L
b) Suponiendo que la dosis inicial siga siendo de 100 mg/L tendremos que resolver esta igualdad:
100* (0.94)t =60
(0.94)t =60/100
(94/100)t = 6/10
log(94/100)t = log(6/10)
t*log(94/100) = log(6/10)
t= (log(6/10))÷(log(94/100))
t= (log6-log10)÷(log94-log100)
t= (0.77815-1)÷(1.97313-2)
t= (-0.22185)÷(-0.02687)
t≈ 8.25 horas ≈ 8 horas y cuarto tendrán que pasar para tener que volver a administrarlo nuevamente.
¿Alguien puede decirme si esta bien? Muchisimas gracias!! :))
Comprobar el teorema de Green calculando la integral de C ∫ ysenx dx + (x+y-1) dy, siendo C la curva formada por las gráficas de las funciones y = senx, y = cosx, entre los dos primeros puntos de corte positivos.
P(x,y) = y · senx ∂P/∂y (x,y) = senx
Q(x,y) = x + y -1 ∂Q/∂x (x,y) = 1
∫ ∫ ( 1 - senx) dx dy (ambas integrales entre los dos primeros puntos de corte, 5π/4 punto final y π/4 punto inicial)
Me sale 5,43

¡Hola! Nos encantaría ayudarte, pero no solemos responder dudas universitarias que no tengan que ver específicamente con los vídeos que David Calle ha grabado como excepción. O de otras asignaturas que no sean Matemáticas, Física y Química. Lo sentimos de corazón… Esperamos que lo entiendas.
Ojalá algún unicoo universitario se anime a ayudarte (de hecho, lo ideal es que todos los universitarios intentarais ayudaros los unos a los otros).

Vienes muy bien con el planteo, observa que las funciones P y Q, la región limitada por las gráficas, y la trayectoria que la limita cumplen con las hipótesis de Teorema de Green.
Luego, has aplicado el teorema, y quedó la integral doble:
π/4∫5π/4cosx∫senx (1 - senx)*dy*dx = π/4∫5π/4 [ y + senx*y ] * dx =
evalúas con Regla de Barrow para la variable y, y queda:
= π/4∫5π/4 ( ( senx + sen2x ) - ( cosx + senx*cosx ) )*dx =
distribuyes el segundo termino del argumento de la integral, y queda:
= π/4∫5π/4 ( senx + sen2x - cosx - senx*cosx )*dx =
aplicas la identidad trigonométrica del cuadrado del seno de un ángulo en función del coseno del doble del ángulo en el segundo término del argumento, y queda:
= π/4∫5π/4 ( senx + 1/2 - (1/2)cos(2x) - cosx - senx*cosx )*dx =
integras término a término, observa que debes aplicar el Método de Sustitución (Cambio de Variable) en el tercero y en el quinto término, y queda:
= [ -cosx + (1/2)x - (1/4)sen(2x) - senx - (1/2)sen2x ] =
evalúas con Regla de Barrow entre x1 = π/4 y x1 = 5π/4, y queda:
= ( √(2)/2 + 5π/8 - 1/4 + √(2)/2 - 1/4 ) - ( -√(2)/2 + π/8 - 1/4 - √(2)/2 - 1/4 ) =
reduces términos semejantes en los agrupamientos, y queda:
= ( √(2) + 5π/8 - 1/2 ) - ( -√(2) + π/8 - 1/2 ) =
distribuyes los dos agrupamientos de términos, y queda:
= √(2) + 5π/8 - 1/2 + √(2) - π/8 + 1/2 =
reduces términos semejantes (observa que tienes cancelaciones), y queda:
= 2√(2) + π/2 ≅ 4,399.
Espero haberte ayudado.