Foro de preguntas y respuestas de Matemáticas

logo beUnicoos
Los foros de unicoos se han unificado en nuestra nueva plataforma beUnicoos. Para dejar nuevas preguntas deberás hacerlo allí, donde además podrás encontrar nuevas asignaturas y herramientas para ayudarte más con tus estudios.

  • icon

    carmela
    el 15/2/18

    la he hecho bien?

    replythumb_up0 voto/sflag
    icon

    César
    el 15/2/18

    Casi , casi por un detallito



    thumb_up0 voto/sflag
  • icon

    Esther
    el 15/2/18

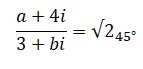
    Buenos días. Alguien podría hacerme el favor de resolver este problema de números complejos? Muchísimas gracias

    El ejercicio pide calcular a y b para que se cumpla la igualdad dada


    replythumb_up0 voto/sflag
    icon

    Antonius Benedictus
    el 15/2/18


    thumb_up1 voto/sflag
    icon

    Esther
    el 15/2/18

    Muchas gracias Antonio, tus respuestas con siempre de gran ayuda

    thumb_up1 voto/sflag
  • icon

    carmela
    el 15/2/18

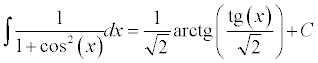
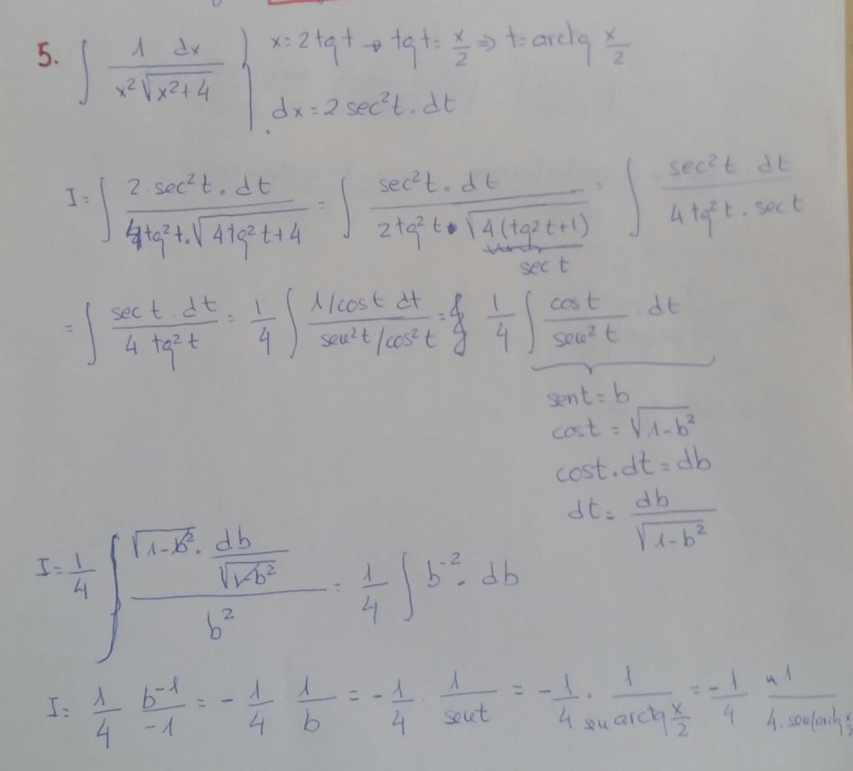
    Hola unicoos. Al deshacer el cambio en una integral por sustitucion llego al resultado de abajo. Lo que no entiendo es por qué el seno de la arcotangente de x/2 da ese resultado

    replythumb_up0 voto/sflag
    icon

    Antonius Benedictus
    el 15/2/18

    Pon foto del enunciado original para ver de dónde sale todo esto.

    thumb_up0 voto/sflag
    icon

    carmela
    el 15/2/18


    thumb_up0 voto/sflag
    icon

    Antonius Benedictus
    el 15/2/18


    thumb_up0 voto/sflag
    icon

    carmela
    el 15/2/18

    Mil gracias Antonio

    thumb_up1 voto/sflag
  • icon

    Natacha
    el 15/2/18

    No sé como hacer este problema, lo he intentado varias veces...


    replythumb_up0 voto/sflag
    icon

    Antonius Benedictus
    el 15/2/18

    Intenta tú lo demás:


    thumb_up0 voto/sflag
  • icon

    Manoli Gómez
    el 15/2/18

    Hola a todos! Estoy con este problema que no sé por dónde cogerlo y lo he intentando de varias formas pero..que no veo manera:

    Un estudio de a policía rfleja que el número de robos en viviendas por año decrece según la función del tipo N (t) = A - B log(t+2). sabemos que en el año 2000 que es cuando se inició el estudio el número de robos fue 520, y que en el año 2003 fueron 476:

    1. determina A y B
    2. ¿cuántos robos se esperan en el año 2020?    

    muchísimas gracias por la ayuda que me podáis aportar.

    :)


    replythumb_up0 voto/sflag
    icon

    Antonius Benedictus
    el 15/2/18

    Una aclaración, Manoli. ¿Consideramos el logaritmo decimal o neperiano?

    thumb_up1 voto/sflag
    icon

    Manoli Gómez
    el 16/2/18

    Decimal. Gracias.


    thumb_up0 voto/sflag
  • icon

    arieel
    el 15/2/18

    Hola,  como puedo resolver este problema.

    La diferencia entre la quinta parte del anterior numero y uno es igual a  cinco.

    replythumb_up0 voto/sflag
    icon

    Francisco
    el 15/2/18

    (x-1).(1/5)-1=5

    Prueba con eso


    thumb_up1 voto/sflag
  • icon

    Jonatan Menna
    el 15/2/18

    Buenas noches, necesito ayuda con el inciso "b" Muchas gracias por su tiempo!

    replythumb_up0 voto/sflag
    icon

    Antonius Benedictus
    el 15/2/18


    thumb_up1 voto/sflag
  • icon

    havefails
    el 14/2/18

    Me pueden resolver   (-8-2x)/(8x-x^2)^2=0 ? Porfavor

    replythumb_up0 voto/sflag
    icon

    Guillem De La Calle Vicente
    el 14/2/18


    thumb_up2 voto/sflag
    icon

    havefails
    el 14/2/18

    :D

    thumb_up0 voto/sflag