Foro de preguntas y respuestas de Matemáticas

logo beUnicoos
Los foros de unicoos se han unificado en nuestra nueva plataforma beUnicoos. Para dejar nuevas preguntas deberás hacerlo allí, donde además podrás encontrar nuevas asignaturas y herramientas para ayudarte más con tus estudios.

  • icon

    Pablo Gallego
    el 14/2/18

    Bueno veo que han respondido todas las preguntas excepto la mía, por favor les agradecería mucho que me ayudaran con este problema acerca de inecuaciones de segundo grado:


    Un artesano elabora moldes para hacer figuras de metal. En cada diseño tiene que hacer el modelo, 2 moldes y 10 figuras como mínimo que son para exposición en tiendas y no se van a vender. ¿Cuántas figuras tiene que fabricar para que el coste total de cada una de las que vende no supere los 35€?

    Datos:

    - Coste del modelo: 200€

    - Coste  molde: 75€ cada uno

    - Coste fabricación figura: 30€ cada una

    replythumb_up0 voto/sflag
    icon

    Guillem De La Calle Vicente
    el 14/2/18


    thumb_up3 voto/sflag
    icon

    Pablo Gallego
    el 15/2/18

    Muchas graciaaas

    thumb_up0 voto/sflag
  • icon

    Andrea Angel
    el 14/2/18

    Tengo una duda con este ejemplo de expresiones con exponente, el ejercicio (a);

    ¿Porqué cuando tengo  (2a³b²) (27a³b¹²) no puedo hacer la distributiva? ¿cuándo tengo que agrupar términos semejantes y cuándo no? Muchas gracias

    replythumb_up0 voto/sflag
    icon

    César
    el 14/2/18

    (2a³b²) (27a³b¹²)  es un producto  54(a6b14

    si fuera   (2a³b²)+ (27a³b¹²)=a³b²(2+27b10 )



    thumb_up1 voto/sflag
    icon

    Andrea Angel
    el 14/2/18

    Gracias cesar, ahora entiendo!

    thumb_up0 voto/sflag
  • icon

    Apuntes Clase
    el 14/2/18

    Buenas tardes, 

    mi pregunta va acerca de subespacios vectoriales , y esque me piden hallar base de este subespacio , pero al tener letras y numeros , me hago un lio! mil gracias

    replythumb_up0 voto/sflag
    icon

    Antonius Benedictus
    el 14/2/18

    Foto del enunciado original, por favor.

    thumb_up1 voto/sflag
  • icon

    Andrea Angel
    el 14/2/18

    Hola , quisisera saber si el siguiente ejercicio esta bien resuelto o necesita corregirse, muchas gracias

    replythumb_up0 voto/sflag
    icon

    Antonius Benedictus
    el 14/2/18

    perfecto

    thumb_up1 voto/sflag
    icon

    Andrea Angel
    el 14/2/18

    gracias!


    thumb_up1 voto/sflag
  • Usuario eliminado
    el 14/2/18

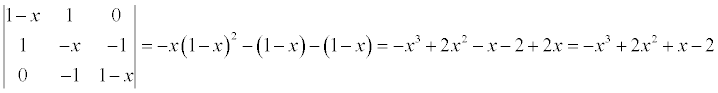
    Necesito el determinante

    1-x       1        0

    1          -x       -1

    0          -1       1-x


    (1-x)*(-x)*(1-x) - (1-x)*(1-x)              -x^3 +x^2 +x -1      Hay un error pero no se donde esta

    replythumb_up0 voto/sflag
    icon

    César
    el 14/2/18



    thumb_up0 voto/sflag
    icon

    Ángel
    el 14/2/18

    El error está en que el último término del determinante SE RESTA, NO SE MULTIPLICA


    Tu solución:  (1-x)*(-x)*(1-x) - (1-x) * (1-x) 

    SOLUCIÓN:  

                           (1-x)*(-x)*(1-x) - (1-x)  - (1-x)  =             (-x+x2)*(1-x) - 1+x - (1-x)  =  (-x+x2+x2-x3) - 1+x -1+x = -x3 +2x2+x-2

    thumb_up0 voto/sflag
  • icon

    Ashley
    el 14/2/18

    Hola, me hago un lio haciendo la segunda derivada de -2x / ( 1+x^2 )^2, me podeis ayudar?? Gracias

    replythumb_up0 voto/sflag
    icon

    César
    el 14/2/18

    solo es aplicar el método Ashley

    pon lo que has hecho y mirate bien los videos


    thumb_up0 voto/sflag
  • icon

    Luz
    el 14/2/18

    Hola, tengo una duda, y creo que es una duda conceptual. Cuando tengo que analizar el intervalo de convergencia de una serie, lo primero que uso es el criterio de D´alambert (para resolverla no tengo problema), lo que no entiendo es porque se aplica las barras de módulo.

    Alguien me podría explicar porque se aplica barras de módulo. Dejo un ejemplo por las dudas

    Muchas gracias


    replythumb_up0 voto/sflag
    icon

    Antonius Benedictus
    el 14/2/18

    (x-2)^n  no se pone en la fórmula del radio de convergencia.

    Se pone valor absoluto para garantizar la convergencia absoluta en caso de que la sucesión base no sea de términos positivos.

    thumb_up1 voto/sflag
  • icon

    Ashley
    el 14/2/18

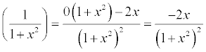
    Hola, me podeis ayudar a hacer la segunda derivada de 1 / 1+x2  porfavor. Gracias

    replythumb_up0 voto/sflag
    icon

    César
    el 14/2/18



    thumb_up0 voto/sflag
  • icon

    Diego
    el 14/2/18

    buenas, alguien sabe como se resuelve este problema? me podrían ayudar...

    Calcular el volumen del sólido limitado superiormente por la superficie x² + y² + z² = 4 e inferiormente por el cono de amplitud п/4 , vértice en el origen y el eje z.

    gracias.

    replythumb_up0 voto/sflag
    icon

    César
    el 14/2/18

    Este es identico pero con  x² + y² + z² = 16


    thumb_up1 voto/sflag