Foro de preguntas y respuestas de Matemáticas

logo beUnicoos
Los foros de unicoos se han unificado en nuestra nueva plataforma beUnicoos. Para dejar nuevas preguntas deberás hacerlo allí, donde además podrás encontrar nuevas asignaturas y herramientas para ayudarte más con tus estudios.

  • icon

    Angel Garcia Curela
    el 8/2/18

     como resuelvo este limite? 

    replythumb_up0 voto/sflag
    icon

    Antonius Benedictus
    el 9/2/18

    thumb_up0 voto/sflag
    icon

    Angel Garcia Curela
    el 9/2/18

    que propiedad  es la que uso para cambiar  - infinito a infinito? 

    thumb_up0 voto/sflag
    icon

    Antonius Benedictus
    el 9/2/18


    thumb_up0 voto/sflag
  • icon

    Juan Ignacio Barranco
    el 8/2/18

    Buenas tardes a todos , me preguntaba si alguien podría ayudarme con la resolución del siguiente límite :

    lim            [cotg (x)]/[1/x] , usando regla de L'Hospital. Muchas gracias. 

    x→0+     


    replythumb_up0 voto/sflag
    icon

    Antonio Silvio Palmitano
    el 8/2/18

    Observa que el lìmite es indeterminado, ya que el numerador (N) tienede a cero y el denominador (D) tiende a cero.

    Luego, derivas el numerador y el denominador por separado, y quedan:

    N ' = -1/sen2x,

    D ' = -1/x2.

    Luego, tienes el lìmite de tu enunciado:

    L = Lím(x→0+) cotg(x)/(1/x), aplicas la Regla de L'Hôpital, y queda:

    L = Lím(x→0+) (-1/sen2x)/(-1/x2), resuelves la división de expresiones en el argumento, y queda:

    L = Lím(x→0+) x2/sen2x (1);

    y observa que el numerador (N1) tienede a cero y que el denominador (D1) tiened a cero.

    Luego, derivas el numerador y el denominador por separado, y quedan:

    N1 ' = 2*x,

    D1 ' = 2*senx*cosx.

    Luego, tienes el lìmite señalado (1):

    L = Lím(x→0+) x2/sen2x,

    aplicas la Regla de L'Hôpital, y queda:

    L = Lím(x→0+) (2*x)/(2*senx*cosx), simplificas en el argumento, y queda:

    L = Lím(x→0+) x/(senx*cosx) (2);

    y observa que el numerador (N2) tienede a cero y que el denominador (D2) tiened a cero.

    Luego, derivas el numerador y el denominador por separado, y quedan:

    N2 ' = 1,

    D2 ' = cosx*cosx + senx*(-senx) = cos2x - sen2x.

    Luego, tienes el lìmite señalado (2):

    L = Lím(x→0+)1/(cos2x - sen2x) = 1,

    porque el numerador es igual a 1 y el denominador tiende a 1.

    Espero haberte ayudado.

    thumb_up0 voto/sflag
    icon

    Juan Ignacio Barranco
    el 9/2/18

    Te agradezco de verdad Antonio por tu tiempo, excelente explicación.

    thumb_up0 voto/sflag
  • Usuario eliminado
    el 8/2/18

     Alguien sabe como expresar esto como una integral? 

    replythumb_up0 voto/sflag
    icon

    Antonius Benedictus
    el 9/2/18


    thumb_up0 voto/sflag
  • icon

    Angel Garcia Curela
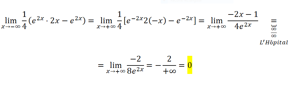
    el 8/2/18

    como resuelvo este limite? 

    replythumb_up0 voto/sflag
    icon

    Antonius Benedictus
    el 9/2/18

    El factor e^(2x)  tiende a 0. el factor trigonométrico está acotado y el denominador es una constante positiva. Por tanto, el límite vale 0.

    thumb_up0 voto/sflag
    icon

    Angel Garcia Curela
    el 9/2/18

    No entiendo eso de que esta acotado el factor trigonometrico. Me podria explicar? pues el coseno no tiene valores al infinito. 

    thumb_up0 voto/sflag
    icon

    Antonius Benedictus
    el 9/2/18

    El seno y el coseno de cualquier ángulo tienen valores comprendidos entre  -1 y 1.

    thumb_up0 voto/sflag
    icon

    Angel Garcia Curela
    el 9/2/18

    pero para realizar el limite no hay que colocar su valor exacto? 

    thumb_up0 voto/sflag
    icon

    Antonius Benedictus
    el 9/2/18


    thumb_up0 voto/sflag
  • icon

    Javier García
    el 8/2/18

    Si no he hecho mal el ejercicio , para sacar la última ecuación sería  integrando e igualando 1 y quedaría : (2A+B)-(A-B) = 1/2 ??




    replythumb_up0 voto/sflag
    icon

    Antonius Benedictus
    el 9/2/18


    thumb_up1 voto/sflag
  • icon

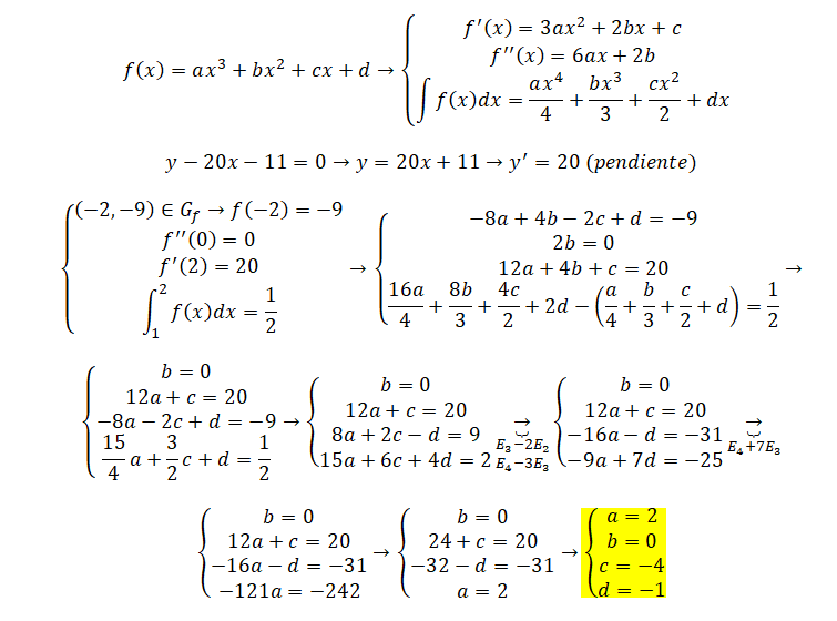
    Angel Garcia Curela
    el 8/2/18

     que metodo puedo utilizar para realizar esta integral? 

    replythumb_up0 voto/sflag
    icon

    Antonius Benedictus
    el 8/2/18


    thumb_up0 voto/sflag
    icon

    Angel Garcia Curela
    el 8/2/18

     Me quedo de esta forma y no se me ocurre que otra cosa puedo hacer para resolverla 

    thumb_up0 voto/sflag
    icon

    Antonius Benedictus
    el 9/2/18


    thumb_up0 voto/sflag
  • icon

    Vivi
    el 8/2/18

     Me ayudan con el tema 5

    replythumb_up0 voto/sflag
    icon

    Antonius Benedictus
    el 8/2/18

    Como no sé de qué repertorio teórico dispones, te mando una resolución básica:


    thumb_up0 voto/sflag
  • icon

    laura
    el 8/2/18

    Hola , el ejercicio que comente antes era este , el uno . Gracias

    replythumb_up0 voto/sflag
    icon

    Antonius Benedictus
    el 8/2/18


    thumb_up1 voto/sflag
  • icon

    laura
    el 8/2/18

     Hola,que debo de hacer si me dice que para unos valores , compruebe que si la funcion es decreciente en su dominio? Gracias


    replythumb_up0 voto/sflag
    icon

    Guillem De La Calle Vicente
    el 8/2/18

    Pon el ejercicio y nos lo miramos.

    Saludos.

    thumb_up1 voto/sflag
  • icon

    andres velasquez
    el 8/2/18

    buenas tardes, hay alguna forma de saber cuantas veces tengo que sumar un numero para llegar a conocer su potencia.
    Me explico mejor con un ejemplo:
    8 3   =  512  = 8 x 8 x 8 = 64  veces 8

    ese 64   seria el que yo quisiera averiguar, se que la potencia de  ( Be-1   )  daria el numero de veces que debo sumar la base para que me de la siguiente potencia, pero quisiera saber si hay una forma de hallar ese valor sin realizar una pontencia.


    replythumb_up0 voto/sflag
    icon

    César
    el 8/2/18

    Pues me temo que no. Es la forma más secilla de hacerlo.

    thumb_up1 voto/sflag