Hola! alguien sabe como realizar este tipo de ejercicios ? o hay algún vídeo en unicoos que lo explique? No sé cómo realizarlos, gracias!

¡Hola! Nos encantaría ayudarte, pero no solemos responder dudas universitarias que no tengan que ver específicamente con los vídeos que David Calle ha grabado como excepción. O de otras asignaturas que no sean Matemáticas, Física y Química. Lo sentimos de corazón… Esperamos que lo entiendas.
Ojalá algún unicoo universitario se anime a ayudarte (de hecho, lo ideal es que todos los universitarios intentarais ayudaros los unos a los otros).
Vemos que las posibles respuestas están en gramos, así que pasemos a gramos todos los componentes de la crema preparada por el farmacéutico y las sumamos:
500.08 ± 0.02
10.00 ± 0.02
0.5 ± 0.0002 +
0.326 ± 0.0002
---------------------------
510.9060± 0.0404 gramos <------- Opción d
Hola,
necesito ayuda para resolver este ejercicio de números complejos, el planteamiento que hago al resolverlo creo que es correcto pero cuando despejo "a" y "b" me hago un lio:
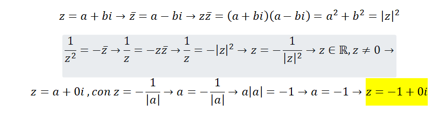
-Calcular los números complejos z que verifican 1 / (Z2 )= - (conjugado de Z)
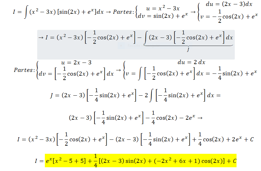
Hola buenos días, tengo una integral por partes que no se como resolverla, si alguien pudiese ayudarme, esta es la solución que debe de darme, en teoría pero no se si estará bien. SOLUCIÓN: 1/5 · e2x · (2 cos x + sen x) + C
INTEGRAL (por partes) : ∫ (X2 - 3X) · ( sen (2x) + ex ) dx
Gracias de ante mano.
Hola buenos días, tengo estos tres ejercicios y no tengo ni idea de como hacerlo, me podrías ayudar? muchas gracias
Ejercicio 2
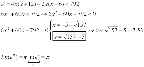
Sabemos que el ortoedro tiene 6 caras y 12 aristas (2 por cada cara) y que la suma de las áreas de sus caras es menos de 792cm2.
(x+6cm)2 + x2cm+ (x+12cm)2= -792cm2
El área del ortoedro se calcula: A = 2(a · b + a · h + b · h), en este caso: A=2(x*(x+12)*(x+6))= -792cm2
Ya no se seguir
En el sur de España se concentran la mayoría de los terremotos que se han producido en nuestro país. En concreto, te ofrecemos los datos de dos seísmos que han tenido lugar en la comunidad de andaluza.
¿Cuántas veces es más grande la amplitud de onda del terremoto de Dúrcal respecto al terremoto de Frailes?
Pista:
tendrías que calcular el cociente ![]()
Para hallar la amplitud de onda de un terremoto respecto a otro tenemos que averiguar qué número elevado a 10 da 7 en el primer caso y en el segundo qué número elevado a 10 da 3,8.
A= 107 = 1000000000
B=103,8 = 6309.57
107 / 103,8 = 103,2 = 1584,89
A)
Ejercicio 3
El resultado de esta operación es un número racional ya que se puede expresar como un cociente.
( – 5i) – ( – 5i) = ( - ) – (5i – 5i) = – ( 0i) = () = () = ½ ó 0,50
B) El resultado es un número real racional porque se puede expresar como cociente.
Ln(eπ)= No sé cómo hacerlo ni con calculadora, solo sé que Ln es un logaritmo, la e es 2.718281 y π es 3,1416 = Ln(2,7183,1416)= Log10= 23,141 =1,36 ó 136/100
Hola.
¿Por qué el siguiente límite no existe? ¿Cuál es la condición para que un límite no exista, si aunque salga infinito existe y se dice que tiende a infinito?
lim cuando x->0 de ((sen x)^(x^2))/(x^x)
Gracias.
Un saludo.