Buenas tardes,
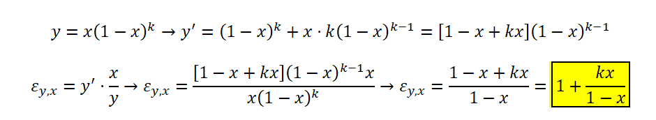
Dada la función: y=x(1-x)k donde k pertenece a los números reales. Necesito calcular la expresión de la elasticidad de y respecto de x, εy,x
Muchas gracias,
Buenas tardes de nuevo unicoos después de que un únicoo me resolviese una duda esta tarde en mi último repaso me ha surgido otra de un ejercicio que no había visto:
¿Cómo puedo calcular cualquier término general de una sucesión o progresión? .Por ejemplo:
Halla el término general de las progresiones aritméticas:
a) 10, 8, 6, 4, 2, …
b) 5, 2, -1, -4, …
c) -21, -10, 1, 12, …
Una pregunta al calcular la ecuación de un plano obtengo la misma expresión que la del solucionario pero cambiada de signos. ¿Serían equivalentes? Es decir, ¿estaría bien resuelto?
Hola una paregunta de análisis numerico
Tengo que determinar el número de subintervalos n de modo que la regla del trapecio compuesta de el valor de una integral (que está entre 0 y 1) .
Mi pregunta es la siguiente: cuando tengo que evaluar en la fórmula (del trapecio compuesta), en la parte de la derivada segunda, ¿qué evalúo?. El valor más alto en el gráfico de esos puntos o el menor.
Por ejemplo, me da que a derivada segunda en 0 = -2 y la derivada segunda en 1 = 0,7358. ¿Cuál de los dos pongo?
Si me pueden ayudar se los agradecería

¡Hola! Nos encantaría ayudarte, pero no solemos responder dudas universitarias que no tengan que ver específicamente con los vídeos que David Calle ha grabado como excepción. O de otras asignaturas que no sean Matemáticas, Física y Química. Lo sentimos de corazón… Esperamos que lo entiendas.
Ojalá algún unicoo universitario se anime a ayudarte (de hecho, lo ideal es que todos los universitarios intentarais ayudaros los unos a los otros).
Buenísimo Ángel. Pero claro, no se qué me conviene en este caso digamos.
Para cuando tengo que calcular n me conviene usar el máximo valor en el gráfico
Y para cuando tengo que calcular el error el mínimo valor en el gráfico.
O es indistinto y puedo usar cualquier valor que esté entre el intervalo y listo?
¿No te dan ninguna función a integrar? Manda el enunciado original.
Fundamentalmente lo que tienes que hacer es determinar el valor de n con la teoría que te adjunté arriba, con ese "n" que es el número de intervalos calcularás por ejemplo si n=3 en 1, 4/3, 5/3 y 2 ; trazar trapecios con lineas que salen perpendicularmente del eje x y se prolongan hasta el trazado de la función en cuestión. Hallas todas las áreas de los trapecios (en este caso 3) y las sumas.
Si fuera n=4 , tendrias 1, 5/4, 3/2, 7/4, 2 ⇔ a ∨ b (en la fórmula)

Para que la función sea continua en x=0, el límite por la izquierda y el límite por la derecha han de coincidir. De resultas de lo cual, se obtiene a=1.
Par que la función sea también continua en x=pi, el límite por la izquierda y el límite por la derecha han de coincidir, y ya usamos que a=1. Obtenemos que b=-2.