Foro de preguntas y respuestas de Matemáticas

logo beUnicoos
Los foros de unicoos se han unificado en nuestra nueva plataforma beUnicoos. Para dejar nuevas preguntas deberás hacerlo allí, donde además podrás encontrar nuevas asignaturas y herramientas para ayudarte más con tus estudios.

  • icon

    Diego Schwindt
    el 18/12/17

    De nuevo, otro problema. Hallar la ecuación de una parábola cuyo punto máximo está en y=16, una de sus raíces es -8 y no tengo termino independiente. Muchas gracias!!!!

    replythumb_up0 voto/sflag
    icon

    César
    el 18/12/17


    thumb_up0 voto/sflag
  • icon

    GEMA ORTIZ DÍAZ
    el 18/12/17

    Como lo hago???  El ejercicio 4

    replythumb_up0 voto/sflag
    icon

    Antonius Benedictus
    el 18/12/17


    thumb_up0 voto/sflag
  • icon

    Leandro Ríos
    el 18/12/17

    Buenas tardes! espero que se encuentren bien, necesito una ayuda con este ejercicio, la pregunta que me tiene dudando puntualmente es la primera, de hallar los valores de k para que la base tenga una cierta dimensión, si alguien me puede echar una mano con una orientación o realizando esa pregunta se lo agradecería mucho. Muchísimas gracias! 

    replythumb_up0 voto/sflag
    icon

    Antonius Benedictus
    el 18/12/17


    thumb_up0 voto/sflag
  • icon

    jaime
    el 17/12/17

    Alguien me puede ayudar con esto?

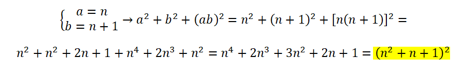
    Demuestra que si a y b son dos números enteros consecutivos, entonces a^2 + b^2 + (a b)^2 es un cuadrado perfecto.


    replythumb_up0 voto/sflag
    icon

    Antonius Benedictus
    el 18/12/17


    thumb_up1 voto/sflag
  • icon

    Héctor
    el 17/12/17

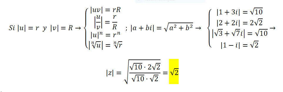
    Ayudadme por favor, con este ejercicio de números complejos


    replythumb_up0 voto/sflag
    icon

    Guillem De La Calle Vicente
    el 17/12/17


    thumb_up0 voto/sflag
    icon

    Héctor
    el 18/12/17

    muchísimas gracias 😀 😁

    thumb_up0 voto/sflag
    icon

    Antonius Benedictus
    el 18/12/17


    thumb_up1 voto/sflag
  • icon

    jaime
    el 17/12/17

    alguien me ayuda con esto?

    Encuentra la base del logaritmo en la que el logaritmo de 100 excede al logaritmo de 25 en 2 unidades.

    replythumb_up0 voto/sflag
    icon

    Antonius Benedictus
    el 18/12/17


    thumb_up0 voto/sflag
  • icon

    sabrina
    el 17/12/17

    Hola, hay vídeos sobre problemas/planteo de funciones logarítmicas y exponenciales?

    replythumb_up0 voto/sflag
  • icon

    Diego Schwindt
    el 17/12/17

    Buenas tardes, tengo el siguiente ejercicio. Cuál es la expresión polinómica de una parábola que corta al eje x en 2 y -2, si se sabe además que pasa por el punto p (+1,1). Gracias!!!

    replythumb_up0 voto/sflag
    icon

    Antonius Benedictus
    el 17/12/17


    thumb_up0 voto/sflag
  • Usuario eliminado
    el 17/12/17

    a) Determinante=-1, son base de R3

    b) 2/3, 1/3, -5/9

    c) 2-k2=k1  k3=-1+k2  k2=k2

    replythumb_up0 voto/sflag
    icon

    Antonius Benedictus
    el 17/12/17


    thumb_up0 voto/sflag
  • icon

    Santi
    el 17/12/17

    Buenas, alguien me podría ayudar con este problema?

    Al medir la longitud de una calle, obtuvimos 1 500 m, con un error absoluto menor que 2 m. Al medir la altura de una habitación,

    obtuvimos 2.80 m, con un error absoluto menor que 2 cm. ¿Qué medida se hizo con más precisión?

    replythumb_up0 voto/sflag
    icon

    Antonius Benedictus
    el 17/12/17

    https://www.youtube.com/watch?v=5cmpf8FNX2c

    thumb_up0 voto/sflag