Foro de preguntas y respuestas de Matemáticas

logo beUnicoos
Los foros de unicoos se han unificado en nuestra nueva plataforma beUnicoos. Para dejar nuevas preguntas deberás hacerlo allí, donde además podrás encontrar nuevas asignaturas y herramientas para ayudarte más con tus estudios.

  • icon

    Sergio Hueso
    el 13/12/17

    Como se realizaría una ecuación logarítmica con raíz cuadrada ??

    Gracias .

    Un Saludo.

    replythumb_up0 voto/sflag
    icon

    Ángel
    el 14/12/17


    Ahí te van 3 ejemplos, si dudas en algo nos comentas.

    thumb_up1 voto/sflag
    icon

    Sergio Hueso
    el 14/12/17

    Muchisimas Gracias , por supuesto que me ha servido

    thumb_up0 voto/sflag
  • icon

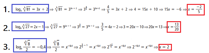
    Cristian Alvarez
    el 13/12/17

    Buenas tengos estos 2 ejerciciso alguien me puede ayudar en el ejercicio 6 solo me pide simplificar pero no se como empezar por los puntos que estan ahi intente hacerlo con lo de sucesiones y conjunto de soluciones del algebra de baldor pero no llego al resultado alguien podria ayudarme en ese ejercicio por favor... y en el otro de calcular el valor de X la verdad no tengo idea de como hacerlo intente sacando factor comun y luego sumar terminos semejantes y demas pero ni asi llego al resultado que pide  el resultado tiene que ser un numero del 1 al 5 porque esta en opcion multiple y debo escoger a) 1 b) 2 c) 3 d)4 e) 5 pero no llego a ninguno de esos resultados por favor ayudenme



    replythumb_up0 voto/sflag
    icon

    Ángel
    el 14/12/17

    MCD(A,B,C)=432

    Por definición sabemos que MCD está compuesto por los factores primos comunes con el menor exponente de los números A,B y C;                  

    estos factores son 22x y 33, entonces;

    22x*33=432

    22x=432/(33)

    22x=432/27

    22x=16

    22x=24

    22x=24

    2x=4

    x=2


    thumb_up0 voto/sflag
  • icon

    Armando Fiorini
    el 13/12/17

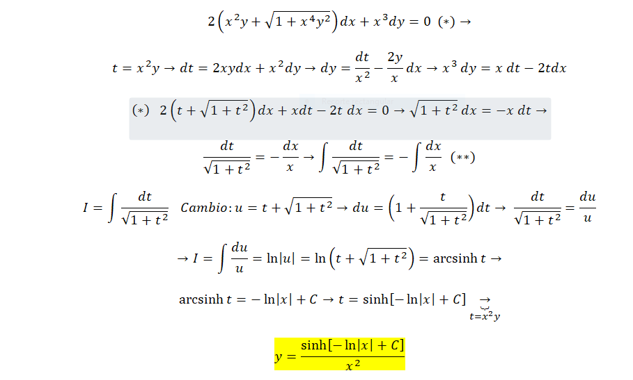
     buenas, de que tipo es esta ecuacion diferencial? solo necesito el tipo y yo la intento resolver gracias de antemano !!!

    replythumb_up0 voto/sflag
    icon

    Antonius Benedictus
    el 14/12/17


    thumb_up0 voto/sflag
    icon

    Armando Fiorini
    el 14/12/17

    wow muchas gracias profe, me tranque porque estaba haciendo el cambio t=xy, de nuevo muchas gracias por tomarse su tiempo para ayudar a todos aquellos que queremos aprender, no hay manera de agradecerlo 

    thumb_up1 voto/sflag
  • icon

    Matias Ifran
    el 13/12/17

    I)En un grafo regular de n nodos, ¿cuáles son los posibles números de vértices y respectivos grados para que las aristas sean exactamente 6? Dibuja.

    II) Demuestra que un árbol dirigido, el grado negativo de la raíz es 0.

    III)Sea  T  un  árbol  con  raíz  con 30  vértices  internos,  y  donde  cada  uno  de  ellos  tiene  grado  positivo  4.¿Cuántas arcos tiene T? ¿Cuántos vértices tiene T? ¿Cuántas hojas tiene T?


    replythumb_up0 voto/sflag
    icon

    Ángel
    el 13/12/17


    thumb_up1 voto/sflag
    icon

    Ángel
    el 13/12/17


    thumb_up1 voto/sflag
  • icon

    Ángel
    el 13/12/17

    ¿    "p es verdadera y s es falsa"  y f(ℤ)=ℕ   ?

    replythumb_up0 voto/sflag
    icon

    Guillem De La Calle Vicente
    el 13/12/17

    - p es verdadera y s es falsa

    la p es cierta, así que p, q y s son falsas no puede ser.

    En la s, y=x+1, por tanto es falsa.

    Y por tanto s y r son verdaderas no puede ser. 

    Y la correcta es p es verdadera y s es falsa.

    thumb_up1 voto/sflag
  • icon

    Héctor
    el 13/12/17

    ayuda por favor con esta relacion


    replythumb_up0 voto/sflag
    icon

    Antonius Benedictus
    el 13/12/17


    thumb_up0 voto/sflag
  • icon

    Ángel
    el 13/12/17

    ¿Las soluciones son "de equivalencia" y "1" ?


    replythumb_up0 voto/sflag
    icon

    Antonius Benedictus
    el 13/12/17


    thumb_up1 voto/sflag
    icon

    Antonius Benedictus
    el 13/12/17


    thumb_up1 voto/sflag
  • icon

    Elena Martín
    el 13/12/17

    Hola, ¿alguien me podría ayudar con este Límite?


    replythumb_up0 voto/sflag
    icon

    Matias Ifran
    el 13/12/17


    thumb_up1 voto/sflag
  • Usuario eliminado
    el 13/12/17

    Tengo que hacer la inversa de esto

    1/ Raiz 2          0            1/raiz 2

    1/Raiz 2           0           -1/raiz 2

    0                       1             0


    {\displaystyle {\sqrt {\ }}}

    replythumb_up0 voto/sflag
  • icon

    Florencia Rivero
    el 13/12/17

    Hola buenas tardes, alguien me ayuda con la A y la B? No me salen :( desde ya gracias (ignoren lo rojo)

    replythumb_up0 voto/sflag
    icon

    Matias Ifran
    el 13/12/17

    Dominio de (x-2)2*(x+3) = (-∞ ; ∞) 

    Imagen de (x-2)2*(x+3) = (-∞ ; ∞)  

    Intersección de (x-2)2*(x+3) en eje X = (2 ; 0) y (-3 ; 0) 

    Intersección de (x-2)2*(x+3) en eje Y = (0;12) Esto se saca igualando a X=0, entonces queda y=(0-2)2 *(0+3)

    No tiene asintotas verticales ni horizontales.

    Puntos extremos en (x-2)2*(x+3) = Maximo: (-4/3 ; 500/27) Minimo: (2 ; 0)

    thumb_up1 voto/sflag