Foro de preguntas y respuestas de Matemáticas

logo beUnicoos
Los foros de unicoos se han unificado en nuestra nueva plataforma beUnicoos. Para dejar nuevas preguntas deberás hacerlo allí, donde además podrás encontrar nuevas asignaturas y herramientas para ayudarte más con tus estudios.

  • icon

    ANTONIA
    el 13/12/17

    hola  no entiendo estos temas 

    1. estaditics unidimisional.

    2. recta de regresón.

    3. calculo de probolidadedes.

    4. distribución dinominal.

    esto essial gue lo intiende y npara el profesor .

    replythumb_up0 voto/sflag
    icon

    Ángel
    el 13/12/17

    icon

    César
    el 13/12/17

  • icon

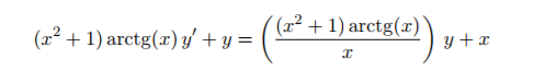
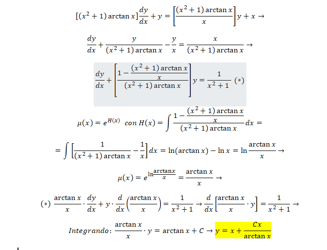
    Alejandro
    el 13/12/17

    Necesito ayuda con esta ecuación diferencial, con decirme que método usar o que pasos a seguir sería suficiente. Muchas gracias de antemano.



    replythumb_up0 voto/sflag
    icon

    Antonius Benedictus
    el 14/12/17


    thumb_up0 voto/sflag
  • icon

    Paula Beatriz
    el 13/12/17

    Hola, pordeis ayudarme con un problema de optimización?

    una lata de conservas, de forma cilíndrica, debe tener una capacidad de 500 ml. Determina sus dimensiones para que la cantidad de chapa utilizada sea mínima.


    replythumb_up0 voto/sflag
    icon

    Ángel
    el 13/12/17







    Cambia el dato de 1000cm^3 por 500cm^3 para adaptarlo a tu ejercicio.

    thumb_up0 voto/sflag
    icon

    César
    el 13/12/17


    thumb_up0 voto/sflag
  • icon

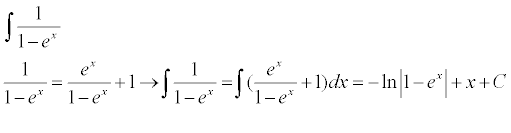
    lbp_14
    el 13/12/17

    Alguien me ayuda con esta integral. Me he quedado ahí 

    Gracias


    replythumb_up0 voto/sflag
    icon

    César
    el 13/12/17


    thumb_up0 voto/sflag
  • icon

    Manuel
    el 13/12/17

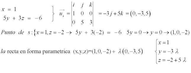
    hola. tengo una recta s: x = 1                  , y tengo que un punto de la recta s: tiene la forma ( 1,  -3 -3t,  3 + 5t).

                                            5y + 3z = -6   


    Mi pregunta es, ¿como obtengo el punto de s? porque de la forma en que me dan la recta s no se pasarla a parametrica o continua...  

    replythumb_up0 voto/sflag
    icon

    César
    el 13/12/17


    thumb_up0 voto/sflag
    icon

    Manuel
    el 13/12/17

    como ha sacado el valor de z=-2? simplemente ha despejado z obviando al 5y?

    thumb_up0 voto/sflag
  • icon

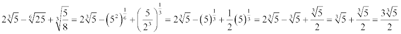
    Laura
    el 13/12/17

    Como se haria esta operacion:

    2∛5 - 6√25 + ∛5⁄8

    replythumb_up0 voto/sflag
    icon

    César
    el 13/12/17


    thumb_up1 voto/sflag
  • icon

    Juanjo
    el 13/12/17

    El 1. no tengo hecho pero no se si estará bien, si alguien me puede indicar como es y el 2 no sé a que se refiere

    replythumb_up0 voto/sflag
    icon

    Ángel
    el 13/12/17

    No has subido ninguna imagen.

    thumb_up0 voto/sflag
    icon

    Juanjo
    el 13/12/17


    thumb_up0 voto/sflag
  • icon

    lbp_14
    el 13/12/17

    Alguien me puede enviar graficado por geogebra u otra aplicación estas tres rectas en una gráfica? 

    Muchas gracias 

    y= 1 

    y= x²+2x+2

    y=6x-2

    replythumb_up0 voto/sflag
    icon

    Ángel
    el 13/12/17


    thumb_up1 voto/sflag
    icon

    lbp_14
    el 13/12/17

    Muchas gracias!

    Podrías ponermela hasta el punto 10 de abcisas ? Quiero verla un poco más prolongada 

    thumb_up0 voto/sflag
    icon

    Ángel
    el 13/12/17


    thumb_up1 voto/sflag
  • icon

    Erick Zambrana
    el 13/12/17


    ayuda xfas

    replythumb_up0 voto/sflag
    icon

    César
    el 13/12/17


    thumb_up0 voto/sflag
    icon

    Ángel
    el 13/12/17

    Población P después de t años:

    P(t)=112000*1.04t


    P(14)=112000*1.0414= 193948

    P(14) < 200000 < P(15)

    P(15)=112000*1.0415=  201706

    Concluimos que se llega a 200000 después de que hayan pasado casi 15 años:   1998+15= 2013 es el año.

    thumb_up0 voto/sflag
  • icon

    carmela
    el 13/12/17

    Hola. Cómo puedo resolver esta ecuación sin utilizar rufinni?

    replythumb_up0 voto/sflag
    icon

    Antonius Benedictus
    el 13/12/17

    Como si fuese bicuadrada:


    thumb_up0 voto/sflag
    icon

    carmela
    el 13/12/17

    Mil gracias Antonio.


    thumb_up1 voto/sflag