Foro de preguntas y respuestas de Matemáticas

logo beUnicoos
Los foros de unicoos se han unificado en nuestra nueva plataforma beUnicoos. Para dejar nuevas preguntas deberás hacerlo allí, donde además podrás encontrar nuevas asignaturas y herramientas para ayudarte más con tus estudios.

  • icon

    Diego Schwindt
    el 13/12/17

    Hola buenas tardes, tengo un problema para graficar está función. Muchas gracias

    replythumb_up0 voto/sflag
    icon

    Ángel
    el 13/12/17


    thumb_up1 voto/sflag
  • icon

    Jose
    el 13/12/17

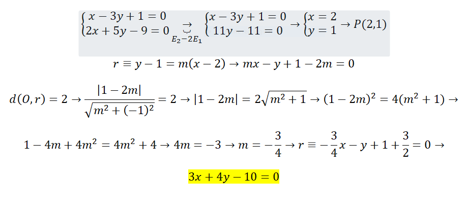
    Hola me puede ayudar? el resultado de la Recta tangente me dio Y= x+1


    replythumb_up0 voto/sflag
    icon

    gonzalezlbl
    el 13/12/17

    Haciendo la derivación implícita:         2x y + x2 y' - sen(x) Ln(y) + [cos(x) / y] y' - 3 ex y (y + x y') + 0 = 0

    Evaluando en (0;1) :                               2•0•1 + 02 y' - sen(0) Ln(1) + [cos(0) / 1] y' - 3 e0 . 1 (1+ 0 y') = 0

                                                                        0    +    0    -      0 • 0       + [ 1/1] • y' - 3 • 1 • (1 + 0) = 0

                                                                                                                                                        y' = 3    este es el valor de la pendiente de la recta tangente.

    Sustituyendo en la ecuación de la recta: y - yo = m (x - xo)       donde  m es la pendiente,       (xo ; yo) es un punto de la recta.

    Recta tangente:         y - 1 = 3 (x-0)       →       y = 3x + 1


    thumb_up0 voto/sflag
  • icon

    Alex
    el 13/12/17

    Buenas, tengo un problema que me esta costando un poco de sacar, es el siguiente:

    Tienes 100 euros y debes gastarlo en 100 animales y que haya uno de cada allo menos.

    Un burro vale 1 euro.

    Un camello vale 5 euros.

    20 cabras valen 1 euro.


    Muchas gracias de antemano. 

    replythumb_up0 voto/sflag
    icon

    Ángel
    el 13/12/17

    Restricciones

    94 burros como máximo, 1 camello, 1-5 burros =  99.2-100 euros

    19 camellos como máximo, 1-4 burros, 1-80 cabras =  96.2 -100 euros

    1800 cabras como máximo, un camello, 1-5 burros = 96-100 euros


    Para gastar 100 euros compra:

    94 burros, 1 camello, 5 burros  ó

    19 camellos, 4 burros, 20 cabras ó

    1800 cabras, 1 camello, 5 burros 

    thumb_up0 voto/sflag
  • icon

    gabriela
    el 12/12/17

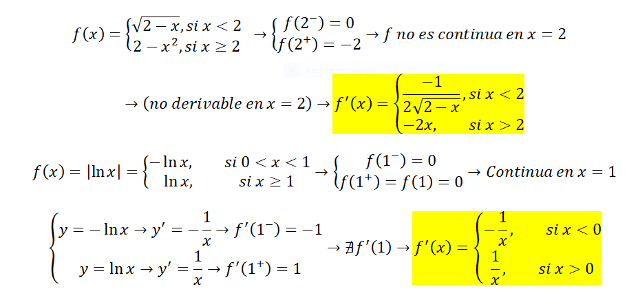
    Ïcuales son las propiedades que puedo usar en una funcion por partes y en valor absoluto?

    replythumb_up0 voto/sflag
    icon

    Antonius Benedictus
    el 13/12/17


    thumb_up0 voto/sflag
  • icon

    gabriela
    el 12/12/17

    Para la función  x cos(-2x + 4) aplico regla de la cadena derivando uno por uno o aplico regla del producto? lo hice de las dos formas y no me da lo mismo. Con la regla de la cadena me da:

    cos2 (-2x + 4). 2.cos (-2x + 4). sen  (-2x + 4) y con la regla del producto me da : cos2 (-2x + 4) + 4x cos (-2x + 4) sen  (-2x + 4)

    replythumb_up0 voto/sflag
    icon

    Ángel
    el 12/12/17

    Tienes que utilizar la regla de la cadena "dentro" de la regla del producto para derivar la función compuesta coseno.

    f(x)=  x cos(-2x + 4) 

    f´(x)= 1. (cos2 (-2x + 4) )   +   x .( 2.cos (-2x + 4). -sen (-2x + 4) . (-2) )

    thumb_up0 voto/sflag
  • icon

    Freenzy
    el 12/12/17

    Hola, ¿alguien podría resolverme este enunciado?. Mi profesor me lo ha puesto en un examen y debía hacerlo sin calculadora, aun sigo intentando resolver y no lo logro.

    Si alguien me lo desarrolla y lo soluciona, se lo agradecería.


    replythumb_up0 voto/sflag
    icon

    Antonio
    el 12/12/17

    El dominio es ℛ-{0} pues en todos estos puntos existe imagen

    El recorrido:

    Calcularé la función inversa

    y=-7+1/x+3x/4

    4xy=-28x+4+3x2

    -3x2 +(4y+28)x-4=0

    x=(-(4y+28)±√((4y+28)2-4(-3)(-4)))/-6=...

    y ahora su dominio:

    para ello el discriminante será: (4y+28)2-4(-3)(-4) = 16y2+224y+784-48 = 16y2+224y+736

    y calculando cuando éste será negativo, y por lo tanto no existe imagen:

    16y2+224y+736<0

    y=(-224±√(2242-4·16·736))/32 = (-224±√(3072))/32 = = (-224±55.42)/32 => -5.26 ^ -8.73

    por lo tanto, el recorrido es (-∞,-8.73)U(-5.26,+) 

    Asíntotas:

    Horizontal: No tiene, pues el límite es +∞ y -∞ en x= +∞ y -∞ respectivamente

    Vertical: en x=0 pues el límite en x=0 es infinito

    Oblicua:

    como el límite al tender a  infinito de y/x es 3/4 y el de y-3/4x es-7 entonces sería:

    y=3/4x -7

    Continuidad: Es continua en su dominio, presentando en x=0  una discontinuidad de salto infinito, debido a que el límite en este punto es infinito


    thumb_up0 voto/sflag
  • icon

    Sergio Morantes
    el 12/12/17

    gracias a ustedes gente linda gente bella gente hermosa, creo que he pasado la habilitacion de calculo, se los agradezco muchisimoooo.


    replythumb_up1 voto/sflag
    icon

    Antonius Benedictus
    el 12/12/17

    Gracias y enhorabuena!

    thumb_up0 voto/sflag
  • icon

    ElDelaxar
    el 12/12/17

    las opciones B de la 23 y 24 no me salen, podrian ayudarme por favor.


    replythumb_up0 voto/sflag
  • icon

    Vivi
    el 12/12/17

     Me ayudan con el numero 8  

    replythumb_up0 voto/sflag
    icon

    Antonius Benedictus
    el 13/12/17


    thumb_up0 voto/sflag
  • icon

    Héctor
    el 12/12/17

    ayuda por favor


    replythumb_up0 voto/sflag
    icon

    Ángel
    el 12/12/17

    √(1-|x|)*(x5-x3) < 0

    √(1-|x|)*x3*(x+1)*(x-1) < 0                                                    

    Observa que debido a √(1-|x|) , los posibles valores de x se restringen a [-1,1] y se descartan el -1, el cero y el 1 por hacerlo igual a cero (y no menor)

    Por ahora tenemos como posibles valores (-1,0)U(0,1), sustituyamos un valor entre -1 y 0 en  √(1-|x|)*(x5-x3)    y otro valor entre 0 y 1 en esta misma para ver si se cumple en alguna/s o ninguna la condición inicial que impone la desigualdad inicial de que sea menor que cero:

    √(1-|x|)*(x5-x3) en x= -0.5   es positivo....  , entonces es falso

    √(1-|x|)*(x5-x3) en x= 0.5   es  negativo....  , entonces es verdadero      --------->  Concluimos que (a;b)=(0;1)  y que a*b=0*1=0 <---Opción A


    thumb_up0 voto/sflag
    icon

    Antonius Benedictus
    el 12/12/17


    thumb_up0 voto/sflag