Foro de preguntas y respuestas de Matemáticas

logo beUnicoos
Los foros de unicoos se han unificado en nuestra nueva plataforma beUnicoos. Para dejar nuevas preguntas deberás hacerlo allí, donde además podrás encontrar nuevas asignaturas y herramientas para ayudarte más con tus estudios.

  • icon

    Miriam
    el 27/11/17

    Hola tengo una duda con este ejercicio. Calcula el volumen de una esfera que circunscribe a un cilindro de 1 dm de altura y 1dm de diámetro de la base. Otra duda es como calculo la generatriz de un cono. Gracias de antemano 


    replythumb_up0 voto/sflag
    icon

    Antonius Benedictus
    el 27/11/17

    Por Pitágoras, R^2=(0.5)^2+(0.5)^2

    R^2=0.5

    R=sqrt(0.5)

    V=(4/3)pi*R^3

    Pon tu calculadora a trabajar.

    thumb_up0 voto/sflag
  • icon

    Livaldo Ocanto
    el 27/11/17

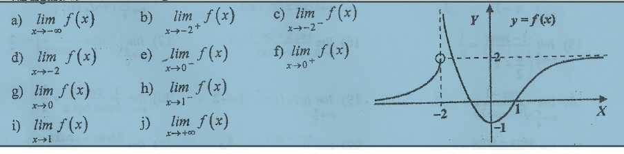
        Cuando el limite tiende a -2 por la izquierda, el limite se va hacia el infinito? igual con el -2 por la derecha.

    Y cuando tiene a 0 por izquierda y derecha, el limite es igual a -1 y que ocurre cuando tiene a 1 por ambos lados, estoy confudido

    replythumb_up0 voto/sflag
    icon

    Antonius Benedictus
    el 27/11/17

    En x=-2, el límite por la izquierda vale 2 y el límite por la derecha vale +inf.

    En x=0, ambos límites valen -1  y también f(0)=-1. la función es continua en x=0.

    thumb_up0 voto/sflag
  • icon

    Nuria
    el 27/11/17

    Hola, ¿Hay algún video en el que se explique la derivación implicita? 


    replythumb_up0 voto/sflag
    icon

    Antonius Benedictus
    el 27/11/17

    icon

    Nuria
    el 27/11/17

    Muchisimas gracias 

    thumb_up1 voto/sflag
  • Usuario eliminado
    el 27/11/17

    Alguien me podría ayudar a resolver este ejercicion de álgebra:

    Gracias!!


    replythumb_up0 voto/sflag
    icon

    Antonius Benedictus
    el 27/11/17


    thumb_up1 voto/sflag
  • icon

    Majda Yahya
    el 27/11/17

    Hola buenas tardes, me gustaría que alguien me ayudara a analizar este ejercicio, para poder resolverlo.

    replythumb_up0 voto/sflag
    icon

    Antonio
    el 27/11/17

    programación lineal 

    la solución sería 5 litros del preparado M y nada del otro

    thumb_up0 voto/sflag
    icon

    Antonius Benedictus
    el 27/11/17


    thumb_up0 voto/sflag
  • icon

    Marisol Gómez
    el 27/11/17

    Buenas tardes,

    El número 1´1͡6 ¿es nº decimal semiperiódico o nº decimal periódico mixto?

    Gracias, saludos,

    replythumb_up0 voto/sflag
    icon

    César
    el 27/11/17

    nº decimal periódico mixto



    thumb_up0 voto/sflag
  • icon

    Miriam Terrada
    el 27/11/17

    HOLA, estoy como loca buscando ejercicios de ecuaciones, sistemas y no encuentro nada por internet por casualidad ustedes no sabran de alguna página.

    PD: Si es posible con las soluciones para ver si las hago adecuadamente .

    PD2: Y por últimos hay algún video explicando Gaess??

    replythumb_up0 voto/sflag
    icon

    César
    el 27/11/17

    icon

    Miriam Terrada
    el 27/11/17

    Gracias César, pero a lo que me refiero es si usted sabe pág con ejercicios para poder practicar... Y lo de "Gaess" me referia ha Gauss. Perdone las molestias.

    thumb_up0 voto/sflag
  • icon

    Irune
    el 27/11/17

    Como se ordenan las fracciones

    replythumb_up0 voto/sflag
    icon

    César
    el 27/11/17

    Pues como te digan hacerlo , de menor a mayor o viceversa


    thumb_up0 voto/sflag
  • icon

    Cristina Cris Silka
    el 27/11/17

    Hola, me podrían controlar estos ejercicios de estadísticas, por favor.

    Indica, para cada caso propuesto:

    • Cuál es la población.

    • Cuál es la variable.

    • Tipo de variable: cualitativa, cuantitativa discreta

    o cuantitativa continua.

    a) Peso de los recién nacidos en Murcia a lo largo del año pasado.

    b) Profesiones que quieren tener los estudiantes de un centro escolar.

    c) Número de animales de compañía que hay en los hogares españoles.

    d) Partido al que los electores pueden votar en las próximas elecciones generales.

    e) Tiempo semanal que dedican a la lectura los estudiantes de la ESO en España.

    f ) Número de tarjetas amarillas mostradas en los partidos de fútbol de 1.ª división en la temporada pasada.


    Como lo hice fue:

    a) Población: recién nacidos                          Variable: recién nacidos en Murcia, el año pasado                                           Tipo de variable: cuantitativa, continua.

    b) Población: profesiones                                   Variable: estudiantes de un centro escolar                                                        Tipo de variable: cualitativa.

    c) Población: animales de compañía                 Variable: animales en hogares españoles                                                        Tipo de variable: cuantitativa, discreta.

    d) Población: partidos                                           Variable: electores                                                                                                  Tipo de variable: cualitativa.

    e) Población: tiempo nacional                             Variable: estudiantes de la ESO de España                                                    Tipo de variables: cuantitativa, continua. 

    f) Población: n° de tarjetas amarillas                  Variable; mostradas en división de temporada pasada                             Tipo de variables: cuantitativa, discreta.



    replythumb_up0 voto/sflag
    icon

    Antonio
    el 27/11/17

    Recuerda:

    Población es a quién preguntamos

    Variable es lo que nos contestan

    a) Peso de los recién nacidos en Murcia a lo largo del año pasado.

    Población: recién nacidos en Murcia a lo largo del año pasado

    Variable: Peso de los recién nacidos en Murcia a lo largo del año pasado.

    Tipo de variable: cuantitativa, continua.

    b) Profesiones que quieren tener los estudiantes de un centro escolar.

    Población: los estudiantes de un centro escolar.

     Variable: Profesiones que quieren tener los estudiantes de un centro escolar.

     Tipo de variable: cualitativa.

    c) Número de animales de compañía que hay en los hogares españoles.

    Población: hogares españoles.

    Variable:  Número de animales de compañía que hay en los hogares españoles.

    Tipo de variable: cuantitativa, discreta.

    d) Partido al que los electores pueden votar en las próximas elecciones generales.

    Población: electores pueden votar en las próximas elecciones generales.

    Variable: Partido

    Tipo de variable: cualitativa.

    e) Tiempo semanal que dedican a la lectura los estudiantes de la ESO en España.

    Población: estudiantes de la ESO en España.

    Variable: Tiempo semanal

    Tipo de variables: cuantitativa, continua. 

    f) Número de tarjetas amarillas mostradas en los partidos de fútbol de 1.ª división en la temporada pasada.

    Población:  los partidos de fútbol de 1.ª división en la temporada pasada.      Variable: Número de tarjetas amarillas                      

    Tipo de variables: cuantitativa, discreta.


    thumb_up1 voto/sflag
    icon

    Cristina Cris Silka
    el 27/11/17

    muchas gracias!!!

    thumb_up0 voto/sflag