Foro de preguntas y respuestas de Matemáticas

logo beUnicoos
Los foros de unicoos se han unificado en nuestra nueva plataforma beUnicoos. Para dejar nuevas preguntas deberás hacerlo allí, donde además podrás encontrar nuevas asignaturas y herramientas para ayudarte más con tus estudios.

  • icon

    Patty Guerrero
    el 26/11/17

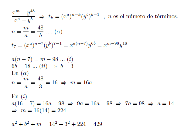
    Buenas Tardes , necesito ayuda con el ejercicio


    replythumb_up0 voto/sflag
    icon

    Ángel
    el 27/11/17

    Cambio de variable:   t=logx2187= logx37

     t2-14t+49=0  ------>  (t-7)2=0   ----------> t=7log337


    Entonces se tiene que cumplir que t=7=logx37   ⇔ log337=logx3⇔ log337=logx37   x=3


    thumb_up1 voto/sflag
    icon

    Lit
    el 27/11/17

    Angel, 

    Sabes como comunicarte conmigo. Escribeme por favor. 

    R.C 

    thumb_up0 voto/sflag
  • icon

    Renzo Riguetti
    el 26/11/17

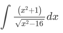
    Buenaas a todos, alguien me ayuda? se resuelve por sustitucion trigonometrica, mañana tengo parcial uu se los agradezco de antemano

    replythumb_up0 voto/sflag
    icon

    Livaldo Ocanto
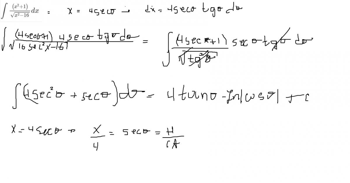
    el 27/11/17


    thumb_up0 voto/sflag
    icon

    Renzo Riguetti
    el 27/11/17

    Graacias bro pero una consulta, arriba no seria el (4sec (tetha))^2 ? y otra, como eliminaste los 16 de abajo que estan dentro de la raiz? para que te quede solo tg^2

    thumb_up0 voto/sflag
    icon

    Livaldo Ocanto
    el 27/11/17

    Pues el 4 sale de la integral, y recuerda que el 16 sale como factor comun cierto? Luego separas por propiedades de raizes, te quedaria la raiz de 16 por la raiz de lo otro, entonces la raiz de 16 es 4, y se cancela con el 4 del numerador

    thumb_up0 voto/sflag
  • icon

    Arnau Tardío
    el 26/11/17

    alguien me puede explicar como de hacen operaciones de álgebra tipo: 3x + 2y - 4z



    replythumb_up0 voto/sflag
    icon

    Guillem De La Calle Vicente
    el 26/11/17

    En este ejemplo tuyo no se puede hacer ninguna operación.

    Saludos.

    thumb_up0 voto/sflag
  • icon

    Cristina Iglesias
    el 26/11/17



    alguien m lo puede hacer gracias 

    replythumb_up0 voto/sflag
    icon

    Guillem De La Calle Vicente
    el 26/11/17

    2a) Un sistema de ecuaciones lineales es compatible si y solo si el rango del sistema coincide con el rango de su matriz de coeficientes. En caso de ser compatible, el sistema tiene número de grados de libertad igual a la diferencia entre el número de incógnitas y el rango del sistema.

    thumb_up0 voto/sflag
    icon

    Guillem De La Calle Vicente
    el 26/11/17


    thumb_up0 voto/sflag
    icon

    Cristina Iglesias
    el 27/11/17

    entonces al ser alfa = 0 no tiene solución ya no se hace cramer no? 


    thumb_up0 voto/sflag
  • icon

    Aleja Carmen
    el 26/11/17

    Hola Unicoos , me podrian ayudar con el ejercicio , gracias 


    replythumb_up0 voto/sflag
    icon

    Neofito 007
    el 27/11/17


    thumb_up1 voto/sflag
  • icon

    Bruno
    el 26/11/17

    me ayudan con el siguiente problema


    El subconjunto de todos los vectores de la forma (1,t,2t) donde t es un numero real.


    no le entiendo lo intente y me dio que era subespacio vectorial y fui a las respuestas y no es un subespacio vectorial.

    si tambien tienen un link donde explica mas este tema me ayudaria mucho.


    replythumb_up0 voto/sflag
    icon

    Antonius Benedictus
    el 27/11/17

    El vector (0,0,0) no se puede escribir de esa forma, por lo que no pertenece al  subconjunto. Y esto es un motivo suficiente para que no sea un subespacio vectorial.

    thumb_up0 voto/sflag
  • icon

    Patty Guerrero
    el 26/11/17

    Hola , alguien que me ayude con el ejercicio gracias de antemano


    replythumb_up0 voto/sflag
    icon

    Neofito 007
    el 26/11/17


    thumb_up0 voto/sflag