Hola, alguien me podría ayudar a resolver este ejercicio:
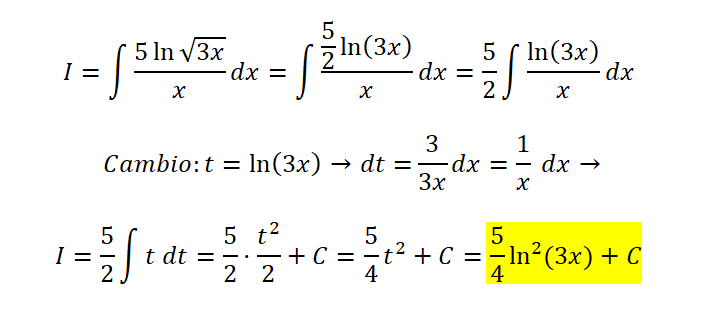
El gerente de producción de una fábrica estima que la vida útil de una máquina es una variable aleatoria distribuida normalmente con una media de 3000 horas. Si además considera que hay una prob. 0,5 de que la máquina dure menos de 2632 o más de 3368 horas. ¿Cuál es el desvío de la duración de dicha máquina?
El resultado es 541 horas
Gracias!
Hola! Me podriais ayudar a entender el enunciado de los problemas inversos? Soy incapaz de descifrar que signo tengo que poner, si mayor o menor... Gracias de antemano!
Por ejemplo en este:
Les notes d'un examen es distribueixen normalment amb mitjana 7.5 i desviació típica 1.5. Sabem què es puntuà al 15% dels alumnes amb excelent i a l 10% amb Suspès Calcula:
A) puntiació mínima per aprovar
B) puntuació mínima per obtenir excelent


¡Hola! Nos encantaría ayudarte, pero no solemos responder dudas universitarias que no tengan que ver específicamente con los vídeos que David Calle ha grabado como excepción. O de otras asignaturas que no sean Matemáticas, Física y Química. Lo sentimos de corazón… Esperamos que lo entiendas.
Ojalá algún unicoo universitario se anime a ayudarte (de hecho, lo ideal es que todos los universitarios intentarais ayudaros los unos a los otros).