Hola muy buenas tardes, En este ejercicio me piden hallar la continuidad y dominio de la siguiente función, pero al decirme si x es racional y x no es racional, no sabría por donde empezar, gracias.
como puedo despejar X de
(2x^3)-(9x^2)+(12x)-(2)=0
buenos días, me podrían explicar como resolver
-hallar todos los puntos sobre la curva (x^2)( y^3) - (x^3) -( y^3) = 1 , donde la recta tangente es horizontal

Vamos con na orientación.
Recuerda que las rectas paralelas al eje coordenado OX tienen pendiente nula, por lo que la condición para recta tangente horizontal es: y ' = 0.
Luego, derivas implícitamente con respecto a x en la ecuación de la curva (que define implícitamente a y como función de x), y queda:
2x*y3 + x2*3y2*y ' - 3x2 - 3y2*y ' = 0, reemplazas el valor remarcado, cancelas términos nulos, y queda:
2x*y3 - 3x2 = 0, extraes factor común, y queda:
x*(2y3 - 3x) = 0, luego, por anulación de un producto, tienes dos opciones:
1)
x = 0, reemplazas en la ecuación de la curva, cancelas términos nulos, y queda:
-y3 = 1, multiplicas en ambos miembros por -1, haces pasaje de potencia como raíz, y queda: y = -1,
por lo que tienes el punto: A(0,-1);
2)
2y3 - 3x = 0, haces pasaje de término, y queda:
-3x = -2y3, haces pasaje de factor como divisor, y queda: x = (2/3)y3 (1),
luego, sustituyes en la ecuación de la curva, y queda:
( (2/3)y3 )2*y3 - ( (2/3)y3 )3 - y3 = 1, resuelves factores literales en los términos, y queda:
(4/9)y9 - (8/27)y9 - y3 = 1, reduces términos semejantes, y queda
(4/27)y9 - y3 = 1, multiplicas por 27 en todos los términos de la ecuación, haces pasaje de término, y queda:
4y9 - 27y3 - 27 = 0, que es una ecuación polinómica de grado nueve,
y para resolverla puedes proponer la sustitución (cambio de incógnita): w = y3 (2),
luego sustituyes en la ecuación, y queda
4w3 - 27w - 27 = 0, que es una ecuación polinómica cúbica, y puedes aproximar sus soluciones por medio de la Fórmula de Cardano, para lo que dispones de un vídeo aquí en Unicoos.
Espero haberte ayudado

Vamos con una orientación.
Puedes demostrar por reducción al absurdo:
Supuesto Absurdo: log(m)/log(n) = x/y, con x e y números naturales (observa que al ser m y n mayores que uno, tienes que sus logaritmos son positivos, y el cociente entre ellos también lo es), y m y n son primos entre sí (o sea: m y n no comparten factores).
haces pasajes de divisores como factores en la ecuación remarcada, y queda:
y*log(m) = x*lon(n), aplicas la propiedad del logaritmo de una potencia en ambos miembros, y queda:
log(my) = log(nx), compones en ambos miembros con la función inversa del logaritmo, y queda:
my = nx, que es una identidad absurda,
porque al ser m y n primos entre sí no comparten factores,
y la expresión: my = m*m*...*m (que tiene y factores), y la expresión: nx = n*n*...*n (que tiene x factores),
son expresiones primas entre si, ya que sus factores son a su vez primos entre si.
Espero haberte ayudado.
buenas mi profesor explico tan rapido este contenido de área con rectangulos inscritos que prácticamente nadie entendio nada e intento hacer ejercicios pero desconosco el origen y el porque de algunas cosas como por ejemplos con este ejercicios calcule mediante le metodo de los rectángulos inscritos o circunscritos el area de la región cerrada por el grafico de F(x) -2x+10 a= 2 b=5 Respuesta 9
ayuda con
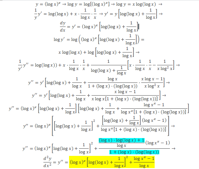
hallar (d^2 y)/(dx^2) (usando diferenciación logarítmica y la diferenciación implícita)
y=(ln x)^x

Vamos con una orientación.
Comienza por componer en ambos miembros con la función logarítmica nactural:
lny = ln( (lnx)x ), aplicas la propiedad del logaritmo de una potencia en el segundo miembro, y queda:
lny = x*ln(lnx),
luego, derivas implícitamente con respecto a x (observa que en el segundo miembro tienes un producto, y que para derivar su segundo factor debes emplear la regla de la cadena), y queda:
(1/y)*y ' = 1*ln(lnx) + x*(1/lnx)*(1/x), reduces expresiones, y queda:
y '/y = ln(lnx) + 1/lnx, escribes el último término como una potencia, y queda:
y '/y = ln(lnx) + (lnx)-1, haces pasaje de divisor como factor, y queda:
y ' = (ln(lnx) + (lnx)-1)*y (1);
luego, derivas con respecto a x (observa que tienes un producto, cuyo primer factor es una suma de dos términos, y observa que debes aplicar la regla de la cadena), y queda:
y ' ' = ( (1/lnx)*(1/x) - (lnx)-2*(1/x) )*y + (ln(lnx) + (lnx)-1)*y ';
y solo queda que sustituyas la expresión de la función derivada señalada (1) y la expresión de la función
Espero haberte ayudado.