Hola, tengo una duda con este ejercicio de optimizacion: "Se desea construir una ventana de 7m de perímetro y que tenga la forma de un rectángulo coronado por un semicírculo. ¿Qué dimensiones debe tener si se quiere que ella deje pasar la máxima claridad?" Yo lo hice de esta manera pero no estoy segura de si esta bien ya que mi profesor dijo que la base era 14/11 + π y la altura es 7/4 + π pero no he podido llegar a ese resultado![]()
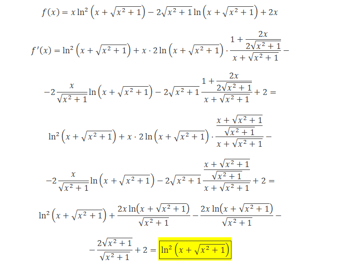
Alguien que pueda decirme como íntegro la función F (x) = [x^(a-1)] (1- x)^(b-1) con a,b y x mayores que cero

¡Hola! Nos encantaría ayudarte, pero no solemos responder dudas universitarias que no tengan que ver específicamente con los vídeos que David Calle ha grabado como excepción. O de otras asignaturas que no sean Matemáticas, Física y Química. Lo sentimos de corazón… Esperamos que lo entiendas.
Ojalá algún unicoo universitario se anime a ayudarte (de hecho, lo ideal es que todos los universitarios intentarais ayudaros los unos a los otros).
muchachos necesito ayuda con el siguiente punto porfa.
hallar la ecuacion de la parabola cuyo vertice esta sobre la recta 2y-3x=0, que su eje sea paralelo al de coordenadas x, y q pase por los puntos (3,5) y (6,-1)
se los agradeceria mucho si lo pueden resolver.

Vamos con una orientacion.
Puedes designar: V(h,k) al vertice de la parabola y, como pertenece a la recta, sustituyes sus coordenadas en la ecuacion correespondiente, y queda;
2k - 3h = 0 (1).
Luego, plantea la ecuacion cartesiana de la parabola:
(x-h)^2 = 4c(y-k);
y como tienes dos puntos que pertenecen a la parabola, reemplazas sus coordenadas en la ecuacion, y quedan:
(3-h)^2 = 4c(5-k) (2),
(6-h)^2 = 4c(-1-k)^2 (3).
Luego, solo queda que resuelvas el sistema formado por las ecuaciones señaladas (1) (2) (3).
Espero haberte ayudado.

Tiene razón el Colega Antonio, se me ha deslizado un error (más bien, un horror) al consignar la ecuación de la parábola con eje horizontal, que tiene la forma:
(y-k)2 = 4c(x-h),
y al reemplazar las coordenadas de los puntos conocidos que pertenecen, quedan las ecuaciones:
(5-k)2 = 4c(3-h) (2),
(-1-k)2 = 4c(6-h) (3).
Disculpa el inconveniente.
Cómo se hace sen(2x + 60= sen (x-60) ?? no nos da bien a nadie
sen(2x+60)=sen(x-60)
sen(2x+60) - sen(x-60)= 0
Identidad trigonométrica----> sen(s) - sen(t)= 2cos((s+t)/2)*sin((s-t)/2)
2cos(((2x+60)+(x-60))/2)*sin(((2x+60)-(x-60))/2)= 0
2*cos((3x)/2)*sin((x+120)/2)= 0
cos((3x)/2)*sin((x+120)/2)= 0/2
cos((3x)/2)*sin((x+120)/2)= 0
cos((3x)/2)=0 ∧ sin((x+120)/2)=0
cos((3x)/2)= 0 -----> cos((3x)/2)= cos(π/2) ∧ cos((3x)/2)= cos((3π/2) ------> (3x)/2= (π/2) ∧ (3x)/2= ((3π/2) ------> x= (π/3)+2πK ∧ x= π+2πK
sin((x+120)/2)= 0 ---------> Os la dejo de tarea
Representa la region determinada por el sistema de inecuaciones siguientes y escribe cinco soluciones del mismo.
-x+y mayor 0
3x+2y menor 5
Si me pueden ayudar gracias.