fog(3)=0 pues g(3)=-1 ^ f(-1)=(-1)2-1=0
gof(-2)=-1 pues f(-2)=(-2)2-1=4-1=3 ^ g(3)=-1
el apartado a es falso
f(0)=02-1=-1
f(3)=g(3)=-1
No es invisible pues f-1(-1) tendría dos imágenes
en x=3
f(3)=g(3)=-1
lim (x->3-) f = 32-1=8
lim (x->3+) f = lim (x->3+)g = g(3) (pues g es continua) = -1
f presenta discontinuidad de salto en x=3
en x=-2
f(-2)= (-2)2-1=3
lim (x->-2-) f = 3
lim (x->-2+) f = 3
f es continua en x=3
en x=5
f(5)= g(5)
lim (x->5-) f = lim (x->5-) g = g(5) pues g es continua
lim (x->5+) f = lim (x->5+) g = g(5) pues g es continua
f es continua en x=5
Tengo un problema de Probabilidades que no puedo resolver

Tienes el dato:
P(H/Q) = P(Q/H), aplicas la definición de probabilidad condicional y queda:
P(H.Q)/P(Q) = P(H.Q)/P(H), de donde puedes despejar: P(H) = P(Q) (1).
Tienes el dato:
P(H.Q/W) = P(W/H:Q), aplicas la definición de probabilidad condicional y queda:
P( (H.Q).W ) / P(W) = P( (H.Q).W ) / P(H.Q), de donde puedes despejar: P(H.Q) = P(W), reemplazas y queda: P(H.Q) = 0,3 (2).
Luego, plantea la probabilidad de la unión de los sucesos H y Q:
P(H ∪ Q) = P(H) + P(Q) - P(H.Q), sustituyes la expresiòn señalada (1), el valor señalado (2) y el valor del enunciado y queda:
0,7 = P(Q) + P(Q) - 0,3, haces pasaje de término, reduces términos semejantes y queda:
1 = 2*P(Q), haces pasaje de factor como divisor y queda:
0,5 = P(Q);
luego reemplazas en la ecuación señalada (1) y queda:
p(H) = 0,5.
Espero haberte ayudado.
Hola, buen día, alguien podría ayudarme con un problema de cambio de base, ya vi los vídeos que tienen del tema, pero no supe exactamente como resolver este ejercicio.
Gracias, les dejo la imagen del ejercicio.
si tengo este ejercicio sen3x+senx= 2sen2x*cosx lo hago de derecha a izquierda lo puedo realizar asi 2senx*cosx*cos= sen3x+senx
2senx*cos²x= sen3x+senx
2senx(1-sen²x)=sen3x+senx
2senx-2senx²=sen3x+senx
senx-sen²x=sen3x+senx de hay me enredo o estoy enredada

Consideremos que sen3x=senx+sen2x, y sabemos que sen(a+b)=senacosb + senb cosa,
sen3x+senx= 2sen2x*cosx
sen2x cosx + senx cos2x + senx = 2sen2x cosx
Sabemos que sen2x=2senxcosx, luego
2sencos²x + senx cos2x + senx=2senx cos²x
Simplificando, queda
senxcos2x + senx=0
senx(cos2x+1)=0
lo que ocurre en dos casos, si senx=0, luego x=0 rad ó x=π rad
el otro caso es que cos2x+1=0, entonces cos2x=-1, luego 2x=πrad, luego x=π/2 rad
Nos cuentas si hay algo que no sea claro

Digamos que necesitamos "x" baldosas tipo B, vemos que el area de una de ellas es de 5dm(2dm)=10dm², para cubrir una habitacion, el area cubierta pór este tipo de baldosas sera de 10x
Ahora bien, considerando las losetas tipo A, el area de una de ellas es 3dm(4dm)=12dm² y sabemos que para cubrir la misma habitacion necesitamos 40 menos que de las que necesitamos de tipo B, si de tipo B necesitamos x baldosas, en la A necesitaremos x-40
Luego, el area de habitacion sera de 12(x-40) igualamos esto con 10x, pues esta ultima expresion tambien equivale al area de la habitacion
12x-480=10x
-2x=-480
x=240
i.e. necesitamos 240 baldosas tipo B, ahora, como el area de la habitacion era 10x (tambien podriamos hacerlo con 12(x-40)), operamos
240(10)=2400 dm²
Hola unicoos,
me podrian decir cual es el fallo en mi tabla.
Muchisimas gracias.
El número de visitantes a cierta exposición durante el mes de febrero se incrementó en un 12% respecto al mes de enero. Sin embargo, en marzo sufrió un descenso del 12% respecto a febrero. Si el número de visitantes de enero superó en 36 personas al de marzo, ¿cuántas personas vieron la exposición en enero?

Hay un pequeño error en febrero, que haya incremetado un 12% con respecto a enero si en enero hay x visitantes, entonces en febrero habra 1,12x visitantes, puedes hacer la regla de 3, si x es el 100% entonces "a" es el 112%, veras que a=1,12x
Asi, la z, que es el mes de marzo quedara z= 0,88(1,12x) y como x=z+36, enonces
x=0,88(1,12x)+36
Resuelve para "x" y ya quedo
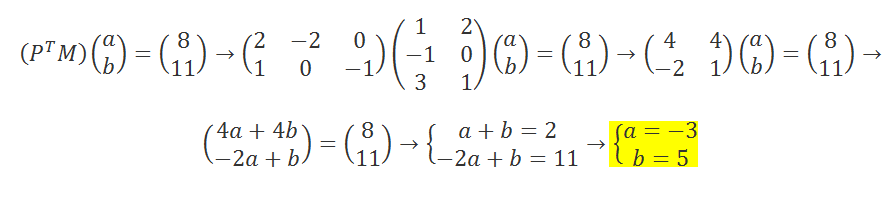
Una matriz mágica es una matriz cuadrada en qué todas las filas, columnas y las dos diagonales suman un cierto valor σ.
Probad que si M=(mji∈M3x3(ℛ) es una matriz mágica entonces σ=3m22.
j es el elemento de la fila y i el elemento de la columna.