Necesito ayuda con estos enunciados:
1) se tienen tres cargas eléctricas A,B yC ubicadas sobre la misma recta. la carga a dista de la carga B 2m y C dista 1m de B, estando b ubicada entre A y C. si la fuerza que ejerce a sobre A sobre B es 5x10 a la -6 N, calcular a) la fuerza C sobre B y b)la fuerza resultante sobre la carga B.
2) Dos cargas eléctricas tales que una de ellas es la tercera parte de la otra. cuando se les separa 3cm se repelen con una fuerza igual 1,5x10 a la -2 N. calcular la fuerza de repulsión cuando la distancia se reduce a la mitad.
respuesta del ejercicio 1: 1,99x10 a la menos 5 y 1,49x10 a la menos 5
respuesta del ejercicio 2: 0,059 N

2)
Sabemos que dos cargas se atraen (o repelen) con una fuerza eléctrica igual a:
F = (ke*q*q')/r2
Del problema nos dicen que:
q = q'/3
Cuando las cargas están separadas r = 3 cm, tenemos el valor de la fuerza.
Con estos datos nos es suficiente calcular el valor de q'.
Pasamos la distancia a unidades acordes al SI.
r = 3 cm (1 m/100 cm) = 0.03 m
Suponemos que ambas cargas están en el vacío. Dicho esto: ke = 8.99x109 N*m2/C2
Ahora reemplazando y resolviendo para q':
F = (ke*q*q')/r2
1.5x10-2 = [8.99x109*(q'/3)*q']/0.032
1.5x10-2 = [8.99x109*(q'2/3)]/0.032
8.99x109*(q'2/3) = 1.5x10-2*0.032
(q'2/3) = (1.5x10-2*0.032)/8.99x109
q'2= (3*1.5x10-2*0.032)/8.99x109
q' = 6.7119x10-8 C
Por lo tanto:
q = q'/3 = 6.7119x10-8/3
q = 2.2373x10-8 C
Finalmente, la fuerza cuando la distancia se reduce a la mitad (r = 0.03/2 = 0.015 m) la obtenemos simplemente reemplazando este radio y el valor de las cargas ya calculadas arriba.
F = (ke*q*q')/r2
F = (8.99x109*2.2373x10-8*6.7119x10-8)/0.0152
F = 0.0600 N
Para el primer problema revisa bien el enunciado de donde sacaste el problema. Está muy mal redactado y me parece que le hacen falta datos.

a)
Un auto circulando por la vía a nivel del suelo tendrá solo energía cinética.
Recordemos que la energía cinética viene dada por la ecuación:
K = 0.5*m*v2
Reemplazando datos tenemos que el auto tendrá una energía cinética de:
K = 0.5*1000*1202
K = 7.2x106 J
Y para que este mismo auto obtenga esta misma energía al caer desde un nivel por encima del suelo se requerirá que lo haga desde una determinada altura.
Dicha altura la podemos hallar aplicando la definición de energía potencial.
Recordemos que la energía potencial viene dada por la ecuación:
U = m*g*h
Entonces reemplazando y desarrollando para "h" obtenemos la respuesta al problema.
7.2x106 = 1000*9.81*h
h = 7.2x106/1000*9.81
h = 733.945 m
El inciso b) ya es algo de investigación que debes hacer por tu parte.
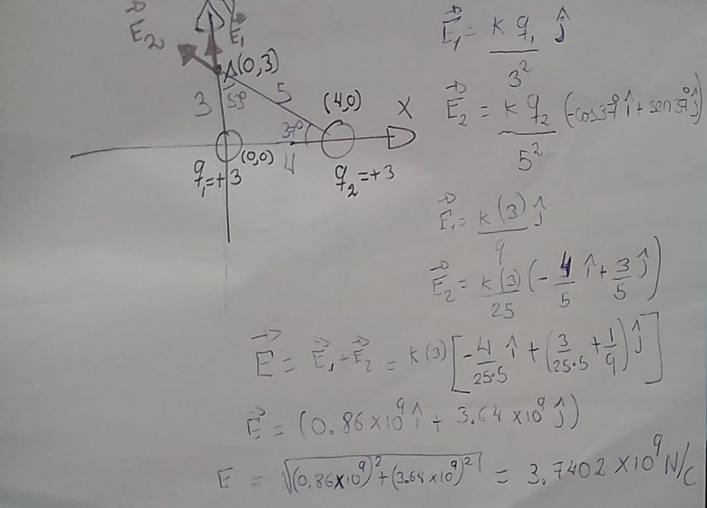
Buenas ayudenme con este ejercicio. El resultado que obtengo no coincide con ninguno de los propuestos. He optenido E= 3742,112 N/C
Ejercicio
En el origen de coordenadas está situada una carga q1= +3 y en el
punto (4,0) otra carga q2= +3
Determina el vector campo eléctrico en el punto A (0,3)

Vamos con una orientación.
Consideramos que los valores de las cargas son: q1 = q2 = 3 C, como indicas en tu enunciado.
Observa que la expresión del módulo del campo producido por la primera carga es:
E1 = k*q1/r12 = 9*109*3/32 = 3*109 N/C,
con dirección y sentido del semieje OY positivo, cuyo vector unitario característico es: j = < 0 , 1 >,
por lo que su expresión vectorial queda:
E1 = 3*109*< 0 , 1 > (1) (en N/C).
Observa que la expresión del módulo del campo producido por la segunda carga es:
E2 = k*q2/r22 = 9*109*3/(42+32) = 27*109/25 = 1,08*109 N/C,
con dirección y sentido correspondiente al vector que va desde el punto donde se encuentra la carga hasta el punto en estudio, cuya expresión es: v = < -4 , 3 >, cuyo módulo es: |v| = 5, por lo que el vector unitario correspondiente queda expresado: V = < -4/5 , 3/5 >,
por lo que la expresión vectorial del campo producido por la segunda carga queda:
E2 = 1,08*109*< -4/5 , 3/5 > (1).
Luego, planteas la expresión del campo eléctrico resultante en el punto en estudio, y queda:
E = E1 + E2, sustituyes expresiones, y queda:
E = 3*109*< 0 , 1 > + 1,08*109*< -4/5 , 3/5 >,
introduces los factores escalares en las expresiones vectoriales, resuelves sus componentes, y queda:
E = < 0 , 3*109 > + < -0,864*109 , 0,648*109 >,
resuelves la suma vectorial, y queda:
E = < -0,864*109 , 3,648*109 >.
Luego, puedes calcular el módulo y puedes plantear la dirección del campo eléctrico resultante.
Espero haberte ayudado.
Hola alguien me puede echar una mano? Gracias de antemano.



2)
El campo eléctrico presente va en dirección j.
Entonces no hay posibilidad alguna de que haya campo eléctrico en el eje horizontal i.
Por lo que es ilógico colocar el punto "P" en algún punto del eje horizontal que no sea x = 0.
De esta manera se descartan al instante las opciones a), b) y d).
La opción correcta es la c).
Esto se demuestra fácilmente aplicando la ecuación del campo eléctrico que genera una carga.
E = (ke*q)/r2
Donde en el vácio: ke = 8.99x109 N*m2/C2
Nota también que: 1/(4*π*εo) = ke = 8.99x109 N*m2/C2
Reemplazando y despejando para "r":
8.99x109 = (8.99x109*1)/r2
r = 1 m
Donde esta distancia es en el eje "y". El punto correcto: (0,1) m

2)
a)
Toda carga positiva provoca un campo eléctrico en un punto que sale del punto (se aleja de la carga).
Toda carga negativa provoca un campo eléctrico en un punto que entra al punto (se acerca a la carga).
Sabiendo esto, podemos proceder a resolver.
El campo eléctrico que genera la carga q1 en el punto "P" sera en dirección j.
Su magnitud será de:
E1 = (ke*q1)/r2 = (ke*q1)/a2
El campo eléctrico que genera la carga q2 en el punto "P" sera en dirección - i.
Su magnitud será de:
E2 = (ke*q2)/r2 = (ke*q2)/a2
Para eliminar estos dos campos, es evidente que la carga q3 que debemos colocar debe ser de naturaleza negativa.
El campo eléctrico que genera la carga q3 tendrá componentes en ambos ejes. Procedemos a calcular ambas.
La componente vertical del campo que genera q3 será en dirección - j.
Su magnitud será de:
E3y = [(ke*q3)/r2]*Sin(45º) = [(ke*q3)/(a√2)2]*Sin(45º) = [(ke*q3)/(2*a2)]*Sin(45º)
La componente horizontal del campo que genera q3 será en dirección i.
Su magnitud será de:
E3x = [(ke*q3)/r2]*Cos(45º) = [(ke*q3)/(a√2)2]*Cos(45º) = [(ke*q3)/(2*a2)]*Cos(45º)
Sumando las componentes en el eje "x" de los campos obtenemos el campo electrico total en dicho eje.
ExT = - E2 + E3x
ExT = - (ke*q2)/a2 + [(ke*q3)/(2*a2)]*Cos(45º)
Hacemos lo mismo para el eje "y".
EyT = E1 - E3y
EyT = (ke*q1)/a2 - [(ke*q3)/(2*a2)]*Sin(45º)
Finalmente sumamos vectorialmente los campos totales sabiendo que estos deben sumar cero. Matemáticamente:
EP2 = ExT2 + EyT2 = 0
{- (ke*q2)/a2 + [(ke*q3)/(2*a2)]*Cos(45º)}2 + {(ke*q1)/a2 - [(ke*q3)/(2*a2)]*Sin(45º)}2 = 0
Y de aquí se debe despejar q3. Te dejo la tarea algebraica.
b)
Calculamos el potencial en el punto "P". Recordemos que el potencial generado por una carga viene dada por la expresión:
V = ke*q/r
Entonces las tres cargas generan un potencial en "P" de:
VP = V1 + V2 + V3
VP = ke*(q1/r1 + q2/r2 + q3/r3)
VP = ke*[q1/(a) + q2/(a) + q3/(a*√2)]
VP = ke*{[(q1 + q2)*(a*√2) + q3*a]/(a2*√2)}
Una vez teniendo este valor, aplicamos la expresión de trabajo para traer una carga del infinito:
W = q*VP
Donde esta "q" que aparece en esta fórmula seria el valor de la carga que traes. Reemplazando:
W = -Q*ke*{[(q1 + q2)*(a*√2) + q3*a]/(a2*√2)}
c)
La fuerza eléctrica se relaciona directamente con el campo eléctrico con la ecuación:
F = q*E
Pero como en este punto ya hemos hecho que el campo eléctrico sea cero, no habra fuerza eléctrica tampoco.
FP = 0

Antes que todo, disculpa la precariedad del esquema que muestra la imagen.
Luego, vamos con una orientación.
Observa que hemos llamado L a la longitud de la mitad de la cuerda, y que hemos considerado que la persona cuelga desde su punto medio, que hemos llamado θ al ángulo determinado por los dos tramos de cuerda con respecto a la horizontal, y que hemos llamado T al módulo de la tensión dela cuerda en cualquiera de sus puntos.
Luego, llamamos ΔL al estiramiento de cada mitad de cuerda, y llamamos L a su longitud final.
Luego, establece un sistema de referencia con origen de coordenadas en el punto donde cuelga la persona, con eje OX horizontal con sentido positivo hacia la derecha, y con eje OY vertical con sentido positivo hacia arriba; luego, aplicas la Primera Ley de Newton, y queda el sistema de ecuaciones:
T*cosθ - T*cosθ = 0, aquí resuelves el primer miembro y queda: 0 = 0, que es una identidad verdadera,
2*T*senθ - P = 0, aquí sumas P en ambos miembros, y queda:
2*T*senθ = P,
aquí expresas al módulo del peso de la persona en función de su masa y del módulo de la aceleración gravitatoria terrestre, y queda:
2*T*senθ = M*g, aquí resuelves el segundo miembro, y queda:
2*T*senθ = 715 (1) (en Newtons).
Luego, a partir de uno de los triángulos rectángulos que tienes en la imagen, puedes plantear la ecuación:
cosθ = 10/L, aquí planteas la identidad trigonométrica del coseno en función del seno, y queda:
√(1-sen2θ) = 10/L, y de aquí despejas:
senθ = √(L2-100)/L (2).
Luego, planteas la expresión de la longitud final de media cuerda en función de su longitud inicial y de su estiramiento, y queda la ecuación:
L = 10 + ΔL (3) (en metros).
Luego, planteas la relación entre el módulo de la tensión de media cuerda con la constante elástica de la cuerda y de su estiramiento, y de acuerdo con la Ley de Hooke queda la ecuación:
T = k*ΔL (4).
Luego, con las ecuaciones numeradas tienes un sistema de cuatro ecuaciones, cuyas cuatro incógnitas son:
T (módulo de la tensión de la cuerda),
θ (ángulo determinado por cada mitad de la cuerda con respecto a la horizontal),
ΔL (estiramiento de cada mitad de la cuerda),
L (longitud de cada mitad de cuerda con la persona colgada y sujetada en su punto medio).
Luego, queda que resuelvas el sistema de ecuaciones.
Espero haberte ayudado.
Buenas tengo una duda sobre los resultados a mi me da el
a)-9,13=a b) -1,13=t c)x=6,95m
Pienso que el tiempo no me puede dar negativo pero es que no lo entiendo me lo podrían explicar todos los apartados por favor.

Establece un sistema de referencia con origen de coordenadas en el pie del plano inclinado, con eje OY paralelo a él con sentido positivo hacia arriba, eje OY perpendicular al plano inclinado con sentido positivo hacia arriba, e instante inicial: (ti = 0) correspondiente al lanzamiento del bloque.
Luego, observa que sobre el bloque actúan dos fuerzas, de las que indicamos sus módulos, direcciones y sentidos:
Peso: P = M*g = 5,250*10 = 52,50 N, vertical, hacia abajo;
Acción normal del plano inclinado: N, perpendicular al plano inclinado, hacia arriba;
Rozamiento dinámico del plano inclinado: frd = μd*N = 0,481*N, paralela al plano inclinado, hacia abajo;
luego, aplicas la Segunda Ley de Newton (observa que la aceleración tiene la dirección y el sentido del semieje OX negativo), y queda el sistema de ecuaciones:
-frd - P*senθ = M*a,
N - P*cosθ = 0;
sustituyes las expresiones de los módulos de las fuerzas, el valor de la masa del bloque, el valor de la medida del ángulo de inclinación del plano inclinado con respecto al piso, y queda:
-0,481*N - 52,50*sen(30°) = 5.250*a (1),
N - 52,50*cos(30°) = 0, y de aquí despejas, resuelves, y queda: N ≅ 45,466 N;
luego, reemplazas este valor remarcado en la ecuación señalada (1), resuelves su primer miembro, y queda:
-48,119 ≅ 5,250*a, y de aquí despejas, resuelves, y queda: a ≅ -9,166 m/s2.
Luego, planteas la ecuación tiempo-velocidad de Movimiento Rectilíneo Uniformemente Variado, y queda:
v = vi + a*t, y de aquí despejas:
t = (v - vi)/a, aquí reemplazas datos (vi = 10,4 m/s, v = 0, y el valor de la aceleración), y queda:
t ≅ (0 - 10,4)/(-9,166) ≅ 11,347 s,
que es el valor del instante correspondiente a la detención del bloque.
Luego, planteas la ecuación velocidad-desplazamiento de Movimiento Rectilíneo Uniformemente Variado, y queda:
2*a*(x - xi) = v2 - vi2, y de aquí despejas:
x = xi + (v2 - vi2)/(2*a), aquí reemplazas datos (xi = 0, vi = 10,4 m/s, v = 0, y el valor de la aceleración), y queda:
x ≅ 0 + (02 - 10,42)/( 2*(-9,166) ) ≅ 5,900 m,
que es el valor de la posición correspondiente a la detención del bloque.
Espero haberte ayudado.

1)
Recuerda la ecuación correspondiente a la Segunda Ley de Newton:
F = M*a, y de aquí despejas:
a = F/M, reemplazas valores expresados en unidades internacionales, y queda:
a = 20/0,025 = 800 m/s2.
Recuerda la ecuación tiempo-velocidad de Movimiento Rectilíneo Uniformemente Variado:
v = vi + a*t, aquí reemplazas valores, y queda:
v = 0 + 800*t = 8000 m/s.
2)
Recuerda la ecuación correspondiente a la Segunda Ley de Newton:
F = M*a, y de aquí despejas:
a = F/M, reemplazas valores expresados en unidades internacionales, y queda:
a = 10/0,4 = 25 m/s2.
3)
Recuerda la ecuación tiempo-velocidad de Movimiento Rectilíneo Uniformemente Variado:
v = vi + a*t, aquí reemplazas valores, y queda:
20 = 0 + a*10, y de aquí despejas:
a = 20/10 = 2 m/s2;
Luego, planteas la ecuación correspondiente a la Segunda Ley de Newton:
F = M*a, y de aquí despejas:
M = F/a, reemplazas valores expresados en unidades internacionales, y queda:
M = 100/2 = 50 Kg.
Espero haberte ayudado.
Hola inicios tengo unas dudas los ejercicios son de 3 eso y me he quedado atascado son las fuerzas de atracción gravitatoria todos gracias.

Hola Rosa...está muy bien preguntar dudas .... pero no veo tus planteamientos!!!!
Siempre os decimos lo mismo, si no haceis el esfuerzo de plantear el problema y ver donde llegais y os atascais, no avanzais, no aprendeis. Ese proceso es el del aprendizaje, de nada sirve que yo te de la solucion, el proximo problema seguira sin resolver....
Te recomiendo vayas primero a clase y veas los videos relacionados con interaccion gravitatoria aplicando la ley de la gravitacion universal de Newton
Nos cuentas ok?

Tienes en tu imagen la expresión del módulo de la fuerza de atracción gravitatoria:
F = G*M1*M2/d2 (1).
1)
Tienes los datos:
M1 = 5 Kg,
M2 = 5 kg,
d = 50 cm = 0,5 m,
F = a determinar,
G = 6,67*10-11 N*m2/Kg2;
luego, reemplazas valores en la ecuación señalada (1), y queda:
F = 6,67*10-11*5*5/0,52= 6,67*10-9 N.
2)
Tienes los datos:
M1 = 3 Kg,
M2 = 6 kg,
d = a determinar,
F = 3,2*10-9 N,
G = 6,67*10-11 N*m2/Kg2;
luego, a partir de la ecuación señalada (1) despejas:
d = √( G*M1*M2/F ), aquí reemplazas valores, y queda:
d = √( 6,67*10-11*3*6/(3,2*10-9) ) = √( 37,51875*10-2 ) ≅ 0,613 m.
3)
M1 = 45 Kg,
M2 = a determinar,
d = 30 cm = 0,3 m,
F = 6,4*10-8 N,
G = 6,67*10-11 N*m2/Kg2;
luego, a partir de la ecuación señalada (1) despejas:
M2 = F*d2/(G*M1), aquí reemplazas valores, y queda:
M2 = 6,4*10-8*0,32/(6,67*10-11*45) = 0,576*10-8/(300,15*10-11) ≅ 1,919 Kg.
4)
Tienes los datos:
PT = 435 N,
gT = 9,8 m/s2,
PP = a determinar,
gP = 13,4 m/s2,
M = a determinar;
luego, planteas la expresión del módulo del peso del cuerpo en la superficie de la Tierra, y queda:
PT = M*gT, y de aquí despejas:
M = PT/gT (1);
luego, planteas la expresión del módulo del peso del cuerpo en la superficie del otro Planeta, y queda:
PP = M*gP, y de aquí despejas:
M = PP/gp (2);
luego, igualas las expresiones señaladas (2) (1) (observa que ambas te sirven para calcular la masa del objeto), y queda la ecuación:
PP/gT = PT/gT, aquí multiplicas por gT en ambos miembros, y queda:
PP =(PT/gT)*gp, reemplazas valores, y queda:
PP = (435/9,8)*13,4 ≅ 594,796 N.
5)
Tienes los datos:
PT = 78 N,
gT = 9,8 m/s2,
PP = 53 N,
gP = a determinar,
M = a determinar;
luego, planteas la expresión del módulo del peso del cuerpo en la superficie de la Tierra, y queda:
PT = M*gT, y de aquí despejas:
M = PT/gT (1);
luego, planteas la expresión del módulo del peso del cuerpo en la superficie del otro Planeta, y queda:
PP = M*gP, aquí sustituyes la expresión señalada (1) (observa que con ella puedes calcular la masa del objeto), y queda:
PP = (PT/gT)*gP, y de aquí despejas:
gP = PP*gT/PT, reemplazas valores, y queda:
gP = 53*9,8/78, ≅ 6,659 m/s2.
Espero haberte ayudado.
Hola unicoos.
Mi problema dice así:
Un hilo metálico tiene 120 ohmios y se corta en tres trozos iguales que se conectan en paralelo. ¿Cuál es el valor de la resistencia total construida?