Buenas, ¿Alguien me podría ayudar con este problema?:
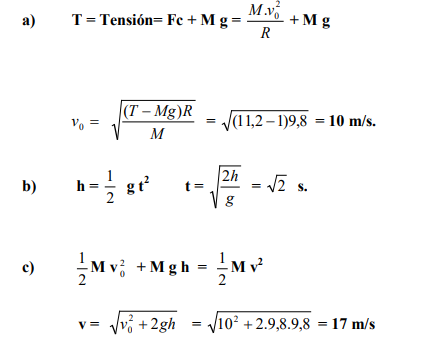
Con ayuda de una cuerda se hace girar un cuerpo de 1kg en una circunferencia vertical, de 1m radio, cuyo centro está situado a 10.8m del suelo. La cuerda se rompe cuando la tensión es de 112N, lo cual ocurre cuando el cuerpo está en el punto más bajo de su trayectoria. Se pide a) La velocidad que lleva el cuerpo cuando se rompe la cuerda b) el tiempo que tardará en caer al suelo c) la velocidad en el instante de chocar con el suelo.
Muchas gracias!!!!
Alguien sabe cuándo tengo que usar la primera y cuándo la segunda para saber la velocidad??? gracias

¿Velocidad? ó ¿Posición?
Lo más lógico seria que te refirieras a posición.
Las ecuaciones que colocas son usadas casi siempre para describir la posición de una partícula.
Para velocidades puedes usar:
vf2 - vo2 = 2*g*Δh
Donde tienes las velocidades en función de la altura.
O también puedes usar:
vf = vo + g*t
Donde las velocidades son función del tiempo.
Aunque todo depende de las condiciones del problema.
En este problrema se debería tener en cuenta la corriente y en la solución no es así... Alguien sabría darme alguna expolicación?? Gracias.

Las velocidades se toman en cuenta dependiendo del eje que estés analizando.
Para obtener el tiempo que demora cruzar el rio estas analizando el eje vertical "y".
Y en este eje solo actúa la velocidad de la lancha. No tiene nada que ver la velocidad del rio acá.
Por otro lado, para calcular la distancia que se desplaza la lancha se hace el análisis en el eje horizontal "x".
Y en este eje ahora actúa la velocidad del rio y no la de la lancha.
Todo es cuestión de ver bien que eje estés estudiando.
Alguien puede ayudarme con el apartado c) ? Y una duda, no tendría que formar un ángulo menor que 90 grados y nadar contracorriente para cruzar en perpendicular? Si nada con la corriente y formando el ángulo de la solución, no acabaría en un punto más abajo del río? Gracias de antemano :)

Como específicas, te ayudo solo con el inciso c). Supongo que sabes calcular los incisos a) y b).
c)
Suponemos que el rio tiene dirección de oeste a este.
Sumatoria vertical de velocidades:
vy = vn*Sin(β)
Donde "vn" es la velocidad del nadador y "β" es el ángulo con respecto a la contracorriente que debe tomar el nadador para cruzar.
Sumatoria horizontal de velocidades:
vx = vc - vn*Cos(β)
Donde "vc" es la velocidad de la corriente.
Ecuación de posición vertical:
y = vy*t = vn*Sin(β)*t
Ecuación de posición horizontal:
x = vx*t = [vc - vn*Cos(β)]*t
Para que el nadador cruce justo en frente, no debe existir desplazamiento horizontal alguno.
Condición requerida, x = 0.
Dicho esto:
x = [vc - vn*Cos(β)]*t = 0
vc - vn*Cos(β) = 0
vc = vn*Cos(β)
Cos(β) = vc/vn
β = Cos-1(vc/vn)
Reemplazando datos tenemos que:
β = Cos-1(0.5/1)
β = 60º (respecto a la contracorriente)
Fíjate que también podemos especificar con respecto a la corriente con otro ángulo "α" que valdría:
α = 180º - 60º
α = 120º (respecto a la corriente)
El tiempo que demora en cruzar lo hallar aplicando la ecuación de posición vertical.
y = vn*Sin(β)*t
Donde "y" es el ancho del rio. Este valor ya debió ser calculado antes.
Entonces reemplazando datos y despejando para "t":
240 = 1*Sin(60º)*t
t = 240/[1*Sin(60º)]
t = 277.128 s
por favor podrían ayudarme con este ejercicio? Me salió en un examen y no tenía ni idea. Mi idea era utilizar la famosa(E=DefectoM x c^2) ecuación de Einstein para resolverlo pero no sé exactamente cómo debería realizarlo. Ojalá puedan ayudarme. Muchas gracias a todos los unicoos.
Buenas tardes, ¿Alguien me podría ayudar con estos ejercicios?
1-Se
comprime un muelle de cnstante elástica k = 2000 N/m, situado sobre
una superficie horizontal. ¿Qué energía almacena el muelle? Si se
suelta e impacta contra un objeto de masa 5 g, ¿qué velocidad le
comunica?
2-Se
dispara contra un tablero de 8 cm de espesor una bala de 25 g con una
velocidad de 200 m/s. La bala pierde el 30% de su velocidad al
atravesar el tablero. Calcular: a) El trabajo consumido en atravesar
el tablero. b) La resistencia que ofrece el tablero
¡Muchas gracias!

2.
a)
El 30% de 200 m/s es:
30%*200 = 60 m/s
Entonces la velocidad final de la bala será:
vf = 200 - 60 = 140 m/s
El trabajo neto que se realiza cuando la bala atraviesa el tablero se puede calcular aplicando el teorema de trabajo-energía cinética.
Es decir:
Wneto = ΔK = 0.5*m*vf2 - 0.5*m*vo2 = 0.5*m*(vf2 - vo2)
Pasamos la masa a unidad acorde al sistema internacional (SI).
m = 25 g*(1 kg/1000 g) = 0.025 kg
Y ahora reemplazamos los datos en la ecuación de trabajo.
Wneto = 0.5*0.025*(1402 - 2002)
Wneto = - 255 J
b)
Pasamos el espesor a unidad acorde al sistema internacional (SI).
x = 8 cm*(1 m/100 cm) = 0.08 m
Sabiendo que:
Wneto = F*x
Reemplazamos datos y despejamos para "F":
- 255 = F*0.08
F = - 255/0.08
F = - 3187.5 N
Al primer problema le faltan datos. Revisa a ver si te falto especificar algo más y vuelves.

Te dejo los bosquejos (nada profesional) de los diagramas de cuerpo libre abajo. Claves para comprender la resolución.
a)
Sumatoria de fuerzas en el eje vertical "y" igual a cero (no hay movimiento):
∑Fy = 0
N*Cos(β) - μs*N*Sin(β) - m*g = 0
Despejando la fuerza normal "N":
N*[Cos(β) - μs*Sin(β)] = m*g
N = (m*g)/[Cos(β) - μs*Sin(β)]
Sumatorias de fuerzas en el eje horizontal "x" igual a masa por aceleración centrípeta:
∑Fx = m*ac
N*Sin(β) + μs*N*Cos(β) = m*ac
N*[Sin(β) + μs*Cos(β)] = m*ac
Reemplazando el valor de "N" obtenido en la sumatoria de fuerzas en el eje vertical "y":
{(m*g)/[Cos(β) - μs*Sin(β)]}*[Sin(β) + μs*Cos(β)] = m*ac
Despejando "ac" obtenemos:
ac = {(g)/[Cos(β) - μs*Sin(β)]}*[Sin(β) + μs*Cos(β)]
Reemplazando los datos que nos da el problema:
ac = {(9.81)/[Cos(25º) - 0.30*Sin(25º)]}*[Sin(25º) + 0.30*Cos(25º)]
ac = 8.7402 m/s2
Recordando del movimiento circular que:
ac = v2/R
Reemplazamos datos y despejamos "v":
8.7402 = v2/50
v2 = 437.01
vmax. = 20.9048 m/s
b)
Sumatoria de fuerzas en el eje vertical "y" igual a cero (no hay movimiento):
∑Fy = 0
N*Cos(β) + μs*N*Sin(β) - m*g = 0
Despejando la fuerza normal "N":
N*[Cos(β) + μs*Sin(β)] = m*g
N = (m*g)/[Cos(β) + μs*Sin(β)]
Sumatorias de fuerzas en el eje horizontal "x" igual a masa por aceleración centrípeta:
∑Fx = m*ac
N*Sin(β) - μs*N*Cos(β) = m*ac
N*[Sin(β) - μs*Cos(β)] = m*ac
Reemplazando el valor de "N" obtenido en la sumatoria de fuerzas en el eje vertical "y":
{(m*g)/[Cos(β) + μs*Sin(β)]}*[Sin(β) - μs*Cos(β)] = m*ac
Despejando "ac" obtenemos:
ac = {(g)/[Cos(β) + μs*Sin(β)]}*[Sin(β) - μs*Cos(β)]
Reemplazando los datos que nos da el problema:
ac = {(9.81)/[Cos(25º) + 0.30*Sin(25º)]}*[Sin(25º) - 0.30*Cos(25º)]
ac = 1.4313 m/s2
Aplicando la ecuación de la aceleración centrípeta ya mencionada y despejando para "v":
ac = v2/R
1.4313 = v2/50
v2 = 71.565
vmin. = 8.4596 m/s

a)
Te dan la ecuación de posición respecto al tiempo del velero.
Si derivamos esta ecuación dos veces con respecto al tiempo obtenemos la ecuación de aceleración del velero.
Dicho esto:
a(t) = d2/dt2 [x(t)] = d2/dt2 [1.2*t2 - 0.2*t3] = 2.4 - 1.2*t
Ahora aplicamos la segunda ley de newton para obtener la ecuación de fuerza respecto al tiempo.
Recordamos que:
∑F = m*a(t)
Dada solo la fuerza que ofrece el viento "F", tenemos que:
F = m*a(t)
Y reemplazando la ecuación de aceleración calculada y la masa de los datos:
F(t) = 200*(2.4 - 1.2*t)
F(t) = 480 - 240*t
Como la aceleración depende del tiempo, la fuerza también lo hará.
b)
Reemplazando t = 3 s en la ecuación de fuerza calculada en el inciso a):
F(3) = 480 - 240*3
F(3) = - 240 N
c)
Igualamos a cero la ecuación de fuerza calculada en el inciso a).
F(t) = 480 - 240*t = 0
480 - 240*t = 0
De acá despejamos el tiempo "t":
240*t = 480
t = 480/240
t = 2 s
En este tiempo, la fuerza es hace cero.
Puedes comprobar esto reemplazando este tiempo en la ecuación de fuerza.
F(2) = 480 - 240*2
F(2) = 0
Efectivamente, se cumple.
En el 32 he aplicado la ecuación de la posición para saber el tiempo y luego completar los datos para aplicar la ecuación de la velocidad, pero veo que la solución es 14 y a mi me sale -14. Aplico otra fórmula?? Gracias

Seguramente has considerado un sistema de referencia con origen de coordenadas a nivel del suelo, con eje de posiciones (alturas) OY vertical con sentido positivo para arriba.
Luego, para la etapa de caída tienes los datos:
yi = 10 m, vi = 0, a = -g = -9,8 m/s2;
luego, planteas la ecuación desplazamiento-velocidad de Movimiento Rectilíneo Uniformemente Variado, resuelves coeficientes, cancelas el término nulo, y queda:
v2 - vi2 = 2*a*(y - yi);
luego, reemplazas valores, y queda:
v2 - 02 = 2*(-9,8)*(y - 10),
cancelas el término nulo, resuelves el coeficiente en el segundo miembro, y queda:
v2 = -19,6*(y - 10);
luego, planteas la condición de llegada al suelo (y = 0), reemplazas, y queda:
v2 = -19,6*(0 - 10),
resuelves el segundo miembro, y queda:
v2 = 196,
extraes raíz cuadrada positiva en ambos miembros, y queda:
v = 14 m/s.
que es el valor de la rapidez (módulo de la velocidad) de la bola al llegar al suelo.
Luego, para la etapa de ascenso tienes los datos:
yi = 0, vi = a determinar, a = -g = -9,8 m/s2;
luego, planteas la ecuación desplazamiento-velocidad de Movimiento Rectilíneo Uniformemente Variado, resuelves coeficientes, cancelas el término nulo, y queda:
v2 - vi2 = 2*a*(y - yi);
luego, reemplazas valores, y queda:
v2 - vi2 = 2*(-9,8)*(y - 0),
cancelas el término nulo en el agrupamiento, resuelves el coeficiente en el segundo miembro, y queda:
v2 - vi2 = -19,6*y;
luego, planteas la condición de llegada al punto más alto (y = 6,5 m,v = 0), reemplazas, y queda:
02 - vi2 = -19,6*6,5,
cancelas el término nulo, resuelves el segundo miembro, y queda:
-vi2 = -127,4,
multiplicas por -1 y luego extraes raíz cuadrada positiva en ambos miembros, y queda:
vi ≅ 11,287 m/s,
que es el valor de la rapidez (módulo de la velocidad) de la bola al empezar su ascenso desde el suelo.
Espero haberte ayudado.
Alguien puede ayudarme con el apartado b? Me sale 4,51 segundos y la solución es 3000??
a) velocidad límite = F / k = ma / k = 0,033
b) y = y0 - v0*t - 1/2*g*t2 ( y0 = 100 ), ( y = 0, se deposita en el suelo), ( v0 = velocidad límite? )
0 = 100 - 0,033*t - 4,9*t2 ---> t = 4,51 segundos
Muchas gracias :)

Establece un sistema de referencia con eje de posiciones (alturas) OY vertical con sentido positivo hacia arriba, con origen de coordenadas a nivel del suelo.
Luego, observa que sobre la partícula actúan dos fuerzas verticales, de las que indicamos sus módulos y sentidos:
Peso: P = M*g = 10-11*9,8 = 9,8*10-11 N, con sentido hacia abajo,
Resistencia del aire: Fa = k*|v| = 3*109*|v|, con sentido hacia arriba.
Luego, aplicas la Segunda Ley de Newton, y tienes la ecuación diferencial:
-P + Fa = M*a, sustituyes expresiones, y queda:
-9,8*10-11 + 3*109*|v| = 10-11*a, multiplicas por -10-11 en todos los términos, y queda:
9,8 - 3*102*|v| = -a, sustituyes la expresión del módulo de la velocidad (observa que su sentido hacia abajo), y queda:
9,8 - 3*102*(-v) = -a, sumas a y restas 9,8 en ambos miembros, resuelves signos en todos los términos, y queda:
a + 3*102*v = -9,8, expresas a la aceleración en función de la velocidad, resuelves coeficientes, y queda:
dv/dt + 300*v = -9,8,
que es una ecuación diferencial lineal, de primer orden y de primer grado, cuya solución general queda expresada:
v(t) = e-300*t * ( (-9,8/300)*e300*t + C ), distribuyes el factor común, y queda:
v(t) = -9,8/300 + C*e-300*t, expresas al primer término en forma decimal, y queda:
v(t) ≅ -0,032667 + C*e-300*t;
luego, si consideras que la partícula comienza su caída desde el reposo, tienes la condición inicial:
v(0) = 0, sustituyes la expresión evaluada de la velocidad en el primer miembro, y queda:
-0,032667 + C ≅ 0, y de aquí despejas C ≅ 0,032667;
luego, reemplazas este valor en la expresión de la función velocidad, y queda:
V(t) ≅ -0,032667 + 0,032667*e-300*t (1),
que es la solución particular de la ecuación diferencial para el problema de tu enunciado.
a)
Planteas la expresión de la velocidad límite, y queda:
vL = Lím(t→+∞) V(t), sustituyes la expresión señalada (1) en el argumento del límite, y queda:
vL ≅ Lím(t→+∞) (-0,032667 + 0,032667*e-300*t), resuelves, y queda:
vL ≅ -0,032667 m/s ≅ -0033 m/s, y observa que el signo negativo indica que su sentido es hacia abajo.
b)
Expresas a la velocidad de caída de la partícula en función de su posición, y queda la ecuación diferencial:
dy/dt = V(t), sustituyes la expresión señalada (1), y queda:
dy/dt ≅ -0,032667 + 0,032667*e-300*t, separas variables, y queda:
dy ≅ (-0,032667 + 0,032667*e-300*t)*dt, integras en ambos miembros, y queda:
y(t) ≅ -0,032667*t - 0,000109*e-300*t + D,
que es la solución general de la ecuación diferencial de posición de la partícula;
luego, como tienes que la partícula inicia su caída desde lo alto de la chimenea, tienes la condición inicial:
y(0) = 100, sustituyes la expresión evaluada de la posición en el primer miembro, y queda:
-0,000109 + D ≅ 100, aquí sumas x en ambos miembros, y queda:
D ≅ 100 + 0,000109, y de aquí tienes: D ≅ 100,000109;
luego, reemplazas este valor en la expresión de la función posición, y queda:
Y(t) ≅ -0,032667*t - 0,000109*e-300*t + 100,000109,
que es la solución particular de la última ecuación diferencial;
luego, planteas la condición de llegada de la partícula al suelo, y tienes la ecuación:
Y(t) = 0, sustituyes la expresión de la función posición en el primer miembro, y queda:
-0,032667*t - 0,000109*e-300*t + 100,000109 ≅ 0,
aquí desprecias el segundo término (observa que toma valores mucho menores que los otros términos a medida que aumenta el valor de la variable t, y queda la ecuación lineal:
-0,032667*t + 100,000109 ≅ 0, restas 100,000109 en ambos miembros, y queda:
-0,032667*t ≅ -100,000109, dvides por -0,032667 en ambos miembros, y queda:
t ≅ 3061,197 s,
que por todas las aproximaciones que hemos hecho puedes considerar que es un valor aproximado al que proponen en tu solucionario.
Espero haberte ayudado.