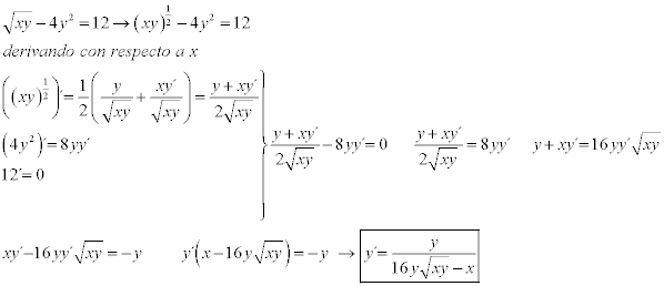
Muy buenas! Estoy en la asignatura de cálculo y he de derivar de forma implícita la siguiente función: (xy)^1/2-4y^2=12
Llevo cerca de dos horas y no llego a Entenderlo si alguien me lo pudiera explicar lo agradecería muchísimo

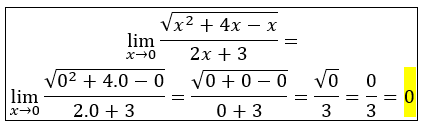
La distancia entre un número real x y un numero real a se plantea como el valor absoluto de la resta entre ellos, en tu ejercicio tienes a = 1, y distancia menor que 1, por lo tanto planteamos la inecuación:
| x - 1 | < 1,
que por propiedades del valor absoluto con las desigualdades puede desarrollarse:
- 1 < x - 1 < 1
luego sumamos 1 en los tres miembros de la doble desigualdad y queda:
-1 + 1 < x - 1 + 1 < 1 + 1
por último resolvemos en los miembros de los extremos, cancelamos términos opuestos en el miembro central y llegamos a:
0 < x < 2,
por lo tanto tenemos que los números reales x que se encuentran a una distancia menor que 1 del número real 1 pertenecen al intervalo abierto (0 , 2).
Espero haberte ayudado.
Hola. Buen día estimados amigos de unicoos, solicito vuestra ayuda con un problema aplicando integración. En sí es longitud de arco. Me da negativa la respuesta.
- Halle la longitud de la astroide.
x2/3+y2/3=1
Se me ha dificultado resolverlo.
De antemano muchisisimas gracias a esa persona que me sepa ayudar. Saludos. Bye.

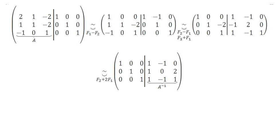
Para el primer ejercicio:
1°) Veamos si el vector nulo de R^2 pertenece al subconjunto:
o = <0,0>, planteamos la condición para él (observa que x=0 e y=0): 3x + 4 = 3*0 + 4 = 0 + 4 = 4 distinto de 0.
Por lo tanto tenemos que el vector nulo no pertenece al subconjunto, y éste no es un subespacio de R^2:
Para el segundo ejercicio:
1°) Veamos si el vector nulo de R^2 pertenece al subconjunto:
0 = <0,0>, planteamos la condición para él (observa que x=0 e y=0): 2x - y = 2*0 - 0 = 0 - 0 = 0.
Por lo tanto tenemos que el vector nulo si pertenece al subconjunto.
2°) Tomamos dos vectores que pertenecen al subconjunto, por lo que cumplen con la condición
u1 = <x1,y1>, con 2x1 - y1 = 0
u2 = <x2,y2>, con 2x2 - y2 = 0.
Luego investigamos si el vector suma pertenece al subconjunto:
u1 + u2 = <x1+x2,y1+y2> (observa que x = x1+x2 e y = y1+y2), planteamos la condición:
2x - y = 2(x1 + x2) - (y1 + y2) = distribuimos = 2x1 + 2x2 - y1 - y2 = reordenamos y agrupamos términos = (2x1 - y1) + (2x2 - y2 =
observa que en los agrupamientos tenemos las expresiones de las condición que cumplen los vectores del subconjunto
= 0 + 0 = 0.
Por lo tanto el vector suma u1 + u2 pertenece al subconjunto.
3°) Tomamos un vector u1 = <x1,y1> del subconjunto, por lo que cumple la condición: 2x1 - y1= 0, y un escalar (número) k perteneciente al conjunto de los números reales.
Luego investigamos si el producto del escalar por el vector pertenece al subconjunto:
k*u1 = k + <x1 , y1> = < k*x1 , k*y1 > (observa que tenemos: x = k*x1 e y = k*y2), planteamos la condición:
2x - y = 2*k*x1 - k*y1 = extraemos factor común = k(2x1 - y1) = observa que nos quedó la expresión de la condición que cumple el vector del subconjunto
= k*0 = 0.
Por lo tanto el vector k*u1 pertenece al subconjunto.
Luego, concluimos que el subconjunto es un subespacio vectorial de R^2.
Recuerda que para ser subespacio de R^2 se debe cumplir:
1°) o = <0,0> pertenece al subconjunto (en tus ejercicios: falló el primer subconjunto, cumplió el segundo);
2°) la suma de dos vectores cualesquiera del subconjunto pertenece al subconjunto (en tu segundo ejercicio se cumplió);
3°) el producto de un escalar cualquiera por un vector cualquiera del subconjunto pertenece al subconjunto (en tu ejercicio se coumplió).
Espero haberte ayudado.
alguien me da una mano con este.
a mi me da la opcion d ( 0,13), pero la correcta es la B.
plantee que la energia abajo es igual a la de arriba considerando la velocidad final 0,
alguien que me de una mano
Necesito verificar mi respuesta, el ejercicio dice asi:
Encontrar los puntos en los cuales:
La recta tangente a y=x3+x2+x+2 es paralela a y=x-1
RESPUESTA: (0;2) y (-2/3;40/27). si la respuesta esta bien con un simple "SI" me basta, si esta mal les pediria el favor de que me muestren el desarrollo del ejercicio con la respuesta correcta

D = bc^2+ca^2+ab^2-ac^2-cb^2-ba^2 = ( bc^2 + ab^2 - cb^2 ) + (ca^2 - ac^2 - ba^2 ) =
= b(c^2 + ab - bc) - a(-ac + c^2 + ab) = reordenaos términos en los agrupamientos:
= b(c^2 - bc + ab) - a(c^2 - ac + ab) = restamos y sumamos abc.
= b(c^2 - bc + ab) - abc - a(c^2 - ac + ab) + abc = incorporamos a cada término abc al agrupamiento que lo precede:
= b(c^2 - bc + ab - ac) - a(c^2 - ac+ab - bc) = reordenamos términos en los agrupamientos:
= b(c^2 - bc - ac + ab ) - a(c^2 - bc - ac + ab) = extraemos factor común por grupos de dos términos en cada agrupamiento:
= b( c(c - b) - a(c - b) ) - a( c(c - b) - a(c - b)) = extraemos factor común en cada agrupamiento:
= b(c - b)(c - a) - a(c - b)(c - a) = estraemos factores comunes:
= (c - b)(c - a)(b - a).= reordenamos factores:
= (b - a)(c - a)(c - b).
Por lo que tenemos que la expresión que obtuviste al aplicar la regla de Sarrus es equivalente a la que figura en tu enunciado.
Espero haberte ayudado.