Me pueden ayudar a hallar el angulo de la imagen? Es parte de un ejercicio de física, flujo eléctrico, ese rectángulo es la superficie plana y forma un angulo de 40 grados con el eje Y, las lineas paralelas esas son las líneas de campo eléctrico, y la flechita con una n en la punta es la normal, entonces se forma ese angulo que debo hallarlo para proseguir con mi ejercicio. Pongo la duda aquí y no en el foro de física porque el procedimiento es algo de matemáticas, lo de física si me puedo encargar yo.

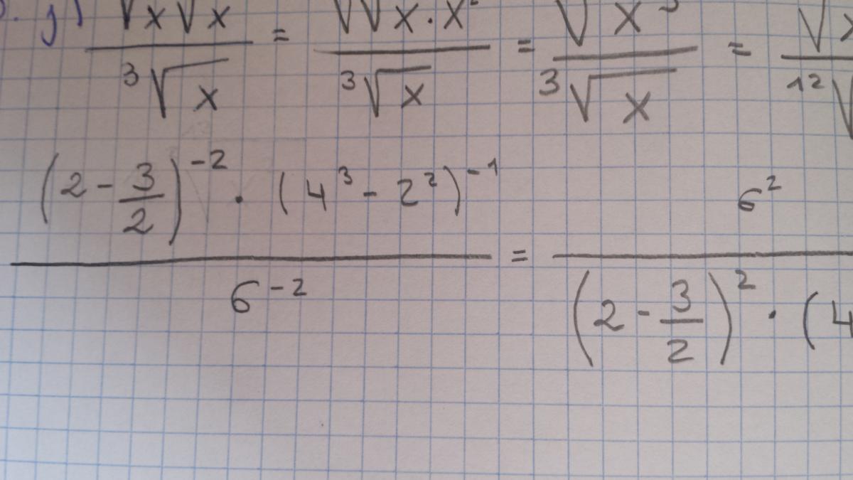
Para este ejercicio, como los exponentes son negativos, pretendo invertirlos para que se queden positivos, con lo que de este modo lo que esta en el numerador pase al denominador y viceversa. Mi duda es si pasando: (4^3-4^2)^-1 se quedaría:
(4^-3-4^-2)^1
o
(4^3-4^2)^1
Os dejo una foto abajo, por si no me he explicado bien. ¡Gracias!
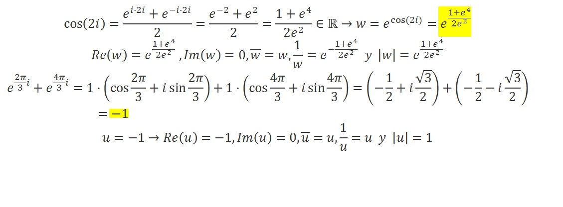
el ejercicio me pide que encuentre la parte real, imaginaria, el conjugado, la inversa y el modulo de:
1) e^cos(2i):
2) e^(2πi/3) + e^(4πi/3): me ayudaríais a encontrar lo que me pide??
están en forma polar(números complejos)
Hola Unicoos!! este ejercicio es fácil a simple viste pero después me dicen que halle una regla general para esto y no se cual es. Si me podriais ayudar mejor q mejor muchas gracias: si a/b es irreducible razona a+b/axb y a-b/axb también es irreducible.

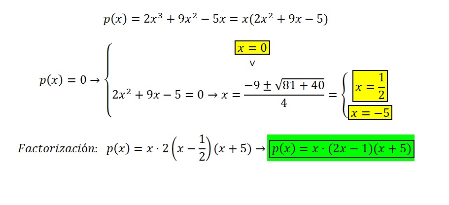
¡Observa que ya la tienes! En la expresión factorizada de la función polinómica puedes escribir:
a(x) = 2(x - 0)(x - 1/2)(x + 5)
Recuerda que debes consignar el coeficiente principal, ya que la fórmula resolvente para las ecuaciones polinómicas cuadráticas solamente te sirve para encontrar las raíces, y también, recuerda que toda expresión polinómica con término independiente igual a cero, como en este caso, tiene una de sus raíces iguales a cero, por lo tanto las raíces son:
x1 = 1/2, x2 = -5, x3 = 0.
Espero haberte ayudado.
Saludos, Soy Carlos de Republica Dominicana. me gustaria saber si la integral de la raiz del seno o coseno de una funcion tiene solución exacta o una aproximación por serie