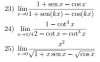
Hola tengo una pregunta cuando aplico los criterios del limite de la raiz, el cociente para saber si una serie diverge o converge de pueden aplicar dos juntos como primero el de la raiz y luego el del cociente o no se puede hacer eso?
Puedes aplicar el criterio que quieras, si con el criterio de la raiz el limite te sale menor que 1 la serie convergera, y si es mayor que uno la serie diverge; el problema sera cuando el limite te de igual a uno, entonces tendras que utilizar otro criterio como por ejemplo el del cociente.
Un campo rectangular de 4 ha de superficie tiene un perimetro de 10 hm. Calcular, en metros, su longitud y su anchura
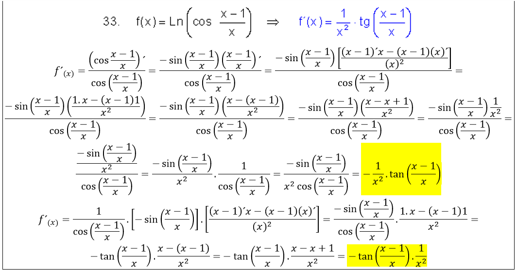
Encontre esta derivada en internet y no encuentro el error en mis procedimientos para llegar al resultado, si alguien lo ve me lo dice ;-)
Buenos días unicoos, tengo problemas con esta integral no la entiendo para nada: ∫X/cos2X dx
Me podrian ayudar con este problema:
Hallar la ecuación de la cuerda focal de la elipse E:9x²+25y²=225 cuya longitud sea 6 unidades.

Puedes comenzar por dividir por 225 en todos los términos, simplificas y queda:
x^2 / 25 + y^2 / 9 = 1, que es la ecuación de una elipse con centro de simetría en (0,0), eje focal OX, con semieje mayor a = 5 y semieje menor b = 3. Luego, a partir de la relación entre semiejes, tenemos que el semieje focal es: c = 4, por lo que sus focos tienen coordenadas: F1(-4,0) y F2(4,0).
Elijamos el foco F1 para plantear la ecuación general de las rectas que contienen las cuerdas que pasan por él: y = m(x+4).
Luego, nos queda el sistema de ecuaciones para buscar los puntos de intersección entre la elipse y la cuerda general:
9x^2 + 25y^2 = 225
y = m(x +4) (*)
Luego sustituimos la expresión de la segunda ecuación en la primera y queda:
9x^2 + 25 * m^2 * (x + 4)^2 = 225
Luego desarrollas, haces pasaje de término, agrupas términos semejantes y queda:
(9 + 25m^2)*x^2 + 200m^2*x + (400m^2 - 225) = 0,
que es una ecuación polinómica cuadrática (sus coeficientes son: a = 9 + 25m^2, b = 200m^2, c = 400m^2 - 225), aplicas la fórmula resolvente y llegarás a dos expresiones x1 y x2 en función de la pendiente m,
luego reemplazas x1 y x2 en la ecuación señalada (*) y obtendrás sus correspondientes valores y1 e y2, también en función de m.
Por último, solo te quedará plantear que la distancia entre los puntos P1(x1,y1) y P2(x2,y2) es igual a 6:
V( (x2 - x1)^2+ (y2 - y1)^2 ) = 6
haces pasaje de raíz como potencia y queda:
(x2 - x1)^2+ (y2 - y1)^2 = 36.
Observa que cuando reemplaces x1, y1, x2 e y2 por sus expresiones en función de m, te quedará una ecuación con m como única incógnita, la resuelves, y luego a partir de la ecuación señalada (*) obtendrás las ecuaciones de las dos cuerdas con longitud 6 que pasan por el foco F1.
Espero haberte ayudado.