Hola buenas necesito mucha ayuda con este tipo de ejercicio, es de primero de carrera de matemáticas y por mas que busco y pruebo no tengo ni idea de como hacerlo. El tipo de ejercicio es ecuación diferencial con valores iniciales. pls ayuda
Ok lo entiendo todo salvo las dos cosas mas importantes, como sacas la solución homogenea y la particular....no se si justo es el e^x porque hay un e^x en la ecuación primera o son todas asi. Todo lo de las constantes, derivadas y sustituciones y demás se hacerlo. Asique si puedes ayudarme con eso....te puedo poner mas ejemplos

Para la solución a la homogénea, al ser raíces reales diferentes la solución es de la forma c₁ e^(λ₁ x)+c₂ e^(λ₂ x)
Para la solución particular use el método de coeficientes indeterminados (supuse que ya lo conocías), te recomiendo googles el método para que puedas ver varios ejemplos y en que consiste pues seria algo largo y complicado explicar por este medio.
Considero que una vez que leas al respecto entenderás fácilmente la solución que te proporciono, si una vez que ya leíste no logras comprenderla vuelve a postear tus dudas y con gusto te ayudare :)

La e^x la multiplique por x pues e^x ya esta, por decirlo de alguna manera, incluida en la homogénea. El 0 no es una constante en este caso, o al menos nunca he tenido que considerarlo como tal.
Los otros ejercicios vuelvelos a postear por favor (cada uno por separado), es complicado volver a buscar el post para ayudarte :c
Tengo una funcion f(x)=LOG(x^2 -4) y al hacer su inversa me queda y=raiz cuadrada de 10^x +4 (raiz de 10 a la x mas cuatro).El tema es que no puedo graficarla, la comprobe en un graficador pero no me sale.Tengo problemas para conseguir la asintota horizontal, y los puntos de interseccion me salen distintos a los que me tendrian que salir. Si alguien me puede hechar un cable para los puntos o que me muestr como graficarla se lo agradeceria.
Ayuda con un ejercicio mas de coordenadas polares por favor
Nuevamente se que tengo que usar las identidades trigonométricas pero al llegar a cosθ/1-cosθ la unica identidad trigonométrica que veo que mas se asemeja es cosθ/√1-cos²θ y así podría decir que x=cotθ pero nose como hacer para transformar cosθ/1-cosθ en eso, por el lado de la Y si estoy completamente perdido en cuanto a que procedimiento llevar a cabo... Se agradece mucho cualquier tipo de ayuda
hola unicoos..me podian aclarar que es lo que me pide en la pregunta numero 1,,yo entiendo que lo tengo que convertir en coordenadas polaresss estoy en lo cierto,,,graciassss
Hola! ¿Alguien me podría aclarar por qué las expresiones (1) y (2) son equivalentes? Muuchas gracias!!
Buenos Días
Tengo un problema que necesitaría ayuda porque no recuerdo como es que se hace. He intentado un procedimiento que he encontrado pero me van saliendo cosas muy raras. Es de sistema de ecuaciones diferenciales. Adjunto la imagen. Con saber como se hace el apartado a) tengo. ¿Alquien me podría ayudar?
Muchas gracias
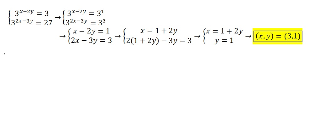
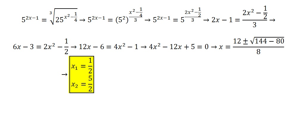
Hola buenas! Estoy ayudando a mi prima de 4 de la eso a prepararse los examenes de recuperacion que tiene y en matematicas voy un poco perdida y ella todavia mas. Os escribo para ver si añguien podria expñicarme la resolucion de estos sistemas de ecuaciones logaritmicas y exponenciales o al menos algunos de ellos porque estoy muy perdida en ellas. Muchas gracias.