Hola Alguien me podría ayudar con este problema llegue hasta sacar la derivada , y después no supe continuar gracias !!!

En esta lección encontrarás un ejemplo identico Derivada utilizando la definicion 01
#nosvemosenclase
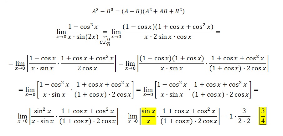
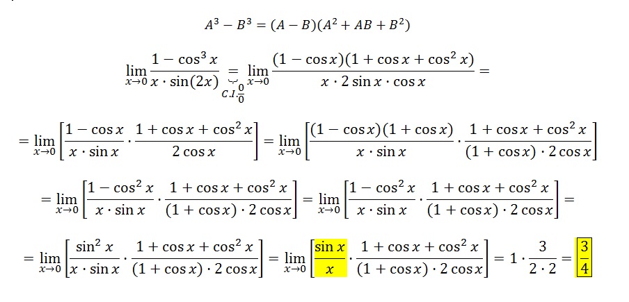
lo pase a forma polar y me quedo con un modulo de 2√3 y un argumento de -60. al sumarle 180 me quedo en 120. }despues no se como seguir y hallar ese giro. lei algo que pusieron por aca pero no lo logro entender al aplicarlo. gracias.
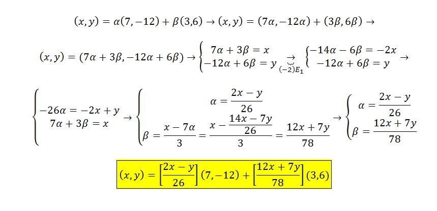
Hola a todos, estoy estudiando el grado en matemáticas y me encuentro aquí con una duda sobre álgrebra lineal. En numerosas ocasiones me sale que la dimensión de un subespacio es 0 y me piden una base y mi pregunta es: ¿ Si la dimensión es 0 no hay base ? o si la hay ¿ cuál es? GRACIAS ¡¡
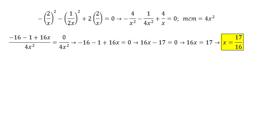
Hola Unicoos,
estoy peleando por aprender a resolver ecuaciones de 2º grado con fracciones e incognitas...
Os envio lo que me ha salido que está mal. No se en que fallo.
Gracias
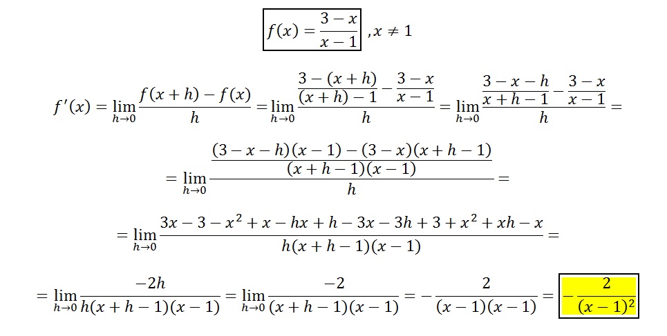
Hola debo sacar la derivada por definición de la función 3-x/x-1 es correcto el procedimiento .gracias

Observa bien el cociente incremental:
(H(x + h) - H(x)) /h
Veamos los términos del numerador:
para el primer término tenemos:
H(x + h) = (8 - (x + h)) / (x + h - 1) = (8 - x - h) / (x + h - 1);
para el segundo término tenemos:
H(x) = ( 8 - x) / (x -1).
Luego, podemos plantear la resta entre ellos para tener en claro cuál es el numerador del cociente incremental:
H(x+ h) - H (x) = (8 - x - h) / (x + h - 1) - ( 8 - x) / (x -1) = (extraemos como denominador común al producto de los denominadores, operamos y queda:)
= ((8 - x - h) * (x - 1) - (8 - x) *(x + h - 1)) / ((x + h - 1) *(x - 1)) = (distribuimos en los dos términos del numerador, cancelamos y reducimos términos y queda:)
= (8x - 8 - x^2 + x - hx + h - 8x - 8h + 8 + x^2 + xh - x) / ((x + h - 1) *(x - 1)) = (h - 8h) / ((x + h - 1) *(x - 1)) =-7h / ((x + h - 1) *(x - 1)) =
Ya, a esta altura, debemos recordar que estamos planteando cuál es el numerador del cociente incremental, por lo tanto para calcular el límite debemos dividir por h (observa que se simplifica) y llegamos por fin a:
f ' (x) = Lím (h-->0) -7 / ((x + h - 1) *(x - 1)) = -7 / (x- 1)^2, que puedes corroborar que es correcta por medio de la regla de derivación de un cociente de funciones.
Para expresiones como la de esta función H, es conveniente realizar cálculos auxiliares como hemos intentado aquí, planteando con cuidado cada uno de los términos, para luego continuar construyendo el cociente incremental, para tomar límite recién en el último paso.
Espero haberte ayudado.