Hola,me dan par resolver las siguientes ecuaciones exponenciales,sé que hay vídeos que lo explican pero cuando intento hacerlos no consigo resolverlos, gracias.![]()

1)
Multiplicas por 7x en todos los términos de la ecuación (recuerda que 7x es estrictamente mayor que cero) y queda:
2 - 3*(7x)2 + 5*7x = 0, multiplicas en todos los términos por - 1, ordenas términos y queda:
3*(7x)2 - 5*7x - 2 = 0, planteas el cambio de incógnita: w = 7x (1) (observa que w es estrictamente positivo) y queda:
3*w2 - 5*w - 2 = 0, que es una ecuación polinómica cuadrática cuyas soluciones son:
a)
w = - 1/3, que no tiene sentido para este problema;
b)
w = 2, sustituyes la expresión señalada (1) y queda:
7x = 2, tomas logaritmos naturales en ambos miembros, aplicas la propiedad del logaritmo de una potencia en el primer miembro, y queda:
x*ln(7) = ln(2), haces pasaje de factor como divisor y queda:
x = ln(7)/ln(2).
2)
Tienes la ecuación:
23x = 32x+1, tomas logaritmos naturales y aplicas la propiedad del logaritmo de una potencia en ambos miembros y queda:
3*x*ln(2) = (2*x + 1)*ln(3), distribuyes en el segundo miembro y queda:
3*x*ln(2) = 2*x*ln(3) + ln(3), haces pasaje de término y queda:
3*x*ln(2) - 2*x*ln(3) = ln(3), extraes factor común en el primer miembro y queda:
x*( 3*ln(2) - 2*ln(3) ) = ln(3), haces pasaje de factor como divisor y queda:
x = ln(3) / ( 3*ln(2) - 2*ln(3) ).
Espero haberte ayudado.
Hola!!
Tengo una duda, al utilizar el Teorema de Multiplicadores de Lagrange ,cuando y como puedo saber si tengo que calcular los puntos criticos solo en los bordes de un recinto, y cuando tanto en los bordes como dentro del mismo.gracias.

¡Hola! Nos encantaría ayudarte, pero no solemos responder dudas universitarias que no tengan que ver específicamente con los vídeos que David ha grabado como excepción. O de otras asignaturas que no sean Matemáticas, Física y Química. Lo sentimos de corazón… Esperamos que lo entiendas.
Ojalá algún unicoo universitario se anime a ayudarte (de hecho, lo ideal es que todos los universitarios intentarais ayudaros los unos a los otros).

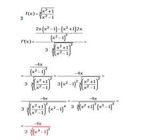
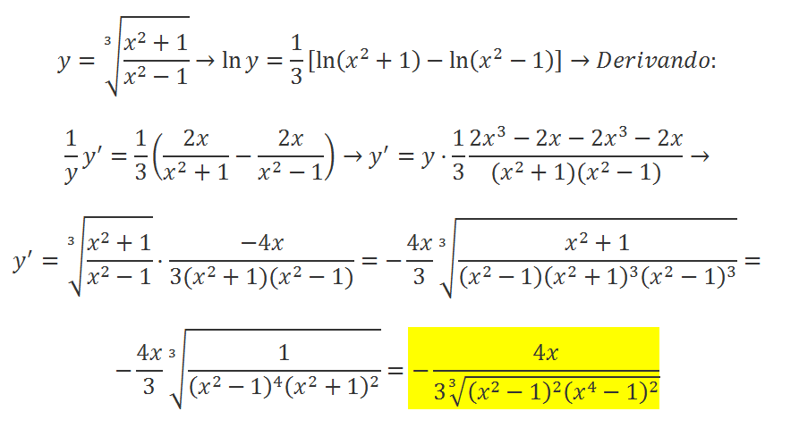
Compañeros, agradecería mucho que me ayudarán con el siguiente ejercicio. Lo que pasa es que el problema 3.3 del siguiente pdf: https://www.matematicasonline.es/pdf/ejercicios/1%C2%BABach%20Cienc/Ejercicios%20de%20derivadas2.pdf propone esa raíz. A la hora de que yo lo resuelvo, jurando que está bien, me da otro resultado, lo que me lleva a usar geogebra que también me da otra respuesta:


Agradezco de antemano si pudieran ayudar, muchas gracias.
Guillem De La Calle, para que la función al cuadrado entre a la raíz cubica, ¿No se tendría que elevar a 6 en vez de 4 para que no "afecte"?... Porque si entra como cuatro y realizamos propiedad de raíces sale con la función elevada a la 4/3, que no es la misma que la original.
Cómo se llegó a que no es derivable en x = 3? El teorema de Rolle dice que la función debe ser continua en el intervalo abierto (a,b), pero tengo las definiciones de continuidad en intervalos y derivabilidad en un punto, pero no de derivabilidad en intervalos y no puedo encontrar nada, y además todos los videos que encontré sobre el teorema de Rolle están hechos con funciones polinómicas que son siempre continuas y derivables. Entonces cómo hago para calcular la derivabilidad en ese intervalo?