Foro de preguntas y respuestas de Matemáticas

logo beUnicoos
Los foros de unicoos se han unificado en nuestra nueva plataforma beUnicoos. Para dejar nuevas preguntas deberás hacerlo allí, donde además podrás encontrar nuevas asignaturas y herramientas para ayudarte más con tus estudios.

  • icon

    Mel
    el 31/7/18

    Hola , me podrían ayudar con este ejercicio :

    Sea L : X = α(2, 3) + (1, 0). Dar la ecuación de la recta L′ que pasa por (3, 5) y es paralela a L .

    replythumb_up0 voto/sflag
    icon

    César
    el 31/7/18



    thumb_up1 voto/sflag
  • icon

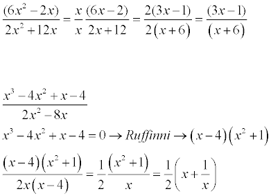
    pepi
    el 31/7/18

    Hola! Alguien me puede ayudar con la siguiente simplifcación?

    a) (6x^2-2x)/(2x^2+12x)

    b) (x^3-4x^2+x-4)/(2x^2-8x)


    Muchas gracias!

    replythumb_up0 voto/sflag
    icon

    César
    el 31/7/18



    thumb_up0 voto/sflag
  • icon

    Ciro6415
    el 31/7/18

    Una consulta más,  z= e.√(x²+y) , establecer y graficar su dominio de definición.

    replythumb_up0 voto/sflag
    icon

    Antonius Benedictus
    el 31/7/18

    Pon foto del enunciado original.

    thumb_up1 voto/sflag
    icon

    Guillem De La Calle Vicente
    el 31/7/18


    thumb_up1 voto/sflag
  • icon

    Alex Pons
    el 31/7/18

    Una pregunta, en esta operación se podria anular el logaritmo? De no ser posible me podrian decir cual es la razón? Gracias. (Se que hay otra forma de hacer la operación, pero no se si de esta manera se puede)

    replythumb_up0 voto/sflag
    icon

    Antonius Benedictus
    el 31/7/18


    thumb_up0 voto/sflag
    icon

    Alex Pons
    el 31/7/18

    Antonio, primeramente muchas gracias por su respuesta, y realmente muchas gracias por estar ahí ayudando a todos los unicoos a cambio de nada. Pero como he comentado, ya sabia que se podía hacer de esa forma, pero mi duda es si se puede hacer de la forma en la que he hecho la operación. La duda surge porque creo que en otros ejercicios, creo que he anulado logaritmos que estaban multiplicando, pero no se si se pude anular un logaritmo que a su vez esta siendo multiplicado por el (exponente del logaritmo). Perdone por explicarme mal : ), y de verdad no se tome a mal lo que le he comentado :)

    thumb_up1 voto/sflag
    icon

    Antonius Benedictus
    el 31/7/18

    Solo puedes "quitar" logaritmos cuando responde a este esquema:

    Si  log X = log Y, entonces:

    X=Y.

    thumb_up1 voto/sflag
    icon

    Antonius Benedictus
    el 31/7/18


    thumb_up1 voto/sflag
    icon

    Alex Pons
    el 31/7/18

    Muchas gracias por la aclaración. Entonces para aclaralo, si tengo log X^2=log Y,  y quiero hacer esto: 2 log X= log Y, no podré anular el logaritmo. Sin embargo si tengo la forma inicial (log X^2=logY) si que puedo anularlo porque el logaritmo no está siendo multiplicado por nada. ¿Es correcto?

    thumb_up0 voto/sflag
    icon

    Antonius Benedictus
    el 31/7/18

    Correcto.

    thumb_up1 voto/sflag
  • icon

    Ciro6415
    el 31/7/18

    Cómo hago para que la sucesión an: (2n-3/2n) ^(n-1) sea  e ^(3/2)

    replythumb_up0 voto/sflag
    icon

    Antonius Benedictus
    el 31/7/18


    thumb_up1 voto/sflag
  • icon

    Luis Enrique Muro Teruel
    el 31/7/18


    ¿A qué se refiere el término inclusión natural dentro del álgebra?


    replythumb_up0 voto/sflag
    icon

    Antonius Benedictus
    el 31/7/18


    thumb_up1 voto/sflag
  • icon

    pvdk
    el 31/7/18

    Hola... si tuvieras que enseñar desde cero hasta precálculo a alguien que no sabe nada de matemáticas... cuál sería el orden ideal de los temas dentro de aritmética, geometría, álgebra, etc..?

    replythumb_up0 voto/sflag
    icon

    Antonius Benedictus
    el 31/7/18

    Pregunta complicada: también va a depender de la edad y la cultura  de esa persona.

    thumb_up0 voto/sflag
  • icon

    123
    el 30/7/18

    a=6cm

    b=10cm

    c=8cm

    tengo que averiguar los angulos , el area y la altura

    a²=b²+c²-2*b*c*cosA

    A=36.89º

    b²=a²+c²-2*a*c*cosB

    B=53.13º

    c²=a²+b²-2*a*b*cosC

    C=90º

    pero ala hora de resolver  la area me da problemas

    si uso la area=√s(s-a)(s-b)(s-c)   →   s=a+b+c/2=12   →   24cm²

    area =a*b/2  →  6*10/2   →  30cm²

    y con los demas me dan resultasos distintos.

    como puedes comprobar si lo has echo bien o no?

    area=base *altura/2→  8*h/2=24 →  8*h=24*2→ h=48/8=6

    area= 8*h/2=30  → 8*h=30*2  → h=60/8=7.5

    cual es el corecto?




    replythumb_up0 voto/sflag
    icon

    Antonius Benedictus
    el 30/7/18

    El área es 24 (correctamente calculada por la fórmula de Herón)

    La fórmula clásica es base por altura partido por 2. En este caso, base y altura son los catetos:  6*8/2=24


    r es el radio de la circunferencia inscrita.

    R es el radio de la circunferencia circunscrita.

    Algunas de las fórmulas tienen otras dos versiones.

    thumb_up0 voto/sflag
    icon

    César
    el 30/7/18

    √(12(12-10)(12-8)(12-6))=24


    thumb_up0 voto/sflag
  • icon

    Laura
    el 30/7/18

    Alguien me puede ayudar?? Gracias 

    replythumb_up0 voto/sflag
    icon

    Antonius Benedictus
    el 30/7/18


    thumb_up0 voto/sflag
  • icon

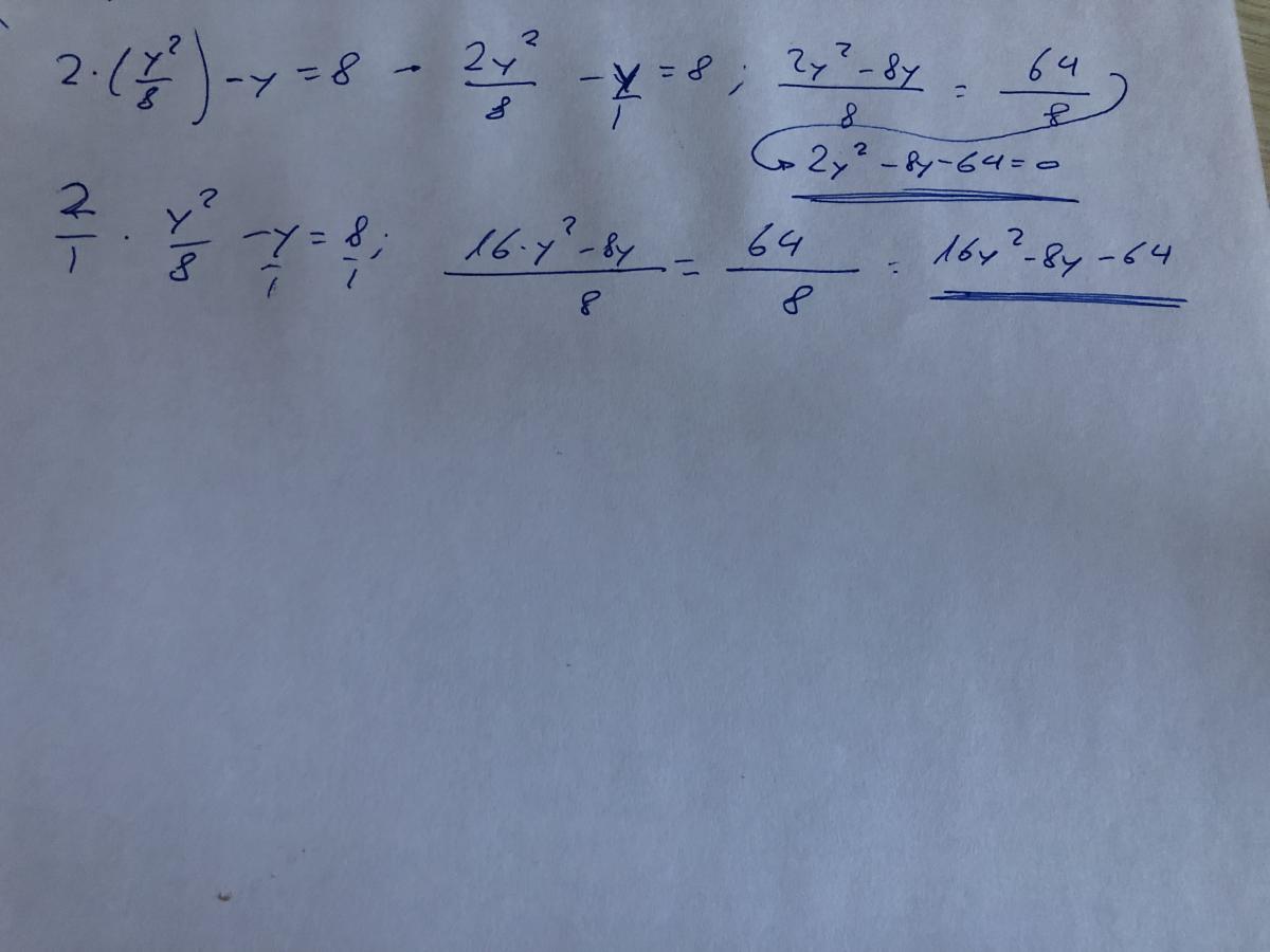
    Alex Pons
    el 30/7/18

    Hola, porque esta operación me da dos resultados? Si alguien me puede responder donde esta el fallo estaría genial.

    replythumb_up0 voto/sflag
    icon

    Antonius Benedictus
    el 30/7/18

    En la segunda línea: para multiplicar fracciones no se hace lo mismo que para sumarlas.

    thumb_up1 voto/sflag