hola. después de ver los vídeos de estadística para averiguar los cuartiles, media y moda, me quedan dudas porque en mi cursada me han dado otras fórmulas. Por ejemplo en la Mediana Li + C ... y en el vídeo aparece distinto Li ......... por "ai". ¿Es lo mismo?

Observa que hemos presentado a la figura de tu imagen como unión de dos rectágulos, cuyas dimensiones son:
1)
para el rectángulo verde:
base: b1 = 3,
altura: h1 = 2a;
2)
para el rectángulo amarillo:
base: b2 = 4,
altura: h2 = 2a-b.
Luego, tienes para el área total de la figura:
A = A1 + A2 = b1*h1 + b2*h2 = 3*2a + 4*(2a-b),
resuelves el coeficiente en el primer término, distribuyes el segundo término, y queda:
A = 6a + 8a - 4b,
reduces términos semejantes, y queda:
A = 14a - 4b (en unidades de superficie).
Luego, consideras todas las longitudes de los lados exteriores de la figura, y tienes para el perímetro:
P = 7 + 3 + 4 + 2a + b + 2a-b,
reduces términos semejantes, cancelas términos opuestos, ordenas términos, y queda:
P = 4a + 14 (en unidades de longitud).
Espero haberte ayudado.
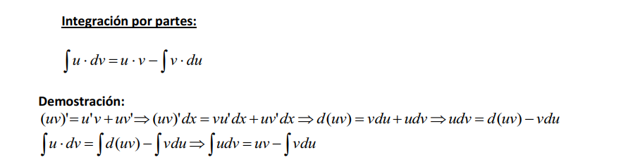
Buenas noches, alguien me sabe la demostración de la integral por partes? Necesito una demostración completa y bien hecha Gracias.
Él hace vídeos muy fáciles de entender, este es un ejercicio sencillo de integral por partes https://www.youtube.com/watch?v=BETtnGGLATU
Saludos