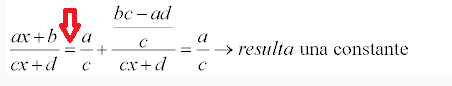
Alguien me lo puede explicar, no llego a entender el razonamiento.


Perdón por no expresarme correctamente, es la explicación de fracciones parciales por el método algebraico.
Dejo acá la fuente de donde extraje la imagen anterior.
Pagina 7: https://es.scribd.com/document/220424771/Fraciones-Parciales-HEAVISIDE-Por-Jose-Miguel-Gomez-Guzman
Realmente intente entenderlo muchas veces, pero no entiendo el razonamiento que usar para justificar el método.
Hola, ¿me podrían explicar de dónde ha salido el menos que señalo al final de la foto tras calcular el producto vectorial usando componentes?

Observa que si ordenas factores en los términos del desarrollo señalado (1.25) queda:
A x B = (Ax*Bx)(ixi) + (Ax*By)(ixj) + (Ax*Bz)(ixk) +
+ (Ay*Bx)(jxi) + (Ay*By)(jxj) + (Ay*Bz)(jxk) +
+ (Az*Bx)(kxi) + (Az*By)(kxj) + (Az*Bz)(kxk).
Luego, observa en la primera línea de la figura, que tienes: ixi = O, jxj = O, kxk = O, por lo que cancelas los términos remarcados, porque son nulos y la expresión queda:
A x B = (Ax*By)(ixj) + (Ax*Bz)(ixk) +
+ (Ay*Bx)(jxi) + (Ay*Bz)(jxk) +
+ (Az*Bx)(kxi) + (Az*By)(kxj).
Luego, observa las igualdades determinadas por los dos primeros miembros de las desigualdades dobles señaladas (1.24):
ixj = -jxi, multiplicas por -1 en ambos miembros, y queda: -ixj = jxi (1),
jxk = -kxj, multiplicas por -1 en ambos miembros, y queda: -jxk = kxj (2),
ixk = -kxi (3).
Luego, sustituyes las expresiones que tienes en los primeros miembros de las igualdades señaladas (1) (2) (3), cada una en el factor vectorial remarcado que le corresponde, y queda:
A x B = (Ax*By)(ixj) + (Ax*Bz)(-kxi) +
+ (Ay*Bx)(-ixj) + (Ay*Bz)(jxk) +
+ (Az*Bx)(kxi) + (Az*By)(-jxk).
Resuelves signos en los términos con factores vectoriales remarcados, y queda:
A x B = (Ax*By)(ixj) - (Ax*Bz)(kxi) +
- (Ay*Bx)(ixj) + (Ay*Bz)(jxk) +
+ (Az*Bx)(kxi) - (Az*By)(jxk).
Ordenas términos, y queda:
A x B = (Ay*Bz)(jxk) - (Az*By)(jxk) + (Az*Bx)(kxi) - (Ax*Bz)(kxi) + (Ax*By)(ixj) - (Ay*Bx)(ixj).
Extraes factores comunes vectoriales por grupos de dos términos, y queda:
A x B = (Ay*Bz - Az*By)(jxk) + (Az*Bx - Ax*Bz)(kxi) + (Ax*By - Ay*Bx)(ixj).
Sustituyes las expresiones vectoriales remarcadas por sus correspondientes equivalentes que tienes en los terceros miembros de las desigualdades dobles señaladas (1.24), y queda:
A x B = (Ay*Bz - Az*By)(i) + (Az*Bx - Ax*Bz)(j) + (Ax*By - Ay*Bx)(k).
Espero haberte ayudado.
el coste de la matricula de una academia de música es menor mientras mas notables hayas obtenido en el curso anterior. Pedro, Sara y Leonor han obtenido respectivamente 2, 3 y 5 notables y entre los 3 han pagado 310€. ¿Cuánto ha pagado cada uno?

Si supones que el costo de la matrícula es inversamente proporcional a la cantidad de notables, puedes plantear:
p/(1/2) = s/(1/3) = l/(1/5),
p + s + l = 310.
Luego, descompones la ecuación doble en dos ecuaciones, y queda:
p/(1/2) = s/(1/3),
p/(1/2) = l/(1/5),
p + s + l = 310.
Resuelves ambos miembros en las dos primeras ecuaciones, y queda:
2p = 3s, aquí divides por 3 en ambos miembros, y queda: 2p/3 = s (1),
2p = 5l, aquí divides por 5 en ambos miembros, y queda: 2p/5 = l (2),
p + s + l = 310 (3).
Luego, sustituyes las expresiones señaladas (1) (2) en la ecuación señalada (3), y queda:
p + 2p/3 + 2p/5 = 310, multiplicas por 15 en todos los términos de la ecuación, y queda:
15p + 10p + 6p = 4650, reduces términos semejantes, y queda:
31p = 4650, divides por 31 en ambos miembros, y queda:
p = 150 euros, que es el coste de la matrícula para Pedro;
luego, reemplazas el valor remarcado en las ecuaciones señaladas (1) (2), y queda:
100 euros = s, que es el coste de la matrícula para Sara,
60 euros = l, que es el coste de la matrícula para Leonor.
Espero haberte ayudado.