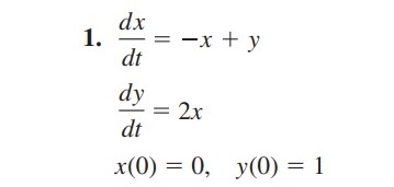
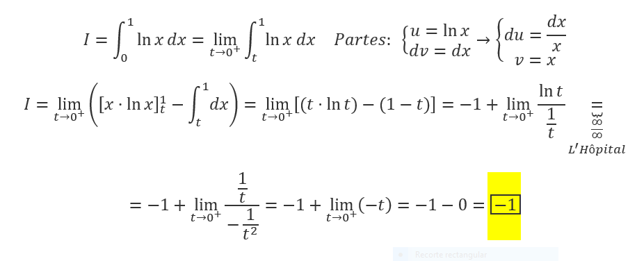
Buenas tardes;
No se de donde sale el -48 y mucho menos el -104. Me ayudaron con un ejercicio y ya se como plantearlo; pero no se llegar aquí.
Gracias.
creo que lo que estas haciendo es esto, de todas formas el texto sigue diciendo "... Alternativamente menor que 0 y mayor que 0." Asi que no se que tan cierto sea que porque todos los determinantes de las matrices cuadradas sean menores que cero entonces hay un minimo. Espero al menos te sirva para saber que de ahi salen esos determinantes!
necesito ayuda con el siguiente problema (necesito saber plantearlo, NO LA RESPUESTA) : Un comerciante tiene dos clases de café, la primera 40€/kg y la segunda clase a 60€/kg. ¿Cuántos kg de café de cada clase necesita para obtener 60 kg de mezcla a 50€ el kg?

Puedes llamar x a la masa de café de la primera clase que necesitas, y puedes llamar y a la masa de café de la segunda clase que necesitas.
Luego, puedes plantear la ecuación de las masas que necesitas:
x + y = 60 (1).
Luego, puedes plantear la ecuación de los costos:
40x + 60y = 50*60 (2).
Luego, solo queda que resuelvas el sistema formado por las ecuaciones señaladas (1) (2).
Espero haberte ayudado.
En la ecuación general o implícita de un plano (Ax+By+Cz+D=0), la D sé que es el valor que se queda sin acompañar a ninguna incógnita, pero ¿tiene algún significado como por ejemplo el que en la ecuación explicita de una recta en el plano, y = mx + n, m era la pendiente y n era la ordenada en el origen?

Tienes la ecuación:
9 - 10x2 = 3x*(2x - 3) + 9x,
distribuyes el primer término del segundo miembro, y queda:
9 - 10x2 = 6x2 - 9x + 9x,
cancelas términos opuestos en el segundo miembro, y queda:
9 - 10x2 = 6x2,
restas 9 y restas 6x2 en ambos miembros, y queda:
-16x2 = -9,
divides por -16 en ambos miembros, y queda:
x2 = 9/16,
extraes raíz cuadrada en ambos miembros, y tienes dos soluciones:
x = -3/4 y x = 3/4.
Espero haberte ayudado.

¡Hola! Nos encantaría ayudarte, pero no solemos responder dudas universitarias que no tengan que ver específicamente con los vídeos que David Calle ha grabado como excepción. O de otras asignaturas que no sean Matemáticas, Física y Química. Lo sentimos de corazón… Esperamos que lo entiendas.
Ojalá algún unicoo universitario se anime a ayudarte (de hecho, lo ideal es que todos los universitarios intentarais ayudaros los unos a los otros).