
Tienes la identdidad trigonométrica:
cos4A - cos2A = sen4A - sen2A (1).
Luego, puedes estudiar la expresión que tienes en el segundo miembro:
sen4A - sen2A = extraes factor común, y queda:
= sen2A*(sen2A - 1) = aplicas la identidad del cuadrado del seno en función del cuadrado del coseno, y queda:
= (1 - cos2A)*(1-cos2A - 1) = cancelas términos opuestos en el segundo factor, y queda:
= (1 - cos2A)*(-cos2A) = distribuyes, y queda:
= -cos2A + cos4A = conmutas términos, y queda:
= cos4A - cos2A.
Espero haberte ayudado.
Halla la ecuación de s que es perpendicular a r: x+y-1=0 y pasa por el punto A=(2,1). Busca las coordenadas de un punto S que equidiste de A y de r.

Puedes comenzar por plantear la ecuación cartesiana explícita de la recta r, para ello restas x y sumas 1 en ambos miembros de la ecuación que tienes en tu enunciado, y queda:
y = -x + 1,
por lo que tienes que la pendiente de la recta r es: mr = -1, y su ordenada al origen es: br = 1.
Luego, puedes plantear la condición de perpendicularidad entre la recta r y la rectas s:
ms = -1/mr, reemplazas valores, y queda:
ms = -1/(-1), resuelves, y queda:
ms = 1, que es el valor de la pendiente de la rectas s.
Luego, con el valor de la pendiente que hemos remarcado, y las coordenadas del punto: A(2,1), puedes plantear la ecuación cartesiana "punto-pendiente" de la recta s, y queda:
y = ms*(x - xA) + yA, reemplazas valores, y queda:
y = 1*(x - 2) + 1, distribuyes el factor común, reduces términos semejantes, y queda:
y = x - 1, que es la ecuación cartesiana explícita de la recta s, cuya ordenada al origen es: bs = -1;
luego, restas x y sumas 1 en ambos miembros, y queda:
-x + y + 1 = 0, que es una ecuación cartesiana implícita de la recta s.
Espero haberte ayudado.
Me ayudan a resolver el siguiente ejercicio? Más que nada quiero preguntar si así me tiene que quedar la ecuación para empezar a resolver?
3|3-×|-|×-2|>1

Tienes tres expresiones con valor absoluto, y observa que las dos primeras son equivalentes:
a)
|3-x| = |-1*(-3+x)| = |-1|*|-3+x| = 1*|-3+x| = |-3+x| = |x-3| =
x-3 si x-3≥0, aquí sumas 3 en ambos miembros, y queda: x≥3 (1),
-(x-3) = -x+3 si: x-3<0, aquí restas 3 en ambos miembros, y queda: x<3 (2),
y observa que la expresión a trozos tiene como valor de corte: xa = 3;
b)
|x-2| =
x-2 si x-2≥0, aquí sumas 2 en ambos miembros, y queda: x≥2 (3),
-(x-2) = -x+2 si: x-2<0, aquí sumas 2 en ambos miembros, y queda: x<2 (4),
y observa que la expresión a trozos tiene como valor de corte: xb = 2;
luego, observa que con los dos puntos de corte tienes tres intervalos:
A = (-∞,2), donde son válidas las expresiones señaladas (2) (4),
B = [2,3), para el que son válidas las expresiones señaladas (2) (3),
C = [3,+∞), para el que son válidas las expresiones señaladas (1) (3),
y observa que las expresiones señaladas (1) (4) no son válidas al mismo tiempo para ningún valor x real.
Luego, planteas la inecuación de tu enunciado para cada intervalo, y queda:
1°)
para el intervalo A = (-∞,2):
(-x+3) + (-x+3) - (-x+2) > 1, distribuyes agrupamientos, y queda:
-x + 3 - x + 3 + x - 2 > 1, reduces términos semejantes, y queda:
-x + 4 > 1, restas 4 en ambos miembros, y queda:
-x > -3, multiplicas por -1 en ambos miembros, y queda:
x < 3, por lo que tienes que todos los elementos del intervalo A son solución de la inecuación de tu enunciado;
2°)
para el intervalo B = [2,3):
(-x+3) + (-x+3) - (x-2) > 1, distribuyes agrupamientos, y queda:
-x + 3 - x + 3 - x + 2 > 1, reduces términos semejantes, y queda:
-3x + 8 > 1, restas 8 en ambos miembros, y queda:
-3x > -7, divides por -3 en ambos miembros, y queda:
x < 7/3, por lo que tienes que no todos los elementos del intervalo B son solución de la inecuación de tu enunciado,
por lo que tienes el subintervalo: B1[2,7/3);
3°)
para el intervalo: C = [3,+∞):
(x-3) + (x-3) - (x-2) > 1, distribuyes agrupamientos, y queda:
x - 3 + x - 3 - x + 2 > 1, reduces términos semejantes, y queda:
x - 4 > 1, sumas 4 en ambos miembros, y queda:
x > 5, por lo que tienes que no todos los elementos del intervalo C son solución de la inecuación de tu enunciado,
por lo que tienes el subintervalo: C1(5,+∞).
Luego, tienes para el intervalo solución de la inecuación de tu enunciado:
S = B1 ∪ C1 = [2,7/3) ∪ (5,+∞).
Espero haberte ayudado.
Hola buenas noches me podría ayudar a resolver la siguiente integral. La integral va de 0 a π en caso que no se vea claro. Gracias.![]()

Tal como indica el colega Antonio, si el límite superior de la integral es π, entonces tienes una integral definida (observa que el argumento de la integral corresponde a una función continua), por lo que su resultado es un número.
Pero, si el límite superior es x, que es una variable, aplicas el Teorema Fundamental del Cálculo Integral, y la expresión de la función derivada queda:
f ' (x) = sen(πx2/2) (1), que está definida en en el intervalo: A = (-3,3),
y la expresión de la función derivada segunda queda:
f ' ' (x) = πx*cos(πx2/2) (2), que está definida en el intervalo: A = (-3,3).
Y de aquí en adelante, vamos con una orientación.
Luego, planteas la condición de valor crítico (posible máximo o posible mínimo), y queda:
f ' (x) = 0, sustituyes la expresión señalada (1), y queda:
sen(πx2/2) = 0, compones en ambos miembros con la función inversa del seno, y queda:
πx2/2 = kπ, con k ∈ N (observa que k puede tomar solamente valores positivos),
multiplicas en ambos miembros de la ecuación por 2/π, y queda:
x2 = 2k, con k ∈ N,
extraes raíz cuadrada en ambos miembros, y queda:
x = √(2k), con k ∈ N,
y observa que tienes valores pertenecientes al intervalo para k = 0, 1, 2, 3, 4;
luego, tienes que los valores críticos son: x = 0, x = ±√(2), x = ±√(4), x = ±√(6), x = ±√(8);
luego, puedes evaluar los nueve valores en la expresión de la función derivada segunda, y tendrás:
máximo relativo, si obtienes un valor negativo,
mínimo relativo, si obtienes un valor positivo,
inflexión horizontal, si obtienes el valor cero.
Luego, planteas la condición de posible punto de inflexión, y queda:
f ' ' (x) = 0, sustituyes la expresión señalada (2), y queda:
πx*cos(πx2/2) = 0, divides por π en ambos miembros, y queda:
x*cos(πx2/2) = 0;
luego por anulación de un producto, tienes dos opciones:
a)
x = 0, que ya hemos señalado y estudiado anteriormente;
b)
cos(πx2/2) = 0, compones en ambos miembros con la función inversa del coseno, y queda:
πx2/2 = (k + 1/2)π, con k ∈ N (observa que k puede tomar solamente valores positivos),
multiplicas por 2/π en ambos miembros, y queda:
x2 = 2(k + 1/2), distribuyes el segundo miembro, y queda:
x2 = 2k + 1, con k ∈ N,
extraes raíz cuadrada en ambos miembros, y queda:
x = √(2k+1),
y observa que tienes valores pertenecientes al intervalo para k = 0, 1, 2, 3;
luego, tienes que los valores correspondientes a posibles inflexiones son: x = 1, x = ±√(3), x = ±√(5), x = ±√(7).
Luego, queda que hagas la tarea de verificar crecimiento (o decrecimiento) y concavidad para cada subintervalo cuyos extremos sean valores críticos o valores de posible inflexión.
Espero haberte ayudado.
hola, alguien me podría ayudar?
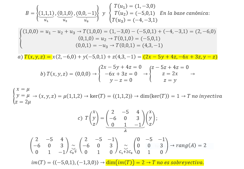
Decimos que una transformacion lineal T : U → W es:
Inyectiva si ker(T) = {~0}.
Epiyectiva si Im(T) = W.
Biyectiva o un isomorfismo si es inyectiva y epiyectiva.
Considere B = {(1, 1, 1),(0, 1, 0),(0, 0, −1)} una base de R 3 . Sea T : R 3 → R 3 una transformacion lineal tal que:
T(1, 1, 1) = (1, −3, 0); T(0, 1, 0) = (−5, 0, 1); T(0, 0, −1) = (−4, −3, 1).
Determine:
a) T(x, y, z) para todo (x, y, z) ∈ R 3 .
b) Una base de ker(T). ¿Es T inyectiva?
c) Rg(T). ¿Es T epiyectiva?
Buenas, me piden factorizar y obtener la mayor cantidad de factores posibles, de estos dos ejercicios.
1) x^10-2x^7-81+162x^3-81x^6+x^4
2) 4x^4 -36 -4
Gracias!
Buenas, estaba haciendo calculo de varias variables y me encontré con un problema. Mi objetivo es encontrar máximos y minimos de una funcion pero restringida a un conjunto en particular. Mi funcion es f(x,y)=x+y, y el conjunto es el cuadrado de vertices (+-1,+-1). Yo iba a utilizar los multiplicadores de Lagrange para resolverlo pero no se cual es la funcion que usaría para describir mi conjunto. Desde ya muchas gracias! Si es que me dicen una función "g" que describa el conjunto S={(x,y)€R^2/|x|<=1,|y|<=1} ya sería suficiente supongo..