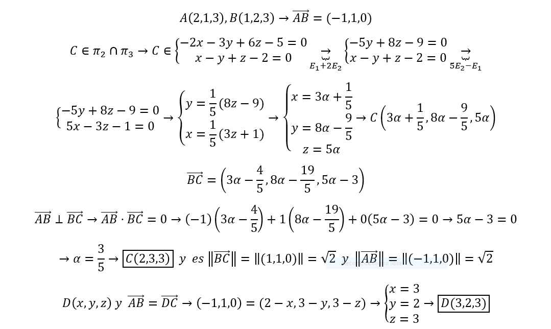
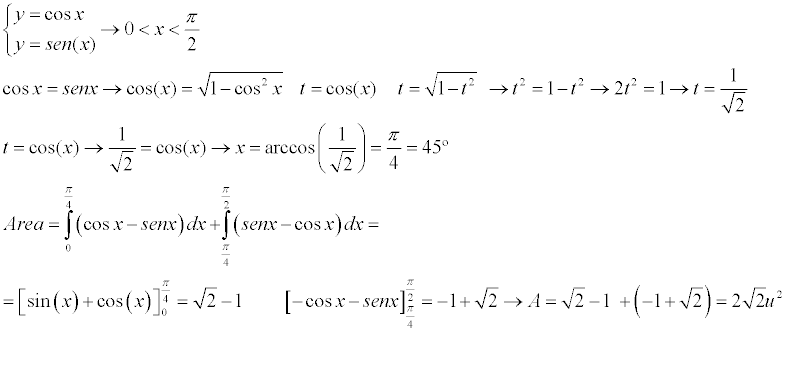
Buenas... tengo estos 2 ejercicios que no pude resolver la d tengo idea de como hacer y debo evitar la area negativa graficar y trabajar desde 0 hasta pi/2 ya lo tengo planteado la d.... pero en la c es donde me pierdo porque al intentar despejar x no pude.... y luego al usar los valores del primer cuadrante de 0 a pi/2 ( no se si estara bien estos datos) no pude graficar ..... en si el ejercicio C no puedo resolverlo quisiera que alguien me ayude por favor de antemano gracias
Hola, podrían orientarme con el siguiente ejercicio. No se exactamente lo que tengo que hacer.
Si x =a+2b -3c, y = b+ 2c - 3a, z =c + 2a -3b, prueba que x + y + z = 0.
una forma de hacer ese ejercicio es reemplazar donde te dicen x + y+ z =0 poner (a+2b-3c) + (b+2c-3a) + (c+2a-3b) = 0 (esto es debido a que x es a+2b-3c, (y) es b+2c-3a y (z) es c+2a-3b)
(a+2b-3c) + (b+2c-3a) + (c+2a-3b) = 0
(a-3a+2a) + (2b+b-3b) + (c+2c-3c) = 0
0 a + 0 b + 0 c = 0
0 = 0
por lo tanto se verifica que x + y + z = 0
espero haberte ayudado.
Hola unicoos... Podrian ayudarme para resolver esta igualdad..... La incognita es costos fijo (CF)...
UaII=Utilidad antes de impuesto...P=precio.....Q=Cantida....Cv=costo variable..... CF=costo fijo....EL CF TIENE QUE DAR 21.000
Reemplazando los datos queda:
UaII=P*Q-Cv-CF
26.250=120*946-70,05-CF

¡Hola! Nos encantaría ayudarte, pero no solemos responder dudas universitarias que no tengan que ver específicamente con los vídeos que David Calle ha grabado como excepción. O de otras asignaturas que no sean Matemáticas, Física y Química. Lo sentimos de corazón… Esperamos que lo entiendas.
Ojalá algún unicoo universitario se anime a ayudarte (de hecho, lo ideal es que todos los universitarios intentarais ayudaros los unos a los otros).

Tienes la expresión de una función racional (observa que es un cociente entre dos polinomios), cuyo denominador se anula en x = -2 y en x = 2 (recuerda que estos valores los obtienes a partir de resolver la ecuación que queda al igualar el denominador a cero), por lo que el dominio de la función queda:
D = (-∞,-2) u (-2,2) u (2,+∞) = { x ∈ R : x ≠ -2 y x ≠ 2 },
por lo que tienes que la gráfica de la función presenta dos puntos de discontinuidad, cuyas abscisas son:
x1 = -2 y x2 = 2, que debes considerar por separado, por medio de la definición de continuidad de una función en un valor de su dominio.
1°)
Para x1 = -2 tienes:
a)
la función no está definida en este valor del dominio;
b)
Lím(x→-2-) f(x) = Lím(x→-2-) (x2-5x+6)/(x2-4) = +∞,
ya que el numerador tiende a 20 y el denominador tiende a cero desde valores positivos,
Lím(x→-2+) f(x) = Lím(x→-2+) (x2-5x+6)/(x2-4) = -∞,
ya que el numerador tiende a 20 y el denominador tiende a cero desde valores negaitivos;
c)
observa que la gráfica de la función presenta una asíntota vertical cuya ecuación es: x = -2.
2°)
Para x2 = 2 tienes:
a)
la función no está definida en este valor del dominio;
b)
Lím(x→2) f(x) = Lím(x→2) (x2-5x+6)/(x2-4) = factorizas:
= Lím(x→2) (x-2)(x-3) / (x+2)(x-2) = simplificas:
= Lím(x→2) (x-3) / (x+2) = -1/4
ya que el numerador tiende a -1 y el denominador tiende a 4;
c)
observa que la gráfica de la función presenta una discontinuidad puntual (o evitable) para este valor del dominio de la función.
Espero haberte ayudado.
Buenas tardes, quisiera saber si me pueden ayudar a resolver la siguiente proposición, porque no sé cómo demostrar su valor de verdad! Muchas gracias![]()

Consideramos al conjunto de los números naturales con primer elemento igual a cero:
N = { 0 , 1 , 2 , 3 , ... }.
Luego, observa que para el primer elemento (y = 0) tienes la inecuación:
x + 1 ≤ 0, aquí restas uno en ambos miembros, y queda:
x ≤ -1, y como -1 pertenece al conjunto de los números enteros, tienes que él (o cualquier otro número entero menor que él) verifican que la proposición es Verdadera (en palabras sencillas: "un número entero negativo es menor o igual que cualquier número natural").
Luego, tienes la proposición:
P(x,y): ∃x∈Z / ( ∀y∈N, x+1≤y ),
planteas la negación trivial, y queda:
∼P(x,y): ∼[ ∃x∈Z / ( ∀y∈N, x+1≤y ) ],
planteas la negación con el primer cuantificador (recuerda que debes cambiar el cuantificador y negar el predicado), y queda:
∼P(x,y): ∀x∈Z / ∼( ∀y∈N, x+1≤y ),
planteas la negación con el segundo cuantificador (recuerda que debes cambiar el cuantificador y negar el predicado), y queda:
∼P(x,y): ∀x∈Z / [ ∃y∈N, ∼(x+1≤y) ],
expresas al predicaco en una forma afirmativa equivalente, y queda:
∼P(x,y): ∀x∈Z / [ ∃y∈N, x+1>y ].
Espero haberte ayudado.
Hola como puedo factorizar este polinomio 2x4 - 5x2 -3= 0 Se que se puede factorizar como (x2 -3) (2x2 +1)= 0 Pero no se como llegar a esa factorización He intentado división sintetica o riffini pero no sirve.
De antemano gracias.

Tienes la expresión del polinomio:
P(x) = 2x4 - 5x2 - 3;
luego, planteas la sustitución (camio de variable):
x2 = w (1) (observa que w toma valores positivos), de donde tienes:
x4 = (x2)2 = w2;
luego, sustituyes en la expresión del polinomio, y queda:
P(w) = 2w2 - 5w - 3 = 0 (2),
que es una ecuación polinómica cuadrática cuyas soluciones son:
w1 = -1/2,
w2 = 3;
luego, puedes factorizar la expresión señalada (2), y queda:
P(w) = 2(w + 1/2)(w - 3),
luego sustituyes la expresión señalada (1), y queda
P(x) = 2(x2 + 1/2)(x2 - 3),
que es una forma del polinomio, parcialmente factorizada en el campo de los números reales;
luego, factorizas el último agrupamiento (observa que tienes una diferencia de cuadrados), y queda:
P(x) = 2(x2 + 1/2)( x - √(3) )( x + √(3) ),
que es la expresión factorizada del polinomio en el campo de los números reales, ya que el polinomio del primer agrupamiento no tiene raíces reales).
Espero haberte ayudado.

A)
Observa que tienes un segmento cuya longitud es: L = 9-8 = 1, que está dividido en cinco partes iguales, por lo que cada una de esas partes tiene longitud igual a: L/5 = 1/5.
Luego, como el extremo izquierdo del segmento es 8, tienes para el punto remarcado (observa que se encuentra a la derecha del extremo izquierdo, y que los valores crecen) en tu imagen:
x = 8 + 1/5 = 8*5/5 + 1/5 = 40/5 + 1/5 = (40+1)/5 = 41/5,
que es una expresión equivalente a la solución que indica el colega Rober.
B)
Observa que tienes un segmento cuya longitud es: L = -3-(-4) = -3+4 = 1, que está dividido en tres partes iguales, por lo que cada una de esas partes tiene longitud igual a: L/3 = 1/3.
Luego, como el extremo izquierdo del segmento es -4, tienes para el punto remarcado (observa que se encuentra a la derecha del extremo izquierdo, y que los valores crecen) en tu imagen:
x = -4 + 1/3 = -4*3/3 + 1/3 = -12/3 + 1/3 = (-12+1))/3 = -11/3,
que es la expresión de la solución que indica el colega Rober.
Espero haberte ayudado.