Hemos visto los intervalos de confianza pero no tengo suficiente información y en esta pregunta no sé que fórmulas hay que usar.
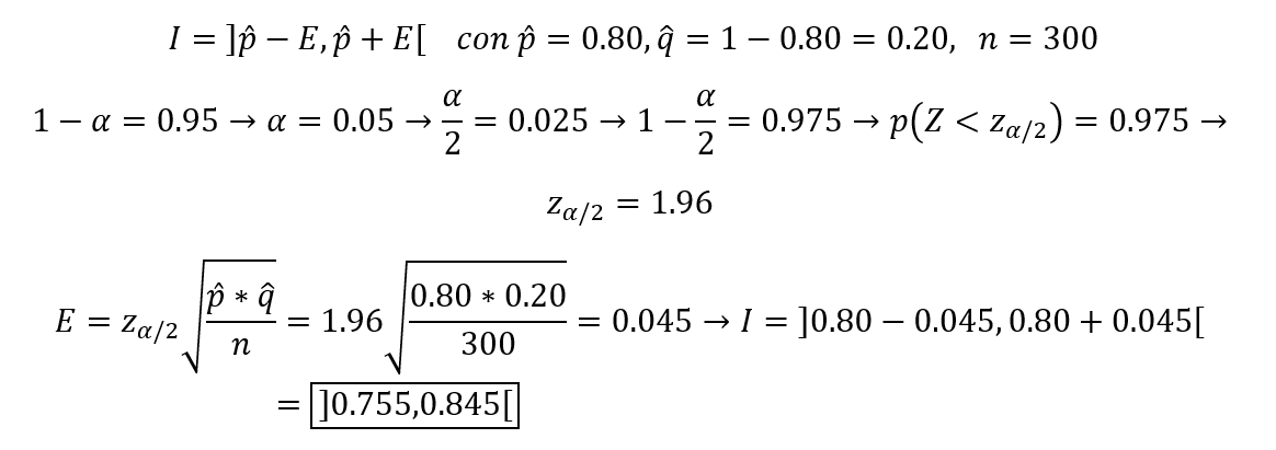
En una muestra de 300 universitarios el 80% ha respondido que acude semanalmente al cine.
a) Entre que valores se encuentra con un nivel de confianza del 95% la proporción total de universitarios que acude todas las semanas al cine?
Gracias
Buenas noches, me trabe con este ejercicio, solo pude hallar los puntos medias de cada segmento, alguien me puede orientar como seguir? Gracias ![]()

¡Hola! Nos encantaría ayudarte, pero no solemos responder dudas universitarias que no tengan que ver específicamente con los vídeos que David Calle ha grabado como excepción. O de otras asignaturas que no sean Matemáticas, Física y Química. Lo sentimos de corazón… Esperamos que lo entiendas.
Ojalá algún unicoo universitario se anime a ayudarte (de hecho, lo ideal es que todos los universitarios intentarais ayudaros los unos a los otros).
Hola no puedo resolver esta integral, alguien podría ayudarme? creo que se usa el método de sustitución!
∫2x-1/√(4x²-4x-2)dx
Muchas gracias!

Vamos con otra opción.
Puedes plantear la sustitución (cambio de variable):
w = 4x2-4x-2 (1),
de donde tienes:
dw = (8x-4)dx, aquí extraes factor común, y queda:
dw = 4(2x-1)dx, aquí multiplicas por 1/4 en ambos miembros, y queda:
(1/4)dw = (2x-1)dx (2).
Luego, sustituyes las expresiones señaladas (1) (2) en la integral de tu enunciado, y queda:
I = ∫ (1/4)( 1/√(w) )dw,
extraes el factor constante, expresas al argumento como una potencia, y queda:
I = (1/4) ∫ w-1/2*dw,
integras, y queda:
I = (1/4)(2w1/2) + C,
resuelves el coeficiente, expresas al argumento como una raíz, y queda:
I = (1/2)√(w) + C,
sustituyes la expresión señalada (1), y queda:
I = (1/2)√(4x2-4x-2) + C.
Espero haberte ayudado.
¡¡Hola!! Necesito ayuda con este problema. Gracias!
La superficie aproximada del continente es de 1,5 *10^14 m2. Si Argentina ocupa 2,78* 10^12 m2:
a) ¿Cuántas veces entra el área de Argentina en la del continente?.
b) Si la superficie de Chaco es de 100000 km2 ¿Cuántas veces entra ésta área en la superficie de Argentina?