Hola, ¿Me podrían ayudar?
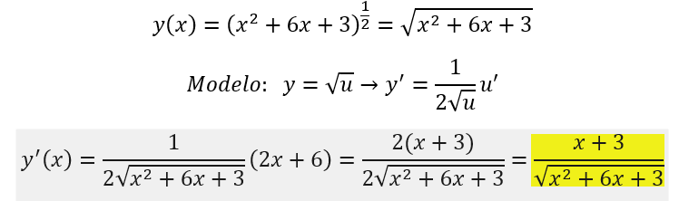
Encontrar g(x), sabiendo que g'(x)=2x3+x2*ln(x) y g(1)=0
Buenas tengo este problema donde me pide hallar el volumen de la caja no lo pude resolver porque no se como interpretar mis datos porque solo tengo 1 lado de ancho y segun estaba viendo los videos necesito saber el axb para poder resolver por V=l*a*h en si di mucha vuelta para poder resolver el ejercicio pero lo hice mal quisiera que alguien me ayude a como resolver este ejercicio por favor.... gracias de antemano
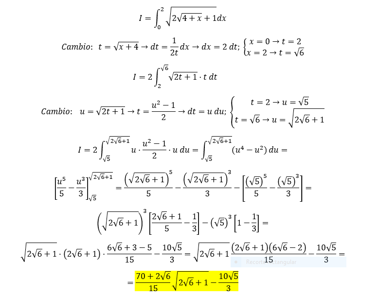
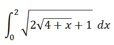
Buenas, tengo un ejercicio que no tengo ni idea de hacerlo... alguien sabría??
La contaminación del agua es un problema muy común que genera serios problemas de salud. Un aspecto de interés es el nivel de plomo del agua de los grifos en los hogares.
a) Si en el 95% de los hogares el agua de grifo es recomendable, calcula la probabilidad de que en una comunidad de 8 vecinos en dos o mñas hogares el agua no sea recomendable.
b) Se quiere analizar el nivel de plomo que contiene el agua de los grifos de dos municipios cercanos. Los datos recongidos son los siguients (unidades ppb):
Municipio A: 15, 13, 10, 14, 14, 16, 11, 12, 12
Municipio B: 14, 10, 10, 12, 9, 15, 16, 10
A partir de los datos muestrales, se han calculado los siguientes estadísticos:
Media(A): 13, Media(B): 12, Cuasivarianza(A): 3.75, Cuasivarianza(B): 7.1428
Suponiendo que la variable nivel de plomo tiene distribución normal, contesta a las siguientes preguntas:
b) En el municipio A se quiere revisar las tuberías del 80% de las viviendas que tienen mayor nivel de plomo,¿a partir de qué nivel de plomo se llevará a cabo la revisión?¿De qué estadístico se trata? Calcula su valor.
c) Sgún la Agencia de Protección Ambiental, con niveles medios de plomo por encima del nivel de acción de 15ppb, se recomienda el uso de agua embotellada. A partir de los datos del municipio A y con un nivel de confianza del 95%, ¿recomendarías a sus habitantes el consumo de agua embotellada?
d) Suponiendo que las varianzas poblacionales son iguales, calcula el intervalo de confianza del 95% para la diferencia e los niveles medios de plomo de ambos municipios. ¿Qué podemos decir? Razona tu respuesta.

¡Hola! Nos encantaría ayudarte, pero no solemos responder dudas universitarias que no tengan que ver específicamente con los vídeos que David Calle ha grabado como excepción. O de otras asignaturas que no sean Matemáticas, Física y Química. Lo sentimos de corazón… Esperamos que lo entiendas.
Ojalá algún unicoo universitario se anime a ayudarte (de hecho, lo ideal es que todos los universitarios intentarais ayudaros los unos a los otros).
utilizando una herramienta de medición ``A´´, hemos medido una libélula de 5 c y hemos obtenido 4,95 cm. Con otra herramienta de medición ``B´´ hemos medido una libélula de3 cm y nosha dado por exceso 3,08. halla el valor absoluto y relativo que se comete en cadaherramienta de medición. ¿Cuál crees que es mejor herramienta de medición?
La caída de potencial medida en el componene de un circuito eléctrico y expresada en voltios, en función del potencial eléctrico, se ha recogido en la siguiente tabla:
0,78Calcula el error relativo. Ayudadme es urgente por favor que no tengo ni idea de como hacerlo