Buenas tardes Sergio y a todos como andan?
Tengo un ejercicio de sucesiones que nose por donde encararlo. Se los paso a ver si pueden echarme una mano.
Dice, analizar la siguiente sucesion y decir si es convergente o divergente. En caso de ser convergente hallar su limite.
Desde ya Muchas Gracias
Saludos

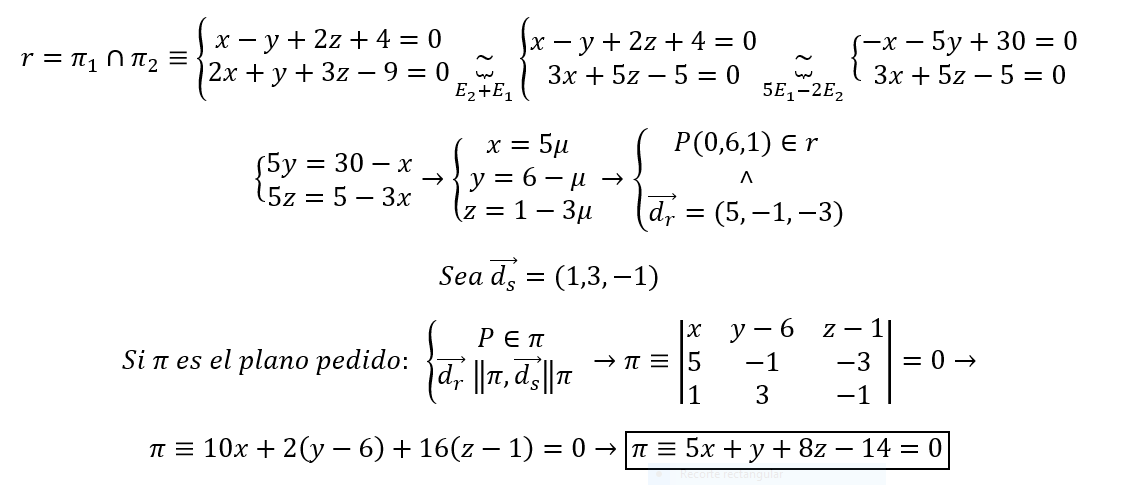
Observa que tienes las ecuaciones cartesianas implícitas de dos planos, por lo que puedes plantear que el producto vectorial de sus vectores normales es un vector director de la recta intersección, y tienes:
u = n1 x n2 = <1,-1,2> x <2,1,3> = <-5,1,3>,
y observa que el vector u es paralelo al plano cuya ecuación debes determinar.
Luego, tienes el vector director de una recta que es paralela al plano cuya ecuación debes determinar:
v = <1,3,-1>.
Luego, puedes plantear la expresión del vector normal del plano buscado:
n = <a,b,c>,
y observa que los vectrores u y v deben ser perpendiculares al vector n, por lo que puedes plantear que un vector normal del plano buscado es el producto vectorial entre los vectores u y v:
n = u x v = <-5,1,3> x <1,3,-1> = <-10,-2,-16>.
Luego, solo falta determinar las coordenadas de un punto que pertenezca a los plano, y para ello asignas un valor, por ejemplo z = 0, reemplazas en las ecuaciones de los planos π1 y π2, y queda el sistema:
x - y + 4 = 0,
2x + y - 9 = 0;
luego, resuelves el sistema (te dejo la tarea), y queda: x = 5/3, y = 17/3;
por lo que tienes que el punto: A(5/3,17/3,0) pertenece a la recta intersección entre los planos cuyas ecuaciones tienes en tu enunciado y, por lo tanto, también pertenece al plano buscado.
Luego, con la expresión del vector n y con las coordenadas del punto A, puedes plantear una ecuación cartesiana implícita del plano buscado:
-10*(x - 5/3) - 2*(y - 17/3) - 16*(z - 0) = 0,
distribuyes, reduces términos semejantes, cancelas el término nulo, y queda:
-10*x - 2*y - 16*z + 28 = 0,
divides en todos los términos por -2, y queda:
5*x + y + 8*z - 14 = 0.
Espero haberte ayudado.
Hola profe, como puedo resolver el ejercicio 3 del ejemplo ? Me pide determinar el envolvente lineal. Pero no se como trabajar con esos dos vectores.
¡Hola! Nos encantaría ayudarte, pero no solemos responder dudas universitarias que no tengan que ver específicamente con los vídeos que David Calle ha grabado como excepción. O de otras asignaturas que no sean Matemáticas, Física y Química. Lo sentimos de corazón… Esperamos que lo entiendas.
Ojalá algún unicoo universitario se anime a ayudarte (de hecho, lo ideal es que todos los universitarios intentarais ayudaros los unos a los otros).
Está todo bien excepto el primer troz de la función.
Al ser 2x-2, es una binomio de grado 1, por lo que la función es una línea recta, NO QUEBRADA. Te ha pasado lo siguiente.
Para x=-1; 2x-2=2(-1)-2=-2-2=-4
Para x=-2; 2x-2=2(-2)-2=-4-2=-6
Recomendación. Cuando tengas un binomio de este tipo que sea una reta, con que calcules dos puntos, es suficiente para que puedas dibujar esta parte de la gráfica, puesto que dos puntos te definen una recta.