Hola! Me encantaría ayudarte, pero no respondemos dudas universitarias que no tengan que ver específicamente con los videos que ya ha grabado como excepcion el profe. O de otras asignaturas que no sean matemáticas, física y química. Lo siento de corazón… Espero lo entiendas
Unicoos llega exclusivamente hasta secundaria y bachillerato
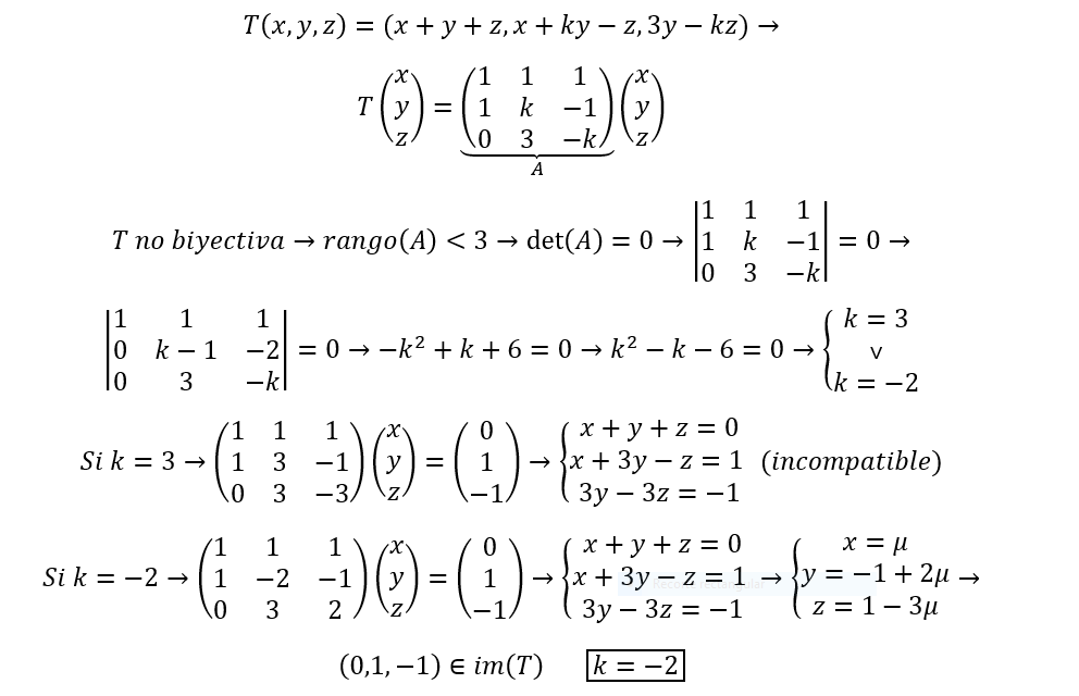
Hola, agradeseria me guien con el siguiente ejercicio ya que no se como abordarlo
Sea T una transformación lineal
T: R3 -> R3 / T(x,y,z) = ( x+y+z , x+ky-z , 3y-kz )
Hallar el valor de k para que T no sea biyectiva y (0,1,-1) pertenezca a la imagen
hola necesito ayuda por favor nose como despejar esta ecuacion matricial
A^-1 . XA = B llego hasta A^-1 .X =B .A^-1 Y despues nose como despejar la primera inversa de A
Hola, si alguien me puede ayudar con este ejercicio se lo agradezco; tengo que expresar la función f(x)= ln|x-1| a trozos. Desde ya, muchas gracias.

Recuerda la definición de valor absoluto, y tienes que la expresión del argumento del logaritmo (recuerda que no puedes ser igual a cero) queda:
|x-1| =
-(x-1) = -x+1 si x < 1,
x-1 si x > 1.
Luego, la expresión de la función que tienes en tu enunciado, cuyo dominio es: D = R - {1}, queda:
f(x) =
ln(-x+1) si x < 1,
ln(x-1) si x > 1.
Espero haberte ayudado.
Me encantaría ayudarte, pero no respondo dudas universitarias que no tengan que ver específicamente con los videos que ya he grabado como excepcion. O de otras asignaturas que no sean matemáticas, física y química. Lo siento de corazón… Espero lo entiendas
Ojalá algun unicoo universitario se anime a ayudarte (de hecho lo ideal es que todos los universitarios intentarais ayudaros los unos a los otros)
UNIVERSIDAD: Álgebra Lineal - Espacio Afín.
¿ Como se hace la SUMA de SUBESPACIOS AFINES ?
La teoría es esta:
¿ pero como se hace realmente ?
Un ejercicio sería este:
Muchas gracias de antemano :)

Me encantaría ayudarte, pero no respondo dudas universitarias que no tengan que ver específicamente con los videos que ya he grabado como excepcion. O de otras asignaturas que no sean matemáticas, física y química. Lo siento de corazón… Espero lo entiendas
Ojalá algun unicoo universitario se anime a ayudarte (de hecho lo ideal es que todos los universitarios intentarais ayudaros los unos a los otros)
HOLA A TODOS COMO ESTÁN, ESPERO QUE BIEN.
NO SE SI ALGUIEN FUERA TAN AMABLE DE AYUDARME CON ESTOS EJERCICIOS QUE DEJARE EN LA SIGUIENTE IMAGEN, ES DE ÁREAS CON INTEGRALES, BUENO DE ANTEMANO LES AGRADEZCO.
SALUDOS
Los alumnos de Bachillerato de un I.E.S. proceden de 3 localidades distintas, A, B y C, siendo un 20% de A, un 30% de B y el resto de C. El 80% de los alumnos de A cursa 1º de Bachillerato y el resto, 2º . El 60% de los alumnos de C cursa 1º de Bachillerato y el resto, 2º.
Seleccionado, al azar, un alumno de Bachillerato de ese I.E.S. ¿cual es la probabilidad de que sea de 2º?
Si elegimos, al azar, un alumno de Bachillerato de ese I.E.S. y este es un alumno de 1º ¿cual es la probabilidad de que proceda de la localidad B?.