
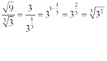
[1 - 1/(1+i)^6 ] /i = 2/9..... [1 - 1/(1+i)^6 ] /i = 2/9.....
A partir de ahí, te diria que primero hagas (1+i)^6...
Hola.
Tengo una duda sobre ecuaciones diferenciales. ¿Cómo se puede saber si una curva de una familia inicial es única?
Gracias
el teorema de existencia y unicidad (TEyU) asegurará que si la ƒ y la derivada parcial ƒy son continuas en un entorno del punto (to, y0) existirá una única solución y(t) de [P], definida al menos en un pequeño intervalo que contiene a to (gráficamente, por ese punto pasará una única curva solución). Si la ƒ no es tan regular, podría no haber solución o existir más de una.
buenas necesito ayuda para esta función. Calcule los valores de a y b para que sea continua y derivable. Gracias!

Observa que las expresiones de las ramas de la función son determinadas para todos los valores de sus subintervalos, por lo que solo queda estudiar qué ocurre en el punto de corte, por medio de la definición de continuidad:
1°)
f(1) = b*1 + 2/1 = b + 2 (1);
2°)
Lím(x→1-) f(x) = Lím(x→1-) (x3 + a*x2) = 1 + a,
Lím(x→1+) f(x) = Lím(x→1+) (b*x + 2/x) = b + 2,
y como los límites laterales deben coincidir, igualas expresiones y queda la ecuación:
1 + a = b + 2, aquí restas 1 en ambos miembros, y queda:
a = b + 1 (3);
3°)
tienes que la función es continua en el punto de corte para todos los valores de las indeterminadas (a y b) que verifiquen la ecuación señalada (3).
Luego, planteas la expresión de la función derivada, y queda:
f ' (x) =
3*x2 + 2*a*x si x < 1,
a determinar si x = 1,
b - 2/x2 si x > 1;
luego, planteas la continuidad de la función derivada en el punto de corte, y tienes:
I)
f ' (1) = a determinar;
II)
Lím(x→1-) f ' (x) = Lím(x→1-) (3*x2 + 2*a*x) = 3 + 2*a,
Lím(x→1+) f ' (x) = Lím(x→1+) (b - 2/x2) = b - 2,
y como los límites laterales deben coincidir, igualas expresiones y queda la ecuación:
3 + 2*a = b - 2, aquí sumas 2 en ambos miembros, y quda
5 + 2*a = b (4);
III)
tienes que la función derivada puede ser continua en el punto de corte para todos los valores de las indeterminadas (a y b) que verifiquen la ecuación señalada (4).
Luego, sustituyes la expresión señalada (3) en la ecuación señalada (4), y queda:
5 + 2*(b + 1) = b, distribuyes y reduces términos semejantes, y queda:
2*b + 7 = b, restas b y restas 6 en ambos miembros, y queda: b = -7;
luego, reemplazas el valor remarcado en la ecuación señalada (3), y queda: a = -6.
Luego, observa que la expresión de la función queda:
f(x) =
x3 - 6*x2 si x < 1,
-7*x + 2/x si x ≥ 1.
Luego, la expresión de la función derivada queda (observa que ajustamos el valor que corresponde al punto de corte entre las ramas de la función):
f ' (x) =
3*x2 - 12*x si x < 1,
-9 si x = 1,
-7 - 2/x2 si x >1.
Espero haberte ayudado.
un opositor ha estudiado 25 temas de los 40 que contiene el temario. Si el examen consiste en contestar tres temas elegidos al azar entre todos los del temario,calcula la probabilidad de que el opositor :
a)haya estudiado los 3 temas
b) haya estudiado como mínimo uno de los temas
los resultados son a ) 0,233 y b)0,954 pero a mi no me sale eso no debería ser a) = 25/40 por 24/39 por 23/38 y b )= 25/40 + 25/39 + 25/38 ??? ayuda como debería proceder para resolverlo
Mirate este video https://www.youtube.com/watch?v=V7IH_Qu_GJU&t= Ahi veras cómo se hace ese ejercicio
Suerte en la prueba del viernes !

Desarrollas el binomio elevado al cuadrado, y la integral queda:
I = ∫ (25*x2 - 20*x*ex + 4*e2x)*dx;
luego, separas en términos, extraes factores constantes, y queda:
I = 25 * ∫ x2*dx - 20 * ∫ x*ex*dx + 4 * ∫ e2x*dx.
Luego, solo queda que resuelvas las tres integrales y que agregues la constante de integración (observa que la primera integral es directa, que la segunda la puedes resolver por partes, y que la tercera la puedes resolver con la sustitución (cambio de variable): w = 2x).
Haz el intento de terminar la tarea, y si te es preciso, no dudes en volver a consultar.
Espero haberte ayudado.
escribir la ecuacion de la recta tangente a la graficaf(X)= x^3 -x^2-4x+4
vale ,la recta tangente me da -3x+3
pero luego mepide hallar el area de la region del plano comprendida entre la grafica de f y la recta del apartado anterior (la tg)

Tienes la ecuación de la gráfica de la función y de la recta tangente (es muy conveniente que hagas un gráfico cartesiano para visualizar mejor la situación):
y = x3 - x2 - 4x + 4,
y = -3x + 3;
igualas expresiones, y queda:
x3 - x2 - 4x + 4 = -3x + 3, sumas 3x y restas 3 en ambos miembros, y queda:
x3 - x2 - x + 1 = 0, extraes factor común por grupos, y queda:
(x2 - 1)*(x - 1) = 0, factorizas la diferencia de cuadrados del primer factor, y queda:
(x + 1)*(x - 1)2 = 0;
luego, por anulación de un producto, tienes dos opciones:
1°)
x = -1, que al evaluar en las ecuaciones de las curvas queda: y = 6;
2°)
x = 1, que el evaluar en las ecuaciones de las curvas queda: y = 0;
luego, tienes que el intervalo de integración es: [-1,1], evalúas para un valor interior a él (por ejemplo: x = 0) y tienes que los valores que le corresponden son: y = 4 en la curva e y = 3 en la recta, por lo que tienes que la gráfica de la función "está más alta" en el gráfico cartesiano, y que la recta "está más baja", por lo que la expresión del área comprendida entre ambas curvas queda:
A = -1∫1 ( (x3 - x2 - 4x + 4) - (-3x + 3) )*dx =
reduces la expresión del integrando, y queda:
= -1∫1 ( (x3 - x2 - x + 1)*dx =
integras (observa que indicamos con corchetes que debes evaluar con Regla de Barrow), y queda:
= [ x4/4 - x3/3 - x2/2 + x ] =
evalúas, y queda:
= (1/4 - 1/3 - 1/2 + 1) - (1/4 + 1/3 - 1/2 - 1) = 5/12 - (-11/12) = 16/12 = 4/3.
Espero haberte ayudado.

Observa que si factorizas la expresión polinómica cuadrática que es argumento del valor absoluto, y la expresión de la función queda:
f(x) = |-1*(x-4)*(x-1)|, aplicas la propiedad del valor absoluto de una multiplicación, y queda:
f(x) = |-1|*|x-4|*|x+1|, resuelves el primer factor, y queda:
f(x) = |x-4|*|x+1|.
Luego, tienes cuatro opciones:
a)
x-4 ≥ 0 y x+1 ≥ 0, que al despejar quedan: x ≥ 4 y x ≥ -1, que corresponde al intervalo: [4,+∞),
con la expresión de la función: f(x) = (x-4)*(x+1);
b)
x-4 ≥ 0 y x+1 < 0, que al despejar quedan: x ≥ 4 y x < -1, que corresponde al intervalo vacío,
por lo que no es necesario plantear la expresión de la función en este caso;
c)
x-4 < 0 y x+1 ≥ 0, que al despejar quedan: x < 4 y x ≥ -1, que corresponde al intervalo: [-1,4),
con la expresión de la función: f(x) = (x-4)*( -(x+1) ) = -(x-4)*(x+1);
d)
x-4 < 0 y x+1 < 0, que al despejar quedan: x < 4 y x < -1, que corresponde al intervalo: (-∞,-1),
con la expresión de la función: f(x) = -(x-4)*( -(x+1) ) = (x-4)*(x+1).
Luego, tienes que la expresión de la función definida a trozos queda:
f(x) =
(x-4)*(x+1) si x ∈ (-∞,-1) ∪ [4,+∞),
-(x-4)*(x+1) si x ∈ [-1,4).
Espero haberte ayudado.